Влияние повышенной концентрации СО2 и температуры на растения с разным типом фотосинтеза: киноа (С3) и амарант (С4)
- Авторы: Рахманкулова З.Ф.1, Шуйская Е.В.1, Прокофьева М.Ю.1, Саидова Л.Т.1, Воронин П.Ю.1
-
Учреждения:
- Федеральное государственное бюджетное учреждение науки Институт физиологии растений им. К.А. Тимирязева Российской академии наук
- Выпуск: Том 70, № 6 (2023)
- Страницы: 588-600
- Раздел: ЭКСПЕРИМЕНТАЛЬНЫЕ СТАТЬИ
- URL: https://bakhtiniada.ru/0015-3303/article/view/232768
- DOI: https://doi.org/10.31857/S0015330323600353
- EDN: https://elibrary.ru/ICAOVY
- ID: 232768
Цитировать
Полный текст
Аннотация
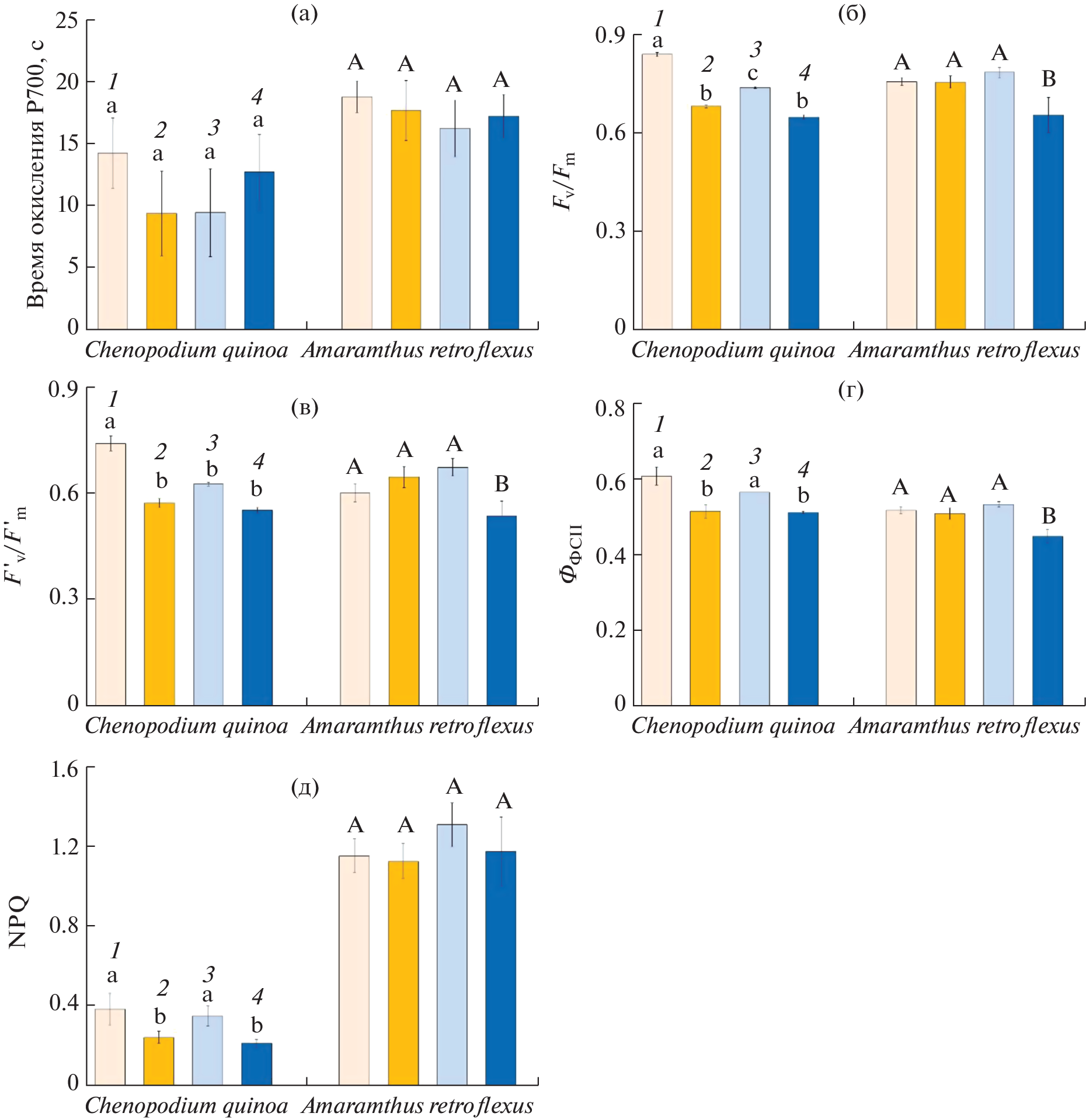
Исследовали термоустойчивость растений с разным типом фотосинтеза Chenopodium quinoa Willd. (С3) и Amaranthus retroflexus L. (С4-НАД) к кратковременной повышенной температуре (35°С, eT) при естественной (400 ppm, aCO2) и повышенной (800 ppm, eCO2) концентрации СО2. Анализировали ростовые параметры, содержание воды, пролина, МДА, параметры СО2/Н2О газообмена, функционирование ФС I и ФС II, содержание ключевых фотосинтетических (РБФК/О, ФЕПк) и фотодыхательных (ГДК) ферментов. В контрольных условиях у растений С4-вида, по сравнению с С3-видом, показаны более высокие значения прироста сухой биомассы, интенсивности видимого фотосинтеза, транспирации, активности ФС I и более низкое содержание пролина. Фотосинтетический и устьичный аппарат обоих видов был чувствителен к eT, что проявлялось в снижении интенсивности видимого фотосинтеза и транспирации. Кроме того, у С3-вида наблюдалось подавление световых реакций (ФС II) и интенсивности фотодыхания (по ГДК), а у С4-вида – увеличение содержания пролина. В условиях eCO2 у С3-вида наблюдалось снижение интенсивности фотодыхания, а у С4-вида окислительный стресс (2-кратное увеличение содержания