Salicylic Acid Improves Cold Resistance of Solanum tuberosum Regenerants via Regulation of the Antioxidant System
- Authors: Golovatskaya I.F.1, Kadyrbaev M.K.1, Boyko E.V.1, Filonova M.V.1
-
Affiliations:
- National Research Tomsk State University
- Issue: Vol 70, No 5 (2023)
- Pages: 547-560
- Section: ЭКСПЕРИМЕНТАЛЬНЫЕ СТАТЬИ
- URL: https://bakhtiniada.ru/0015-3303/article/view/139791
- DOI: https://doi.org/10.31857/S0015330323600018
- EDN: https://elibrary.ru/PZVPIV
- ID: 139791
Cite item
Full Text
Abstract
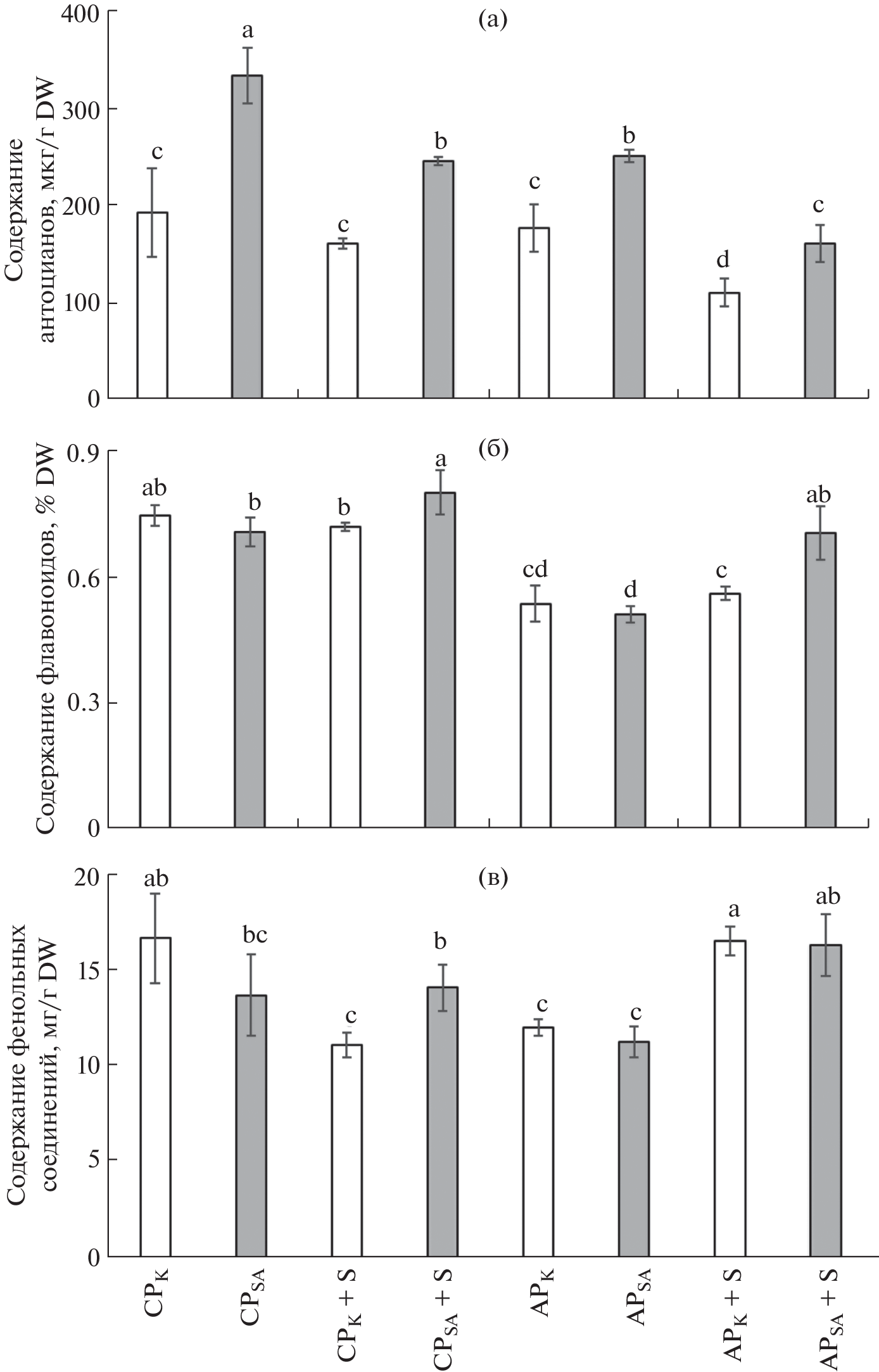
Pretreatment of roots with salicylic acid (SA) and its role in control over morphophysiological parameters characterizing cold resistance of plant regenerants were examined in potato (Solanum tuberosum L.). It was found that potato plants exposed to low above-zero temperatures (4°C, 3 days) failed to restore initial growth parameters (plant height, leaf surface area, number of stolons, and weight of the organs) and oxidative status (intensity of lipid peroxidation) of the roots and leaves after transfer to favorable conditions (22°C, 10 days). A short-term (4-h-long) pretreatment of the roots with 0.1 μM SA minimized the adverse effect of deferred chilling. SA treatment promoted restoration of the initial plant phenotype after hypothermia, which caused a rise in growth parameters (number and surface area of the leaves and number of stolons) as compared with plants exposed to chilling without SA treatment. It was shown that pretreatment with SA improves cold resistance of potato plants owing to changes in the activity of antioxidant enzymes (superoxide dismutase and guaiacol-dependent peroxidase) and in the level of nonenzymatic antioxidants (ascorbic acid, anthocyans, total flavonoids and phenolic compounds). Depending on conditions, SA alters the ratio between individual flavonoids in the leaf. An ambiguous response to chilling and SA treatment was observed in two lines of potato regenerants produced by means of in vitro microcloning from the apical and middle part of the shoot, which is probably associated with their differing hormonal status.
