Continuous Lighting Increases Yield and Nutritional Value and Decreases Nitrate Content in Brassicaceae Microgreens
- Authors: Shibaeva T.G.1, Rubaeva A.A.1, Sherudilo E.G.1, Titov A.F.1
-
Affiliations:
- Institute of Biology, Karelian Research Center, Russian Academy of Sciences
- Issue: Vol 70, No 6 (2023)
- Pages: 623-634
- Section: ЭКСПЕРИМЕНТАЛЬНЫЕ СТАТЬИ
- URL: https://bakhtiniada.ru/0015-3303/article/view/232781
- DOI: https://doi.org/10.31857/S0015330323600262
- EDN: https://elibrary.ru/QYVARR
- ID: 232781
Cite item
Full Text
Abstract
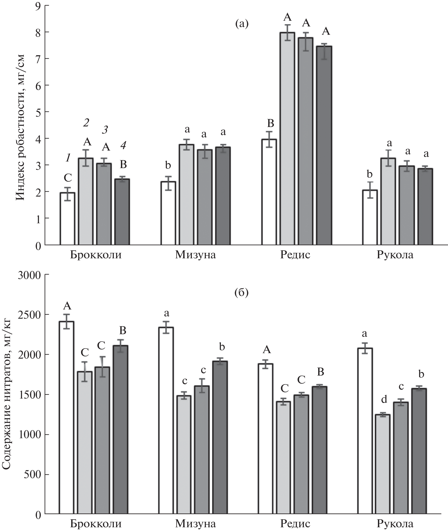
Microgreens of four species of the family Brassicaceae (broccoli, mizuna, radish, and arugula) were grown under 16- and/or 24-h photoperiod conditions. In the first series of experiments, the daily light integral (DLI) was different (15.6 and 23.3 mol m–2 day–1 at PAR 270 µmol m–2 s–1), while it was the same (15.6 mol m–2 day–1 at PAR 270 µmol m–2 s–1 and 180 µmol m–2 s–1) in the second. In the third series of experiments, continuous lighting was used only in the last three days before harvesting. The results obtained showed that broccoli, mizuna, radish, and arugula plants in the early phases of growth are resistant to continuous lighting and do not show typical signs of leaf photodamage. In all three series of experiments, microgreens of all four species grown under 24-h photoperiod had a higher yield and nutritional value (higher content of substances with antioxidant properties—anthocyanins, flavonoids, carotenoids, and proline—as well as increased activity of antioxidant enzymes) and a lower content of nitrates compared to plants grown under 16-h photoperiod. It was concluded that it is possible through the use of continuous lighting without increasing energy costs (while maintaining the DLI) to increase the yield and nutritional value of the studied species of microgreens and reduce their nitrate content compared to the standard 16-h photoperiod. In addition, an increase in nutritional value and a decrease in nitrate content is also possible with the use of continuous lighting (as an agricultural practice) for several days immediately before harvesting.
Keywords
About the authors
T. G. Shibaeva
Institute of Biology, Karelian Research Center, Russian Academy of Sciences
Email: shibaeva@krc.karelia.ru
Petrozavodsk, Russia
A. A. Rubaeva
Institute of Biology, Karelian Research Center, Russian Academy of Sciences
Email: shibaeva@krc.karelia.ru
Petrozavodsk, Russia
E. G. Sherudilo
Institute of Biology, Karelian Research Center, Russian Academy of Sciences
Email: shibaeva@krc.karelia.ru
Petrozavodsk, Russia
A. F. Titov
Institute of Biology, Karelian Research Center, Russian Academy of Sciences
Author for correspondence.
