Effect of Abnormal Light/Dark Cycles on the Pigment Complex of Brassicaceae and Solanaceae Plants
- Authors: Shibaeva T.G.1, Sherudilo E.G.1, Rubaeva A.A.1, Levkin I.A.2, Titov A.F.1
-
Affiliations:
- Institute of Biology, Karelian Research Center, Russian Academy of Sciences
- Petrozavodsk State University
- Issue: Vol 70, No 7 (2023)
- Pages: 801-810
- Section: ЭКСПЕРИМЕНТАЛЬНЫЕ СТАТЬИ
- URL: https://bakhtiniada.ru/0015-3303/article/view/233784
- DOI: https://doi.org/10.31857/S0015330323600882
- EDN: https://elibrary.ru/ZQRAWD
- ID: 233784
Cite item
Full Text
Abstract
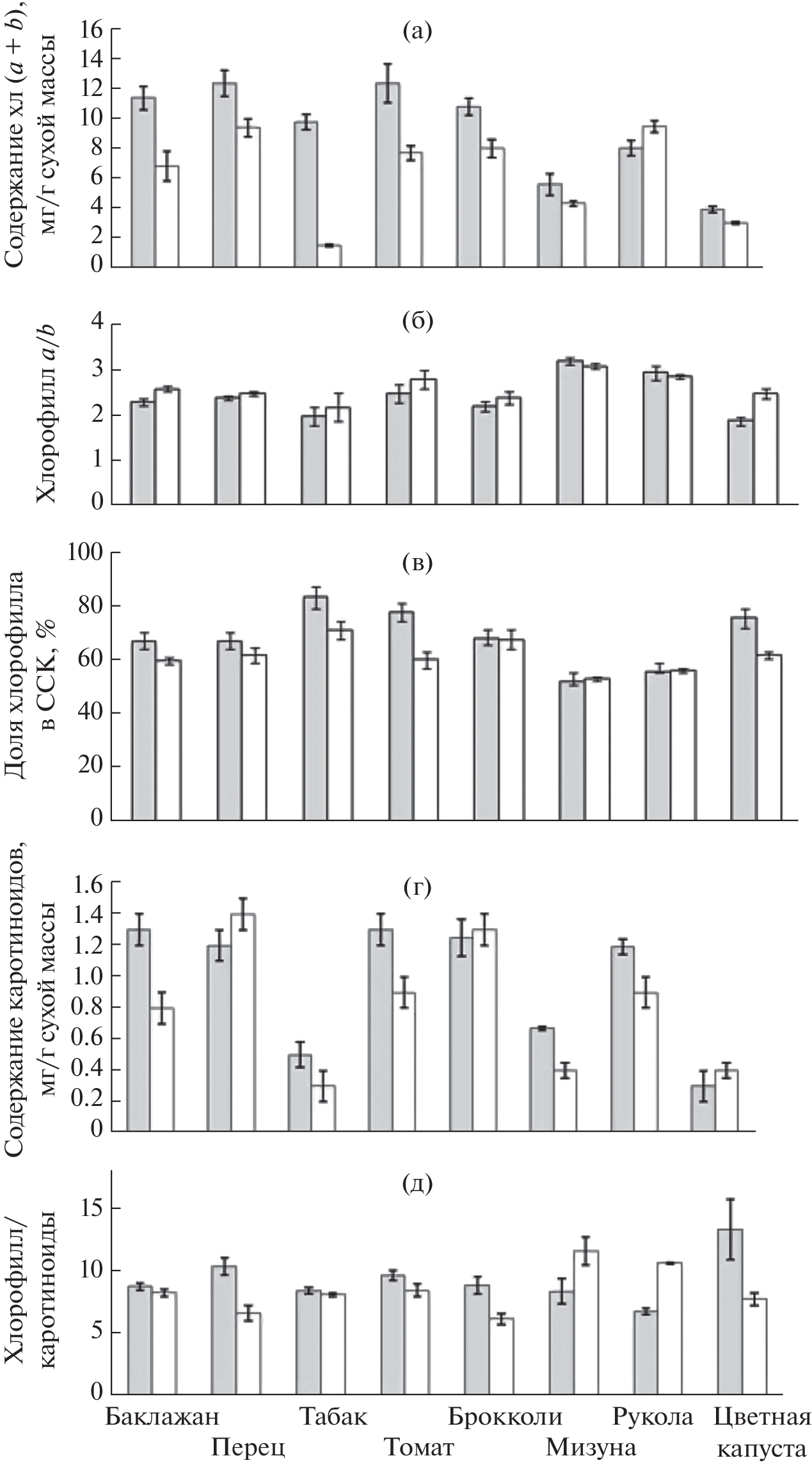
Under controlled environmental conditions, the authors studied the effect of extended
light/dark cycles of 24/12, 48/24, 96/48, and 120/60 h and continuous lighting on the content and ratio of
photosynthetic and nonphotosynthetic pigments in a number of Solanaceae (eggplant (Solanum melongena L.),
sweet pepper (Capsicum annuum L.), tobacco (Nicotiana tabacum L.), and tomato (Solanum lycopersicum L.))
