Biochemical composition of Euglena gracilis cells during mixotrophic growth in the presence of various organic substrates
- Authors: Gulk E.I.1, Zamyatkina E.B.1, Birkemeyer C.2, Tarakhovskaya E.R.1,3
-
Affiliations:
- St. Petersburg State University
- Leipzig University
- St. Petersburg Branch of Vavilov Institute of General Genetics, Russian Academy of Sciences
- Issue: Vol 70, No 2 (2023)
- Pages: 214-224
- Section: ЭКСПЕРИМЕНТАЛЬНЫЕ СТАТЬИ
- URL: https://bakhtiniada.ru/0015-3303/article/view/130210
- DOI: https://doi.org/10.31857/S0015330322600462
- EDN: https://elibrary.ru/GKPQWG
- ID: 130210
Cite item
Full Text
Abstract
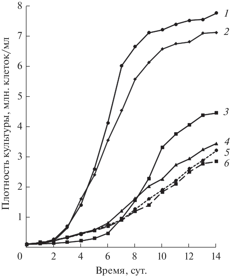
The general biochemical composition and profile of low molecular weight metabolites of euglena (Euglena gracilis Klebs.) cells grown in a mixotrophic culture supplemented with 0.5% ethanol, glucose, butanol, glycine, or glycerol was studied. Ethanol and glucose significantly stimulated the growth of the Euglena culture and the accumulation of storage compounds (paramylon and wax esters) in the cells. Butanol also contributed to the division of euglena cells and increased biosynthesis of protein, mono- and disaccharides, carotenoids, and tocopherols. Glycine and glycerol were metabolized more slowly than other substrates, and they accumulated in E. gracilis cells along with their direct derivatives. Glycine did not stimulate the growth of the culture, but it caused the accumulation of paramylon, organic acids of the Krebs cycle, and nitrogen-containing metabolites (chlorophyll, free amino acids, and nitrogenous bases) in the cells. Apparently, glycine is equally effectively used by Euglena as an additional source of both carbon and nitrogen under the conditions of mixotrophy. Assimilation of glycerol was accompanied by the accumulation of wax esters and the amino acids proline and ornithine in Euglena cells. In general, the results obtained demonstrate the ability of Euglena to significantly rearrange its metabolism during the assimilation of organic substrates of various chemical nature. Our data can be used in the context of E. gracilis practical applications.
Keywords
About the authors
E. I. Gulk
St. Petersburg State University
Email: elena.tarakhovskaya@gmail.com
Russian Federation, St. Petersburg
E. B. Zamyatkina
St. Petersburg State University
Email: elena.tarakhovskaya@gmail.com
Russian Federation, St. Petersburg
C. Birkemeyer
Leipzig University
Email: elena.tarakhovskaya@gmail.com
Germany, Leipzig
E. R. Tarakhovskaya
St. Petersburg State University; St. Petersburg Branch of Vavilov Institute of General Genetics, Russian Academy of Sciences
Author for correspondence.
Email: elena.tarakhovskaya@gmail.com
Russian Federation, St. Petersburg; St. Petersburg
References
- Buetow D.E. Euglena // Encyclopedia of life sciences (ELS). Chichester: John Wiley and Sons, Ltd, 2011. P. 1. https://doi.org/10.1002/9780470015902.a0001964.pub3
- Murray D.R., Giovanelli J., Smillie R.M. Photoassimilation of glycolate, glycine and serine by Euglena gracilis // J. Protozool. 1970. V. 17. P. 99. https://doi.org/10.1111/j.1550-7408.1970.tb05165.x
- Hosotani K., Ohkochi T., Inui H., Yokota A., Nakano Y., Kitaoka S. Photoassimilation of fatty acids, fatty alcohols and sugars by Euglena gracilis Z // Microbiology. 1988. V. 134. P. 61. https://doi.org/10.1099/00221287-134-1-61
- Garlaschi F.M., Garlaschi A.M., Lombardi A., Forti G. Effect of ethanol on the metabolism of Euglena gracilis // Plant Sci. Lett. 1974. V. 2. P. 29. https://doi.org/10.1016/0304-4211(74)90035-2
- Ogbonna J.C., Ichige E., Tanaka H. Interactions between photoautotrophic and heterotrophic metabolism in photoheterotrophic cultures of Euglena gracilis // Appl. Microbiol. Biotechnol. 2002. V. 58. P. 532. https://doi.org/10.1007/s00253-001-0901-8
- Barsanti L., Gualtieri P. Anatomy of Euglena gracilis // Handbook of algal science, technology and medicine / Ed. O. Konur. NY: Academic Press, 2020. P. 61. https://doi.org/10.1016/B978-0-12-818305-2.00004-8
- Klein S., Schiff J.A., Holowinsky A.W. Events surrounding the early development of Euglena chloroplasts: II. Normal development of fine structure and the consequences of preillumination // Developmental Biology. 1972. V. 28. P. 253. https://doi.org/10.1016/0012-1606(72)90142-X
- Cunningham Jr.F.X., Schiff J.A. Chlorophyll-protein complexes from Euglena gracilis and mutants deficient in chlorophyll b: I. Pigment composition // Plant Physiol. 1986. V. 80. P. 223. https://doi.org/10.1104/pp.80.1.223
- Barsanti L., Vismara R., Passarelli V. Paramylon (β-1,3-glucan) content in wild type and WZSL mutant of Euglena gracilis. Effects of growth conditions // J. Appl. Phycol. 2001. V. 13. P. 59. https://doi.org/10.1023/A:1008105416065