Email: shibaeva@krc.karelia.ru
Petrozavodsk, Russia
References
- Treadwell D.D., Hochmuth R., Landrum L., Laughlin W. Microgreens: A new specialty crop // Univ. Florida IFAS Ext. Bul. 2020. HS1164 https://doi.org/journals.flvc.org/edis/article/view/118552
- Xiao Z., Codling E.E., Luo Y., Nou X., Lester G.E., Wang Q. Microgreens of Brassicaceae: Mineral composition and content of 30 varieties // J. Food Compos. Anal. 2016. V. 49. P. 87. https://doi.org/10.1016/j.jfca.2016.04.006
- Zhou W., Wenke L., Qichang Y. Reducing nitrate content in lettuce by pre-harvest continuous light delivered by red and blue light-emitting diodes // J. Plant Nutr. 2013. V. 36. P. 481. https://doi.org/10.1080/01904167.2012.748069
- Proietti S., Moscatello S., Riccio F., Downey P., Battistelli A. Continuous lighting promotes plant growth, light conversion efficiency, and nutritional quality of Eruca vesicaria (L.) Cav. in controlled environment with minor effects due to light quality // Front. Plant Sci. 2021. V. 12. 730119. https://doi.org/10.3389/fpls.2021.730119
- Jones-Baumgardt C., Llewellyn D., Ying Q., Zheng Y. Intensity of sole-source light-emitting diodes affects growth, yield, and quality of Brassicaceae microgreens // HortSci. 2019. V. 54. P. 1168. https://doi.org/10.21273/HORTSCI13788-18
- Trejo-Tellez L.I., Estrada-Ortiz E., Gomez-Merino F.C., Becker C., Krumbein A., Schwarz D. Flavonoid, nitrate and glucosinolate concentrations in Brassica species are differentially affected by photosynthetically active radiation, phosphate and phosphate // Front Plant Sci. 2019. V. 10. P. 371. https://doi.org/10.3389/fpls.2019.00371
- Artés-Hernández F., Castillejo N., Martínez-Zamora L. UV and visible spectrum LED lighting as abiotic elicitors of bioactive compounds in sprouts, microgreens, and baby leaves. A comprehensive review including their mode of action // Foods. 2022. V. 11. P. 265. https://doi.org/10.3390/ foods11030265
- Viršilë A., Brazaitytë A., Vaštakaitë-Kairienë V., Miliauskienë J., Jankauskienë J., Novièkovas A., Laužikė K., Samuolienė G. The distinct impact of multi-color LED light on nitrate, amino acid, soluble sugar and organic acid contents in red and green leaf lettuce cultivated in controlled environment // Food Chem. 2020. V. 310. 125799. https://doi.org/10.1016/j.foodchem.2019.125799
- Yan Z., He D., Niu G., Zhou Q., Qu Y. Growth, nutritional quality, and energy use efficiency of hydroponic lettuce as influenced by daily light integrals exposed to white versus white plus red light-emitting diodes // HortSci. 2019. V. 54. P. 1737. https://doi.org/10.21273/HORTSCI14236-19
- Lanoue J., St Louis S., Little C., Hao X. Continuous lighting can improve yield and reduce energy costs while increasing or maintaining nutritional contents of microgreens // Front. Plant Sci. 2022. V. 13. 983222. https://doi.org/10.3389/fpls.2022.983222
- Velez-Ramirez A.I., Van Ieperen W., Vreugdenhil D., Millenaar F.F. Plants under continuous light // Trends Plant Sci. 2011. V. 16. P. 310. https://doi.org/10.1016/ j.tplants.2011.02.003
- Sysoeva M.I., Markovskaya E.F., Shibaeva T.G. Plants under continuous light: a review // Plant Stress. 2010. V. 4. P. 5.
- Shibaeva T.G., Sherudilo E.G., Rubaeva A.A., Titov A.F. Continuous LED lighting enhances yield and nutritional value of four genotypes of Brassicaceae microgreens // Plants. 2022. V. 11. P. 1. https://doi.org/10.3390/plants11020176
- Lichtenthaler H.K., Wellburn A.R. Determinations of total carotenoids and chlorophylls a and b of leaf extracts in different solvents // Biochem. Soc. Trans. 1983. V. 603. P. 591.
- Kolupaev Y.E., Fisova E.N., Yastreb T.O., Ryabchun N.I., Kirichenko V.V. Effect of hydrogen sulfide donor on antioxidant state of wheat plants and their resistance to soil drought // Russ. J. Plant Physiol. 2019. V. 66. P. 59. https://doi.org/10.1134/S1021443719010084
- Методические указания по определению нитратов и нитритов в продукции растениеводства 5048-89. М., 1989.
- Poorter H., Niinemets U., Ntagkas N., Siebenk A., Maenpaa M., Matsubara S., Pons T.L. A meta-analysis of plant responses to light intensity for 70 traits ranging from molecules to whole plant performance // New Phytol. 2019. V. 223. P. 1073. https://doi.org/10.1111/nph.15754
- Koontz H.V., Prince R.P. Effect of 16 and 24 hours daily radiation (light) on lettuce growth // HortSci. 1986. V. 21. P. 123. https://doi.org/10.21273/HORTSCI.21.1.123
- Weaver G., van Iersel M.W. Photochemical characterization of greenhouse-grown lettuce (Lactuca sativa L. ‘Green Towers’) with applications for supplemental lighting control // HortSci. 2019. V. 54. P. 317. https://doi.org/10.21273/HORTSCI13553-18
- Weaver G., van Iersel M.W. Longer photoperiods with adaptive lighting control can improve growth of greenhouse-grown ‘Little gem’ lettuce (Lactuca sativa) // HortSci. 2020. V. 55. P. 573. https://doi.org/10.21273/HORTSCI14721-19