and Brassicaceae (broccoli (Brassica oleracea var. italica Plenck), mizuna (Brassica rapa ssp nipposinica
(L.H. Bailey) Hanelt), arugula (Eruca vesicaria sp. sativa Mill.), and cauliflower (Brassica oleracea L. var.
botrytis L.)) plants. Plants were grown in controlled-climate chambers at 23°С and light intencity of
270 μmol/(m2
s) PAR. Control plants were grown under photoperiod of 16/8 h. Continuous lighting
decreased the content of chlorophyll, its share in light-harvesting complex and chlorophyll to carotenoids
ratio, but increased chlorophyll a/b ratio and the content of anthocyanins and flavonoids; these effects were
differently manifested depending on plant species. At all other examined light/dark cycles (24/12, 48/24,
96/48, and 120/60 h) where average daily light integral did not differ from such under common photoperiod
(16/8 h), changes in pigment complex were often observed similar to photoprotective reactions occurring
upon exposure of plants to excess illumination (a decrease in the content of photosynthetic pigments, modification of their ratios, and accumulation of protective, nonphotosynthetic pigments). At the same time,
plant responses were species-specific. On the whole, the obtained results have shown that changes within the
plant pigment complex may be induced not only by excessive light energy coming to plants, but also by distribution of daily light integral in time as it occurs in response to abnormal light/dark cycles that, in the
authors’ opinion, cause a circadian asynchrony
About the authors
T. G. Shibaeva
Institute of Biology, Karelian Research Center, Russian Academy of Sciences
Email: shibaeva@krc.karelia.ru
Petrozavodsk, Russia
E. G. Sherudilo
Institute of Biology, Karelian Research Center, Russian Academy of Sciences
Email: shibaeva@krc.karelia.ru
Petrozavodsk, Russia
A. A. Rubaeva
Institute of Biology, Karelian Research Center, Russian Academy of Sciences
Email: shibaeva@krc.karelia.ru
Petrozavodsk, Russia
I. A. Levkin
Petrozavodsk State University
Email: shibaeva@krc.karelia.ru
Petrozavodsk, Russia
A. F. Titov
Institute of Biology, Karelian Research Center, Russian Academy of Sciences
Author for correspondence.
Email: shibaeva@krc.karelia.ru
Petrozavodsk, Russia
References
- Despommier D. The vertical farm: feeding the world in the 21st centure. Thomas Dunne Books: New York, NY, USA, 2010.
- Kozai T., Nui G., Takagaki M. Plant Factory: An Indoor Vertical Farming System for Efficient Quality Food Production; AcademicPress: Cambridge, MA, USA, 2015. 516 p.