About the authors
I. F. Golovatskaya
National Research Tomsk State University
Email: golovatskaya.irina@mail.ru
Tomsk, Russia
M. K. Kadyrbaev
National Research Tomsk State University
Email: golovatskaya.irina@mail.ru
Tomsk, Russia
E. V. Boyko
National Research Tomsk State University
Email: golovatskaya.irina@mail.ru
Tomsk, Russia
M. V. Filonova
National Research Tomsk State University
Author for correspondence.
Email: golovatskaya.irina@mail.ru
Tomsk, Russia
References
- Titov A.F., Shibaeva T.G., Ikkonen E.N., Sherudilo E.G. Plant responses to a daily short-term temperature drop: phenomenology and mechanisms // Russ. J. Plant Physiol. 2020. V. 67. P. 1003. https://doi.org/10.1134/S1021443720060187
- Ikkonen E.N., Shibaeva T.G., Sherudilo E.G., Titov A.F. Reaction of respiration of winter wheat seedlings to prolonged and short daily decrease in temperature // Russ. J. Plant Physiol. 2020. V. 67. P. 312. https://doi.org/10.31857/S0015330320020062
- Liu Y., Sun T., Sun Y., Zhang Y., Radojičić A., Ding Y., Tian H., Huang X., Lan J., Chen S., Orduna A.R., Zhang K., Jetter R., Li X., Zhang Y. Diverse roles of the salicylic acid receptors NPR1 and NPR3/NPR4 in plant immunity // Plant Cell. 2020. V. 32. P. 4002. https://doi.org/10.1105/tpc.20.00499
- Kumar D. Salicylic acid signaling in disease resistance // Plant Sci. 2014. V. 228. P. 127. https://doi.org/10.1016/j.plantsci.2014.04.014
- Arif Y., Sami F., Siddiqui H., Bajguz A., Hayat S. Salicylic acid in relation to other phytohormones in plant: a study towards physiology and signal transduction under challenging environment // Environ. Exp. Bot. 2020. V. 175. P. 104040. https://doi.org/10.1016/j.envexpbot.2020.104040
- Сахабутдинова А.Р., Фатхутдинова Д.Р., Шакирова Ф.М. Влияние салициловой кислоты на активность антиоксидантных ферментов у пшеницы в условиях засоления // Прикладная биохимия и микробиология. 2004. Т. 40. С. 579.