МДА) сопровождался снижением интенсивности видимого фотосинтеза, транспирации и возрастанием интенсивности темнового митохондриального дыхания. Смягчающий эффект eCO2 на термоустойчивость данных С3- и С4-растений не установлен. При совместном действии eCO2 и eT у обоих видов имели место окислительный стресс, снижение эффективности ФС II и видимого фотосинтеза, а также активация темнового дыхания. Однако наблюдались и отличия: у С3-вида окислительный стресс сопровождался снижением прироста сухой биомассы и содержания воды в тканях, а также подавлением фотодыхания, а у С4-вида – снижением интенсивности транспирации и возрастанием содержания ФЕПк. Снижение WUE при совместном действии eCO2 и eT у растений С4-вида было менее значительным, чем у С3-вида. Обсуждается разная реакция растений киноа (С3) и амаранта (С4) на совместное действие климатических факторов: повышенной температуры и концентрации СО2.
Об авторах
З. Ф. Рахманкулова
Федеральное государственное бюджетное учреждение науки Институт физиологии растенийим. К.А. Тимирязева Российской академии наук
Email: zulfirar@mail.ru
Россия, Москва
Е. В. Шуйская
Федеральное государственное бюджетное учреждение науки Институт физиологии растенийим. К.А. Тимирязева Российской академии наук
Email: zulfirar@mail.ru
Россия, Москва
М. Ю. Прокофьева
Федеральное государственное бюджетное учреждение науки Институт физиологии растенийим. К.А. Тимирязева Российской академии наук
Email: zulfirar@mail.ru
Россия, Москва
Л. Т. Саидова
Федеральное государственное бюджетное учреждение науки Институт физиологии растенийим. К.А. Тимирязева Российской академии наук
Email: zulfirar@mail.ru
Россия, Москва
П. Ю. Воронин
Федеральное государственное бюджетное учреждение науки Институт физиологии растенийим. К.А. Тимирязева Российской академии наук
Автор, ответственный за переписку.