- van Delden S.H., Sharathkumar M., Butturini M., Graamans L.J.A., Heuvelink E., Kacira M., Kaiser E., Klamer R.S., Klerkx L., Kootstra G., Loeber A., Schouten R.E., Stanghellini C., van Ieperen W., Verdonk J.C. et al. Current status and future challenges in implementing and upscaling vertical farming systems // Nature Food. 2021. V. 2. P. 944. https://doi.org/10.1038/s43016-021-00402-w
- Kozai T., Niu G. Role of the plant factory with artificial lighting (PFAL) in urban areas // Plant Factory: An Indoor Vertical Farming System for Efficient Quality Food Production / Eds. T. Kozai et al. Academic Press: London, UK. 2020. P. 7.
- Chen Xl., Li Yl., Wang Lc., Yang Qc., Guo Wz. Responses of butter leaf lettuce to mixed red and blue light with extended light/dark cycle period // Sci. Rep. 2022. V. 12. P. 6924. https://doi.org/10.1038/s41598-022-10681-3
- Bowsher C.G., Long D.M., Oaks A., Rothstein S.J. Effect of light/dark cycles on expression of nitrate assimilatory genes in maize shoots and roots // Plant Physiol. 1991. V. 95. P. 281. https://doi.org/10.1104/pp.95.1.281
- Chang A.C., Yang T.Y., Riskowskic G.L. Ascorbic acid, nitrate, and nitrite concentration relationship to the 24 hour light/dark cycle for spinach grown in different condition // Food Chem. 2013. V. 138. P. 382. https://doi.org/10.1016/j.foodchem.2012.10.036
- Kurata H., Achioku T., Furusaki S. The light/dark cycle operation with an hour-scale period enhances caffeine production by Coffea arabica, cells // Enzyme Microb. Technol. 1998. V. 23. P. 518. https://doi.org/10.1016/S0141-0229(98)00081-7
- Chen X.L., Yang Q.C. Effects of intermittent light exposure with red and blue light emitting diodes on growth and carbohydrate accumulation of lettuce // Sci. Hortic. 2018. V. 234. P. 220. https://doi.org/10.1016/j.scienta.2018.02.055
- Lichtenthaler H.K., Wellburn A.R. Determinations of total carotenoids and chlorophylls a and b of leaf extracts in different solvents // Biochem. Soc. Trans. 1983. V. 603. P. 591. https://doi.org/10.1042/bst0110591
- Lichtenthaler H.K. Chlorophylls and carotenoids: Pigment of photosynthetic biomembranes // Methods Enzymol. 1987. V. 148. P. 350. https://doi.org/10.1016/0076-6879(87)48036-1
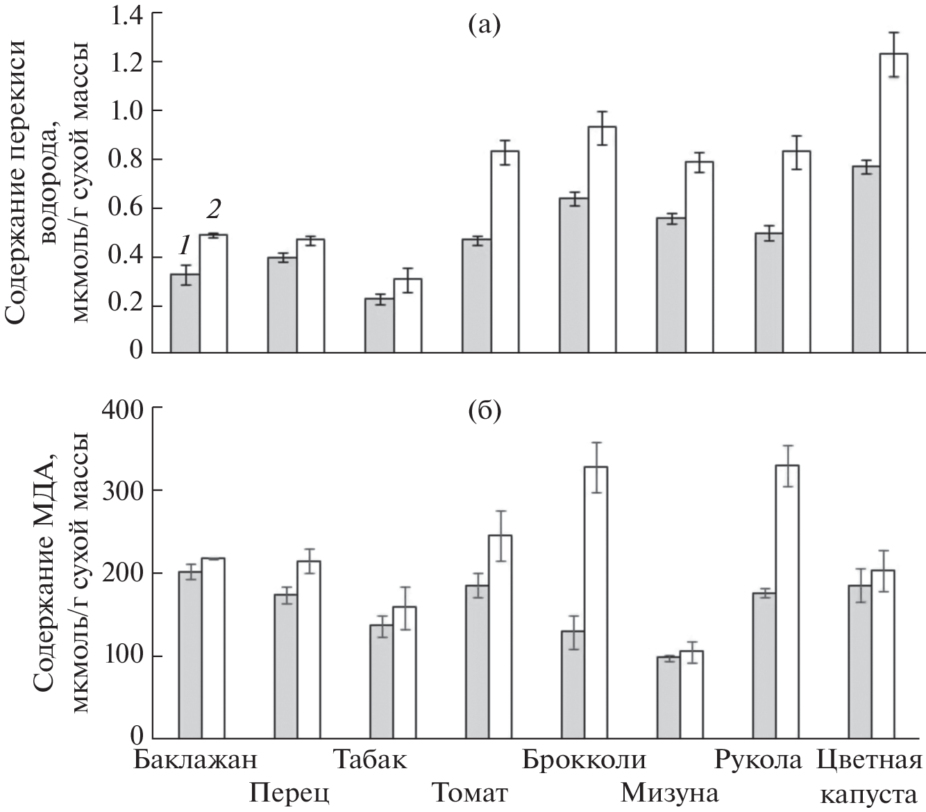
- Kolupaev Y.E., Fisova E.N., Yastreb T.O., Ryabchun N.I., Kirichenko V.V. Effect of hydrogen sulfide donor on antioxidant state of wheat plants and their resistance to soil drought // Russ. J. Plant Physiol. 2019. V. 66. P. 59. https://doi.org/10.1134/S1021443719010084