- Фенько А.А., Репкина Н.С., Таланова В.В. Влияние салициловой кислоты на холодоустойчивость проростков огурца // Труды Карельского научного центра РАН. № 1. 2015. С. 26. https://doi.org/10.17076/eb188
- Fariduddin Q., Hayat S., Ahmad A. Salicylic acid influences net photosynthetic rate, carboxylation efficiency, nitrate reductase activity, and seed yield in Brassica juncea // Photosynthetica. 2003. V. 41. P. 281. https://doi.org/10.1023/B:PHOT.0000011962.05991.6c
- Zafar Z., Rasheed F., Atif R.M., Javed M.A., Maqsood M., Gailing O. Foliar application of salicylic acid improves water stress tolerance in Conocarpus erectus L. and Populus deltoids L. saplings: evidence from morphological, physiological, and biochemical changes // Plants (Basel). 2021. V. 10. P. 1242. https://doi.org/10.3390/plants10061242
- Kadyrbaev M.K., Golovatskaya I.F., Satkanov M.Zh. Features of regenerants morphogenesis and metabolism in vitro, obtained from different fragments of potato shoots // Tomsk State University Journal of Biology. 2021. №. 55. P. 114.https://doi.org/10.17223/19988591/55/7
- Buege J.A., Aust S.D. Microsomal lipid peroxidation // Methods Enzymol. 1978. V. 52. P. 302. https://doi.org/10.1016/s0076-6879(78)52032-6
- Bates L.S., Waldran R.P., Teare I.D. Rapid determination of free proline for water stress studies // Plant Soil. 1973. V. 39. P. 205. https://doi.org/10.1007/BF00018060
- Hewitt E.J., Dickes G.J. Spectrophotometric measurements on ascorbic acid and their use for the estimation of ascorbic acid and dehydroascorbic acid in plant tissue // Biochem J. 1961. V. 78. P. 384. https://doi.org/10.1042/bj0780384
- Lichtenthaler H.K. Chlorophylls and carotenoids: pigments of photosynthetic biomembranes // Methods Enzymol. 1987. V. 148. P. 350. https://doi.org/10.1016/0076-6879(87)48036-1
- Mancinelli A.L., Hoff A.M., Cottrell M. Anthocyanin production in chl-rich and chl-poor seedlings // Plant Physiol. 1988. V. 86. P. 652. https://doi.org/10.1104/pp.86.3.652
- Ломбоева С.С., Танхаева Л.М., Оленников Д.Н. Методика количественного определения суммарного содержания флавоноидов в надземной части ортилии однобокой (Orthilia secunda (L.) House) // Химия растительного сырья. 2008. № 2. С. 65.
- Зимина Л.Н., Куркин В.А., Рыжов В.М. Исследование флавоноидного состава травы зверобоя пятнистого методом высокоэффективной жидкостной хроматографии // Медицинский альманах. 2012. Т. 2. С. 227.
- Zagoskina N.V., Dubravina G.A., Alyavina A.K., Goncharuk E.A. Effect of ultraviolet (UV-B) radiation on the formation and localization of phenolic compounds in tea plant callus cultures // Russ. J. Plant Physiol. 2003. V. 50. P. 270. https://doi.org/10.1023/A:1022945819389
- Beauchamp Ch., Fridovich I. Superoxide dismutase improved assays and an assay applicable to acrylamide gels // Anal Biochem. 1971. V. 44. P. 276. https://doi.org/10.1016/0003-2697(71)90370-8
- Shevyakova N.I., Stetsenko L.A., Meshcheryakov A.B., Kuznetsov Vl.V. The activity of the peroxidase system in the course of stress-induced CAM development // Russ. J. Plant Physiol. 2002. V. 49. P. 598. https://doi.org/10.1023/A:1020224531599
- Esen A. A simple method for quantitative, semiquantitative, and qualitative assay of protein // Anal Biochem. 1978. V. 89. P. 264. https://doi.org/10.1016/0003-2697(78)90749-2
- Singh R., Singh S., Parihar P., Mishra R.K., Tripathi D.K., Singh V.P., Chauhanm D.K., Prasad S.M. Reactive oxygen species (ROS): beneficial companions of plants’ developmental processes // Front Plant Sci. 2016. V. 7. P. 1299. https://doi.org/10.3389/fpls.2016.01299
- Skyba M., Petijová L., Košuth J., Koleva D.P., Ganeva T.G., Kapchina-Toteva V.M., Cellárová E. Oxidative stress and antioxidant response in Hypericum perforatum L. plants subjected to low temperature treatment // J. Plant Physiol. 2012. V. 169. P. 955. https://doi.org/10.1016/j.jplph.2012.02.017
- Eom S.H., Ahn M.A., Kim E., Lee H.J., Lee J.H., Wi S.H., Kim S.K., Lim H.B., Hyun T.K. Plant response to cold stress: cold stress changes antioxidant metabolism in heading type kimchi cabbage (Brassica rapa L. ssp. Pekinensis) // Antioxidants (Basel). 2022. V. 11. P. 700. https://doi.org/10.3390/antiox11040700