Email: zulfirar@mail.ru
Россия, Москва
Список литературы
- Ain Q.T., Siddique K., Bawazeer S., Ali I., Mazhar M., Rasool R., Mubeen B., Ullah F., Unar A., Jafar T.H. Adaptive mechanisms in quinoa for coping in stressful environments: an update // PeerJ. 2023. V. 11: e14832. https://doi.org/10.7717/peerj.14832
- Shanker A.K., Gunnapaneni D., Bhanu D., Vanaja M., Lakshmi N.J., Yadav S.K., Prabhakar M., Singh V.K. E-levated CO2 and water stress in combination in plants: Brothers in arms or partners in crime? // Biology. 2022. V. 11. P. 1330. https://doi.org/10.3390/biology11091330
- Cao Q., Li G., Liu F. Elevated CO2 enhanced water use efficiency of wheat to progressive drought stress but not on maize // Front. Plant Sci. 2022. V. 13. P. 953712. https://doi.org/10.3389/fpls.2022.953712
- Dusenge M.E., Duarte A.G., Way D.A. Plant carbon metabolism and climate change: elevated CO2 and temperature impacts on photosynthesis, photorespiration and respiration // New Phytol. 2019. V. 221. P. 32. https://doi.org/10.1111/nph.15283
- Yadav S., Elansary H.O., Mattar M.A., Elhindi M.K., Alotaibi A.M., Mishra A. Differential accumulation of metabolites in Suaeda species provides new insights into abiotic stress tolerance in C4-halophytic species in elevated CO2 conditions // Agronomy. 2021. V. 11. P. 131. https://doi.org/10.3390/agronomy11010131
- Xu Z., Jiang Y., Zhou G. Response and adaptation of photosynthesis, respiration, and antioxidant systems to elevated CO2 with environmental stress in plants // Front. Plant Sci. 2015. V. 6. P. 701. https://doi.org/10.3389/fpls.2015.00701
- Reich P.B., Hobbie S.E., Lee T.D., Pastore M.A. Unexpected reversal of C3 versus C4 grass response to elevated CO2 during a 20-year field experiment // Science. 2018. V. 360. P. 317. https://doi.org/10.1126/science.aas9313
- Lara M.V., Andreo C.S. C4 plants adaptation to high levels of CO2 and to drought environments // Abiotic Stress in Plants-Mechanisms and Adaptations. Shanker, A., (Ed.). InTech: Hampshire, UK, 2011. P. 415. https://doi.org/10.5772/24936
- Zheng Y., Li F., Hao L., Yu J., Guo L., Zhou H., Ma C., Zhang X., Xu M. Elevated CO2 concentration induces photosynthetic down-regulation with changes in leaf structure, non-structural carbohydrates and nitrogen content of soybean // BMC Plant Biol. 2019. V. 19. P. 255. https://doi.org/10.1186/s12870-019-1788-9
- Jothiramshekar S., Benjamin J.J., Krishnasamy R., Pal A., George S., Swaminathan R., Parida A. Responses of selected C3 and C4 halophytes to elevated CO2 concentration under salinity // Curr. Sci. 2018. V. 115. P. 129. https://doi.org/10.18520/cs/v115/i1/129-135
- Faria A.P., Marabesi M.A., Gaspar M., França M.G. The increase of current atmospheric CO2 and temperature can benefit leaf gas exchanges, carbohydrate content and growth in C4 grass invaders of the Cerrado biome // Plant Physiol. Biochem. 2018. V. 127. P. 608. https://doi.org/10.1016/j.plaphy.2018.04.042
- Wang M., Xie B., Fu Y., Dong C., Hui L., Guanghui L., Liu H. Effects of different elevated CO2 concentrations on chlorophyll contents, gas exchange, water use efficiency, and PSII activity on C3 and C4 cereal crops in a closed artificial ecosystem // Photosynth. Res. 2015. V. 126. P. 351. https://doi.org/10.1007/s11120-015-0134-9
- Boretti A., Florentine S. Atmospheric CO2 concentration and other limiting factors in the growth of C3 and C4 plants // Plants. 2019. V. 8. P. 92. https://doi.org/10.3390/plants8040092