- Velikova V., Edreva A. Oxidative stress and some antioxidant system in acid rain-treated bean plants: Protective role of exogenous polyamines // Plant Sci. 2000. V. 151. P. 59. https://doi.org/10.1016/S0168-9452(99)00197-1
- Heath R.L., Packer L. Photoperioxidation in isolated chloroplasts I. Kinetics and stoichiometry of fatty acid peroxidation // Arch. Biochem. Biophys. 1968. V. 125. P. 189.
- Shibaeva T.G., Rubaeva A.A., Sherudilo E.G., Titov A.F. Continuous lighting increases yield and nutritional value and decreases nitrate content in Brassicaceae microgreens // Russ. J. Plant Physiol. 2023. V. 70. P. 118. https://doi.org/10.1134/S1021443723601337
- Shibaeva T.G., Mamaev A.V., Sherudilo E.G., Titov A.F. The role of photosynthetic daily light integral in plant response to extended photoperiods // Russ. J. Plant Physiol. 2022. V. 69. P. 7. https://doi.org/10.1134/S1021443722010216
- Llorente B., Martinez-Garcia J., Stange C., Rodriguez-Concepcion M. Illuminating colors: regulation of carotenoid biosynthesis and accumulation by light // Curr. Opin. Plant Biol. 2017. V. 37. P. 49. https://doi.org/10.1016/j.pbi.2017.03.011
- Маслова Т.Г., Марковская Е.Ф., Слемнев Н.Н. Функции каротиноидов в листьях высших растений (обзор) // Журн. общ. биол. 2020. Т. 81. С. 297. https://doi.org/0.31857/S0044459620040065
- Shibaeva T.G., Sherudilo E.G., Rubaeva A.A., Titov A.F. Continuous LED lighting enhances yield and nutritional value of four genotypes of Brassicaceae microgreens // Planta. 2022. V. 11. P. 176. https://doi.org/10.3390/plants11020176
- Smillie R.M., Hetherington S.E. Photoabatement by anthocyanin shields photosynthetic systems from light stress // Photosynthetica. 1999. V. 36. P. 451. https://doi.org/10.1023/A:1007084321859
- Steyn W.J., Wand S.J.E. Anthocyanins in vegetative tissues: a proposed unified function in photoprotection // New Phytol. 2002. V. 155. P. 349. https://doi.org/10.1046/j.1469-8137.2002.00482.x
- Timmins G.S., Holbrook N.M., Field T.S. Le rouge et le noir: Are anthocyanins plant melanins? // Adv. Bot. Res. 2002. V. 37. P. 17. https://doi.org/10.1016/S0065-2296(02)37041-1
- Nielsen S.L., Simonsen A.M. Photosynthesis and photoinhibition in two differently coloured varieties of Oxalis triangularis − the effect of anthocyanin content // Photosynthetica. 2011. V. 49. P. 346. https://doi.org/10.1007/s11099-011-0042-y
- Trojak M., Skowron E. Role of anthocyanins in high-light stress response // World Sci. News. 2017. V. 81. P. 150.