- Ogorodnova U.A., Akhmetov A.M., Shakirova F.M., Timofeeva O.A. Changes in hormonal status and expression of lectin genes in wheat seedlings treated with stevioside and exposed to low above-zero temperatures // Russ. J. Plant Physiol. 2020. V. 67. P. 259. https://doi.org/10.1134/S1021443720010136
- Huang H., Ullah F., Zhou D.X., Yi M., Zhao Y. Mechanisms of ROS regulation of plant development and stress responses // Front. Plant Sci. 2019. V. 25. P. 800. https://doi.org/10.3389/fpls.2019.00800
- Jaspers P., Kangasjärvi J. Reactive oxygen species in abiotic stress signaling // Physiol. Plant. 2010. V. 138. P. 405. https://doi.org/10.1111/j.1399-3054.2009.01321.x
- Iqbal N., Fatma M., Gautam H., Sehar Z., Rasheed F., Iqbal M., Khan R., Sofo A., Khan N.A. Salicylic acid increases photosynthesis of drought grown mustard plants effectively with sufficient-N via regulation of ethylene, abscisic acid, and nitrogen-use efficiency // J. Plant Growth Regul. 2022. V. 41. P. 1966. https://doi.org/10.1007/s00344-021-10565-2
- Khan M.I.R., Fatma M., Per T.S., Anjum N.A., Khan N.A. Salicylic acid – induced abiotic stress tolerance and underlying mechanisms in plants // Front. Plant Sci. 2015. V. 6. P. 462. https://doi.org/10.3389/fpls.2015.00462
- Prodhan M.Y., Munemasa S., Nahar M.N.-E.N., Nakamura Y., Murata Y. Guard cell salicylic acid signaling is integrated into abscisic acid signaling via the Ca2+/CPK-dependent pathway // Plant Physiol. 2018. V. 178. P. 441. https://doi.org/10.1104/pp.18.00321
- Szalai G., Pál M., Janda T. Abscisic acid may alter the salicylic acid-related abiotic stress response in maize // Acta Biol. Szeged. 2011. V. 55. P. 155.
- Dugas A.J., Castañeda-Acosta Jr.J., Bonin G.C., Price K.L., Fischer N.H., Winston G.W. Evaluation of the total peroxyl radical-scavenging capacity of flavonoids: structure−activity relationships // J. Nat Prod. 2000. V. 63. P. 327. https://doi.org/10.1021/np990352n
- Cai W., Chen Y., Xie L., Zhang H., Hou C. Characterization and density functional theory study of the antioxidant activity of quercetin and its sugar‑containing analogues // Eur. Food Res. Technol. 2014. V. 238. P. 121. https://doi.org/10.1007/s00217-013-2091-x
- Kuznetsov V.V., Shevyakova N.I. Proline under stress: biological role, metabolism, and regulation // Russ. J. Plant Physiol. 1999. V. 46. P. 274.
- Naraikina N.V., Pchelkin V.P., Tsydendambaev V.D., Trunova T.I. Changes in fatty acid composition and lipid content of potato leaves during low temperature hardening: role of δ12-acyl-lipid desaturase // Russ. J. Plant Physiol. 2020. V. 67. P. 267. https://doi.org/10.1134/S1021443720020119
- Butsanets P.A., Shugaeva N.A., Shugaev A.G. Effect of melatonin and salicylic acid on ROS generation by mitochondria of lupine seedlings // Russ. J. Plant Physiol. 2021. V. 68. P. 745. https://doi.org/10.1134/S1021443721040038
- Ignatenko A.A., Talanova V.V., Repkina N.S., Titov A.F. Effect of salicylic acid on antioxidant enzymes and cold tolerance of cucumber plants // Russ. J. Plant Physiol. 2021. V. 68. P. 491. https://doi.org/10.1134/S1021443721020059
- Gunes A., Inal A., Alpaslan M., Eraslan F., Bagci E.G., Cicek N. Salicylic acid induced changes on some physiological parameters symptomatic for oxidative stress and mineral nutrition in maize (Zea mays L.) grown under salinity // J. Plant Physiol. 2007. V. 164. P. 728. https://doi.org/10.1016/j.jplph.2005.12.009
- Rao M.V., Paliyath G., Ormrod D.P., Murr D.P., Watkins C.B. Influence of salicylic acid on H2O2 production, oxidative stress, and H2O2-metabolizing enzymes (salicylic acid-mediated oxidative damage requires H2O2) // Plant Physiol. 1997. V. 115. P. 137. https://doi.org/10.1104/pp.115.1.137
- Vicente M. R.-S., Plasencia J. Salicylic acid beyond defence: its role in plant growth and development // J. Exp. Bot. 2011. V. 62. P. 3321. https://doi.org/10.1093/jxb/err031
- Jia X., Wang L., Zhao H., Zhang Y., Chen Z., Xu L., Yi K. The origin and evolution of salicylic acid signaling and biosynthesis in plants // Molecular Plant. 2023. V. 16. P. 245. https://doi.org/10.1016/j.molp.2022.12.002
- Hayat S., Hayat Q., Alyemeni M.N., Wani A.S., Pichtel J., Ahmad A. Role of proline under changing environments: a review // Plant Signal Behav. 2012. V. 7. P. 1456. https://doi.org/10.4161/psb.21949
Supplementary files