- Prasch C.M., Sonnewald U. Simultaneous application of heat, drought, and virus to Arabidopsis plants reveals significant shifts in signaling networks // Plant Physiol. 2013. V. 162. P. 1849. https://doi.org/10.1104/pp.113.221044
- Yamori W., Hikosaka K., Way D.A. Temperature response of photosynthesis in C3, C4, and CAM plants: temperature acclimation and temperature adaptation // Photosynth Res. 2014. V. 119. P. 101. https://doi.org/10.1007/s11120-013-9874-6
- Hinojosa L., González J.A., Barrios-Masias F.H., Fuentes F., Murphy K.M. Quinoa abiotic stress responses: A review // Plants. 2018. V. 7. P. 106. https://doi.org/10.3390/plants7040106
- Li G., Chen T., Feng B., Peng S., Tao L., Fu G. Respiration, rather than photosynthesis, determines rice yield loss under moderate high-temperature conditions // Front Plant Sci. 2021. V. 12. P. 678653. https://doi.org/10.3389/fpls.2021.678653
- Sage R.F., Kubien D.K. The temperature response of C3 and C4 photosynthesis // Plant, Cell Environ. 2007. V. 30. P. 1086. https://doi.org/10.1111/j.1365-3040.2007.01682.x
- Wang D., Heckathorn S.A., Barua D., Joshi P., Hamilton E.W., Lacroix J.J. Effects of elevated CO2 on the tolerance of photosynthesis to acute heat stress in C3, C4, and CAM species // Am. J. Bot. 2008. V. 95. P. 165. https://doi.org/10.3732/ajb.95.2.165
- Zinta G., AbdElgawad H., Domagalska M.A., Vergauwen L., Knapen D., Nijs I. Physiological, biochemical, and genome-wide transcriptional analysis reveals that elevated CO2 mitigates the impact of combined heat wave and drought stress in Arabidopsis thaliana at multiple organizational levels // Glob. Chang. Biol. 2014. V. 20. P. 3670. https://doi.org/10.1111/gcb.12626
- Zinta G., AbdElgawad H., Peshev D., Weedon J.T., Van den Ende W., Nijs I. Dynamics of metabolic responses to periods of combined heat and drought in Arabidopsis thaliana under ambient and elevated atmospheric CO2 // J. Exp. Bot. 2018. V. 69. P. 2159. https://doi.org/10.1093/jxb/ery055
- Zhou R., Yu X., Wen J., Jensen N.B., Dos Santos T.M., Wu Z., Rosenqvist E., Ottosen C.O. Interactive effects of elevated CO2 concentration and combined heat and drought stress on tomato photosynthesis // BMC Plant Biol. 2020. V. 20. P. 260. https://doi.org/10.1186/s12870-020-02457-6
- Arrivault S., Alexandre Moraes T., Obata T., Medeiros D.B., Fernie A.R., Boulouis A., Ludwig M., Lunn J.E., Borghi G.L., Schlereth A., Guenther M., Stitt M. Metabolite profiles reveal interspecific variation in operation of the Calvin-Benson cycle in both C4 and C3 plants // J. Exp. Bot. 2019. V. 70. P. 1843. https://doi.org/10.1093/jxb/erz051
- Yu J., Li R., Fan N., Yang Z., Huang B. Metabolic pathways involved in carbon dioxide enhanced heat tolerance in bermudagrass // Front. Plant Sci. 2017. V. 8. P. 1506. https://doi.org/10.3389/fpls.2017.01506
- Bordignon L., Faria A.P., França M.G.C., Fernandes G.W. Osmotic stress at membrane level and photosystem II activity in two C4 plants after growth in elevated CO2 and temperature // Ann. Appl. Biol. 2019. V. 174. P. 113. https://doi.org/10.1111/aab.12483
- Jeong H.M., Kim H.R., Hong S., You Y.H. Effects of elevated CO2 concentration and increased temperature on leaf quality responses of rare and endangered plants // J. Ecol. Environ. 2018. V. 42. https://doi.org/10.1186/s41610-017-0061-0