- Макаревич А.М., Шутова А.Г., Спиридович Е.В., Решетников В.Н. Функции и свойства антоцианов растительного сырья // Труды БГУ. 2010. Т. 4. С. 1.
- Havaux M., Kloppstech K. The protective functions of carotenoid and flavonoid pigments against excess visible radiation at chilling temperature investigated in Arabidopsis npq and tt mutants // Planta. 2001. V. 213. P. 953. https://doi.org/10.1007/s004250100572
- Olsson L., Veit M., Weissenböck G., Bornman J. Differential flavonoid response to enhanced UV-B radiation in Brassica napus // Phytochemistry. 1998. V. 49. P. 1021.
- Alexieva V., Sergiev I., Mapelli S., Karanov E. The effect of drought and ultraviolet radiation on growth and stress markers in pea and wheat // Plant, Cell Environ. 2001. V. 24. P. 881. https://doi.org/10.1046/j.1365-3040.2001.00778.x
- Lois R., Buchanan B.B. Severe sensitivity to ultraviolet radiation in an Arabidopsis mutant deficient in flavonoid accumulation. II. Mechanisms of UV-resistance in Arabidopsis // Planta. 1994. V. 194. P. 504.
- Neill S.O., Gould K.S., Kilmartin P.A., Mitchell K.A., Markham K.R. Antioxidant capacities of green and cyanic leaves in the sun species, Quintinia serrata // Funct. Plant Biol. 2002. V. 29. P. 1437. https://doi.org/10.1071/FP02100
- Neill S.O., Gould K.S. Anthocyanins in leaves: light attenuators or antioxidants? // Funct. Plant Biol. 2003. V. 30. P. 865. https://doi.org/10.1071/FP03118
- Zang K.-M., Yu H.-J., Shi K., Zhou Y.-H., Yu J.-Q., Xia X.-J. Photoprotective roles of anthocyanins in Begonia semperflorens // Plant Sci. 2010. V. 179. P. 202. https://doi.org/10.1016/J.PLANTSCI.2010.05.006
- Zhang T.-J., Chow W.S., Liu X.-T., Zhang P., Liu N., Peng C.-L. A magic red coat on the surface of young leaves: Anthocyanins distributed in trichome layer protect Castanopsis fissa leaves from photoinhibition // Tree Physiol. 2016. V. 36. P. 1296. https://doi.org/10.1093/treephys/tpw080
- Zhu H., ZhangTJ., Zheng J. Anthocyanins function as a light attenuator to compensate for insufficient photoprotection mediated by nonphotochemical quenching in young leaves of Acmena acuminatissima in winter // Photosynthetica. 2018. V. 56. P. 445. https://doi.org/10.1007/s11099-017-0740-1
- Kumar S., Pandey A. K. Chemistry and biological activities of flavonoids: an overview // Sci. World J. 2013. Article ID 162750. https://doi.org/10.1155/2013/162750
- Pojer E., Mattivi F., Johnson D., Stockley C.S. The case for anthocyanin consumption to promote human health: a review // Comp. Rev. Food Sci. Food Saf. 2013. V. 12. P. 483. https://doi.org/10.1111/1541-4337.12024
- Lanoue J., St. Louis S., Little C., Hao X. Continuous lighting can improve yield and reduce energy costs while increasing or maintaining nutritional contents of microgreens // Front. Plant Sci. 2022. V. 13: 983222. https://doi.org/10.3389/fpls.2022.983222
Supplementary files