- Aikman D.P. Potential increase in photosynthetic efficiency from the redistribution of solar radiation in a crop // J. Exp. Bot. 1989. V. 40. P. 855. https://doi.org/10.1093/jxb/40.8.855
- Palmer S., van Iersel M.W. Increasing growth of lettuce and mizuna under sole-source LED lighting using longer photoperiods with the same daily light integral // Agronomy. 2020. V. 10. P. 1. https://doi.org/10.3390/agronomy10111659
- Shibaeva T.G., Mamaev A.V., Sherudilo E.G., Titov A.F. The role of photosynthetic daily light integral in plant response to extended photoperiods // Russ. J. Plant Physiol. 2022. V. 69, 7. https://doi.org/10.1134/s1021443722010216
- Pennisi G., Orsini F., Landolfo M., Pistillo A., Crepaldi A., Nicola S., Fernández J.A., Marcelis L.F.M., Gianquinto G. Optimal photoperiod for indoor cultivation of leafy vegetables and herbs // Eut. J. Hortic. Sci. 2020. V. 85. P. 329. https://doi.org/10.17660/eJHS.2020/85.5.4
- Llorente B., Martínez-García J., Stange C., Rodríguez-Concepción M. Illuminating colors: regulation of carotenoid biosynthesis and accumulation by light // Curr. Opin. Plant Biol. 2017. V. 37. P. 49. https://doi.org/10.1016/j.pbi.2017.03.011
- Proietti S., Moscatello S., Leccese A., Colla G., Battistelli A. The effect of growing spinach (Spinacia oleracea L.) at low light intensities on the amounts of oxalate, ascorbate and nitrate in their leaves // J. Hort. Sci. Biotechnol. 2004. V. 79. P. 606. https://doi.org/10.1080/14620316.2004.11511814
- Bian Z.-H., Cheng R.-F., Yang Q.-C., Wang J., Lu C. Continuous light from red, blue, and green light-emitting diodes reduces nitrate content and enhances phytochemical concentrations and antioxidant capacity in lettuce // J. Amer. Soc. Hort. Sci. 2016. V. 141. P. 186. https://doi.org/10.21273/JASHS.141.2.186
- Haque M.S., de Sousa A., Soares C., Kjaer K.H., Fidalgo F., Rosenqvist E., Ottosen C.-O. Temperature variation under continuous light restores tomato leaf photosynthesis and maintains the diurnal pattern in stomatal conductance // Front. Plant Sci. 2017. V. 8. P. 1602. https://doi.org/10.3389/fpls.2017.01602
- Kumar D., Singh H., Bhatt U., Soni V. Effect of continuous light on antioxidant activity, lipid peroxidation, proline and chlorophyll content in Vigna radiata l // Funct. Plant Biol. 2022. V. 49. P. 145. https://doi.org/10.1071/FP21226
- Fan X.-X., XueF., Song B., Chen L.-Z., Xu G., Xu H. Effects of blue and red light on growth and metabolism in pakchoi // Open Chem. 2019. V. 17. P. 456. https://doi.org/10.1515/chem-2019-0038
- Paradiso R., Proietti S. Light-quality manipulation to control plant growth and photomorphogenesis in greenhouse horticulture: the state of the art and the opportunities of modern led systems // J. Plant Growth Regul. 2021. V. 21. P. 1. https://doi.org/10.1007/s00344-021-10337-y
- Alrifai O., Hao X., Liu R., Lu Z., Marcone M.F., Tsao R. Amber, red and blue LEDs modulate phenolic contents and antioxidant activities in eight cruciferous microgreens // J. Food Bioact. 2020. V. 11. P. 95. https://doi.org/10.31665/ jfb.2020.11241
- Bian Z.H., Yang Q.C., Liu W.K. Effects of light quality on the accumulation of phytochemicals in vegetables produced in controlled environments: a review // J. Sci. Food Agric. 2015. V. 95. P. 869. https://doi.org/10.1002/jsfa.6789
- Signore A., Bell L., Santamaria P., Wagstaff C., Van Labeke M.-C. Red light is effective in reducing nitrate concentration in rocket by increasing nitrate reductase activity, and contributes to increased total glucosinolates content // Front. Plant Sci. 2020. V. 11. P. 604. https://doi.org/10.3389/fpls.2020.00604
- Champigny M.L. Integration of photosynthetic carbon and nitrogen metabolism in higher plants // Photosynth. Res. 1995. V. 46. P. 117. https://doi.org/10.1007/BF00020422
- Veen B.W., Kleinendorst A. Nitrate accumulation and osmotic regulation in Italian ryegrass (Lolium multiflorum Lam.) // J. Expt. Bot. 1985. V. 36. P. 211.
- Huner N.P.A., Öquist G., Sarhan F. Energy balance and acclimation to light and cold // Trends Plant Sci. 1998. V. 3. P. 224. https://doi.org/10.1016/S1360-1385(98)01248-5
- Lillo C. Light regulation of nitrate uptake, assimilation and metabolism // Nitrogen Acquisition and Assimilation in Higher Plants. Plant Ecophysiology. V. 3. / Eds Amâncio S., Stulen I. Dordrecht: Springer. 2004. P. 149. https://doi.org/10.1007/978-1-4020-2728-4_6
- Nawaz M.Q. Effect of different sowing methods and nitrogen levels on fodder yield of oat in salt affected soil // Pakistan J. Agricul. Research. 2017. V. 30. P. 323. https://doi.org/10.17582/journal.pjar/2017/30.4.323.328
- Liandong Q., Shiqi L., Li X., Wenyan Y., Qingling L., Shuqin H. Effects of light qualities on accumulation of oxalate, tannin and nitrate in spinach // Transactions of the CSAE. 2007. V. 23. P. 201. https://doi.org/10.3969/J.ISSN.1002-6819.2007.4.040