- Kirschbaum M.U.F., McMillan A.M.S. Warming and elevated CO2 have opposing influences on transpiration. Which is more important? // Curr. Forestry Rep. 2018. V. 4. P. 51. https://doi.org/10.1007/s40725-018-0073-8
- Wei Z., Abdelhakim L., Fang L., Peng X., Liu J., Liu F. Elevated CO2 effect on the response of stomatal control and water use efficiency in amaranth and maize plants to progressive drought stress // Agric. Water Manage. 2022. V. 266. https://doi.org/10.1016/j.agwat.2022.107609
- Schafleitner R., Lin Y.-P., Dinssa F., N’Danikou S., Finkers R., Minja R., Abukutsa-Onyango M., Nyonje W., Lin C.-Y., Wu T.-H., Sigalla J.P., van Zonneveld M., Hsiao Y.-Y., Kumar S., Wu W.-J., et al. The World Vegetable Center Amaranthus germplasm collection: Core collection development and evaluation of agronomic and nutritional traits // Crop Sci. 2022. V. 62. P. 1173. https://doi.org/10.1002/csc2.20715
- Bates L.S., Waldren R.P., Teare I.D. Rapid determination of free proline for water stress studies // Plant Soil. 1973. V. 39. P. 205. https://doi.org/10.1007/BF00018060
- Heath R.L., Packer L. Photoperoxidation in isolated chloroplasts // Arch. Biochem. Biophys. 1968, V. 125. P. 180. https://doi.org/10.1016/0003-9861(68)90654-1
- Shuyskaya E., Rakhmankulova Z., Prokofieva M., Saidova L., Toderich K., Voronin P. Intensity and duration of salinity required to form adaptive response in C4 halophyte Kochia prostrata (L.) Shrad. // Front. Plant Sci. 2022. V. 13. https://doi.org/10.3389/fpls.2022.955880
- Nakamura N., Iwano M., Havaux M., Yokota A., Munekage Y.N. Promotion of cyclic electron transport around photosystem I during the evolution of NADP-malic enzyme-type C4 photosynthesis in the genus Flaveria // New Phytol. 2013. V. 199. P. 832. https://doi.org/10.1111/nph.12296
- Yadav S., Mishra A. Ectopic expression of C4 photosynthetic pathway genes improves carbon assimilation and alleviate stress tolerance for future climate change // Physiol. Mol. Biol. Plants. 2020. V. 26. P. 195. https://doi.org/10.1007/s12298-019-00751-8
- Crafts-Brandner S.J., Salvucci M.E. Sensitivity of photosynthesis in a C4 plant, maize, to heat stress // Plant Physiol. 2002. V. 129. P. 1773. https://doi.org/10.1104/pp.002170
- Heckathorn S.A., Ryan S.L., Baylis J.A., Wang J.A., Hamilton E.W., Cundiff L. In vivo evidence from an Agrostis stolonifera selection genotype that chloroplast small heat-shock proteins can protect photosystem II during heat stress // Funct. Plant Biol. 2002. V. 29. P. 933. https://doi.org/10.1071/PP01191
- Singh S.K., Reddy V.R. Methods of mesophyll conductance estimation: its impact on key biochemical parameters and photosynthetic limitations in phosphorus stressed soybean across CO2 // Physiol. Plant. 2016. V. 157. P. 234. https://doi.org/10.1111/ppl.12415
- Souza A.P., Gaspar M., Silva E.A., Ulian E.C., Waclawovsky A.J., Nishiyama M.Y. Jr., Santos R.V. Teixeira M.M., Souza G.M., Buckeridge M.S. Elevated CO2 increases photosynthesis, biomass and productivity, and modifies gene expression in sugarcane // Plant Cell Environ. 2008. V. 31. P. 1116. https://doi.org/10.1111/j.1365-3040.2008.01822.x
- Huang Y., Fang R., Li Y., Liu X., Wang G., Yin K., Jin J., Herbert S.J. Warming and elevated CO2 alter the transcriptomic response of maize (Zea mays L.) at the silking stage // Sci. Rep. 2019. V. 9. P. 17948. https://doi.org/10.1038/s41598-019-54325-5
Дополнительные файлы