- Inui H., Ishikawa T., Tamoi M. Wax ester fermentation and its application for biofuel production // Euglena: biochemistry, cell and molecular biology / Eds. S. Schwartzbach, S. Shigeoka. Springer International Publishing AG, 2017. P. 269
- Oda Y., Miyatake K., Kitaoka S. Inability of Euglena gracilis Z to utilize nitrate, nitrite and urea as the nitrogen sources // Bulletin of the University of Osaka Prefecture. Ser. B, Agriculture and biology. 1979. V. 31. P. 43. https://doi.org/10.24729/00009403
- Watanabe F., Yoshimura K., Shigeoka S. Biochemistry and physiology of vitamins in Euglena // Euglena: biochemistry, cell and molecular biology / Eds. S. Schwartzbach, S. Shigeoka. Springer International Publishing AG, 2017. P. 65. https://doi.org/10.1007/978-3-319-54910-1_5
- Furuhashi T., Ogawa T., Nakai R., Nakazawa M., Okazawa A., Padermschoke A., Nishio K., Hirai M.Y., Arita M., Ohta D. Wax ester and lipophilic compound profiling of Euglena gracilis by gas chromatography-mass spectrometry: toward understanding of wax ester fermentation under hypoxia // Metabolomics. 2015. V. 11. P. 175. https://doi.org/10.1007/s11306-014-0687-1
- Gissibl A., Sun A., Care A., Nevalaine H., Sunna A. Bioproducts from Euglena gracilis: synthesis and applications // Frontiers in Bioengineering and Biotechnology. 2019. V. 7. P. 108. https://doi.org/10.3389/fbioe.2019.00108
- Mokrosnop V.M. Dynamics of chlorophyll and paramylon accumulation in Euglena gracilis cells at mixotrophic cultivation // Studia Biologica. 2016. V. 10. P. 141. https://doi.org/10.30970/sbi.1002.483
- Oda Y., Nakano Y., Kitaoka S. Utilization and toxicity of exogenous amino acids in Euglena gracilis // Microbiology. 1982. V. 128. P. 853. https://doi.org/10.1099/00221287-128-4-853
- Puzanskiy R.K., Shavarda A.L., Tarakhovskaya E.R., Shishova M.F. Analysis of metabolic profile of Chlamydomonas reinhardtii cultivated under autotrophic conditions // Appl. Biochem. Microbiol. 2015. V. 51. P. 83. https://doi.org/10.1134/S0003683815010135
- Birkemeyer C., Osmolovskaya N., Kuchaeva L., Tarakhovskaya E. Distribution of natural ingredients suggests a complex network of metabolic transport between source and sink tissues in the brown alga Fucus vesiculosus // Planta. 2019. V. 249. P. 377. https://doi.org/10.1007/s00425-018-3009-4
- Matsuda F., Hayashi M., Kondo A. Comparative profiling analysis of central metabolites in Euglena gracilis under various cultivation conditions // Biosci. Biotechnol. Biochem. 2011. V. 75. P. 2253. https://doi.org/10.1271/bbb.110482
- Zeng M., Hao W., Zou Y., Shi M., Jiang Y., Xiao P., Lei A., Hu Z., Zhang W., Zhao L., Wang J. Fatty acid and metabolomic profiling approaches differentiate heterotrophic and mixotrophic culture conditions in a microalgal food supplement “Euglena” // BMC Biotechnol. 2016. V. 16. P. 1. https://doi.org/10.1186/s12896-016-0279-4
- Shao Q., Hu L., Qin H., Liu Y., Tang X. Metabolomic response of Euglena gracilis and its bleached mutant strain to light // PLoS One. 2019. V. 14: e0224926. https://doi.org/10.1371/journal.pone.0224926
- Cramer M., Myers J. Growth and photosynthetic characteristics of Euglena gracilis // Archiv. Mikrobiol. 1952. V. 17. P. 384. https://doi.org/10.1007/BF00410835
- Hewitt B.R. Spectrophotometric determination of total carbohydrate // Nature. 1958. V. 182. P. 246. https://doi.org/10.1038/182246b0
- Jeffrey S.W., Humphrey G.F. New spectrophotometric equations for determining chlorophylls a, b, c1 and c2 in higher plants, algae and natural phytoplankton // Biochem. Physiol. Pflanz. 1975. V. 167. P. 191. https://doi.org/10.1016/S0015-3796(17)30778-3
- Lichtenthaler H.K., Wellburn A.R. Determinations of total carotenoids and chlorophylls a and b of leaf extracts in different solvents // Biochem. Soc. Trans. 1983. V. 11. P. 591. https://doi.org/10.1042/bst0110591
- Bolling C., Fiehn O. Metabolite profiling of Chlamydomonas reinhardtii under nutrient deprivation // Plant Physiol. 2005. V. 139. P. 1995. https://doi.org/10.1104/pp.105.071589
- Hutschenreuther A., Kiontke A., Birkenmeier G., Birkemeyer C. Comparison of extraction conditions and normalization approaches for cellular metabolomics of adherent growing cells with GC-MS // Anal. Methods. 2012. V. 4. P. 1953. https://doi.org/10.1039/c2ay25046b
- Kovats E. Gas-chromatographische charakterisierung organischer verbindungen. Teil 1: retentionsindices aliphatischer halogenide, alkohole, aldehyde und ketone // Helv. Chim. Acta. 1958. V. 41. P. 1915. https://doi.org/10.1002/hlca.19580410703
- Kopka J., Schauer N., Krueger S., Birkemeyer C., Usadel B., Bergmüller E., Dörmann P., Weckwerth W., Gibon Y., Stitt M., Willmitzer L., Fernie A.R., Steinhauser D. GMD@CSB.DB: the Golm Metabolome Database // Bioinformatics. 2005. V. 21. P. 1635. https://doi.org/10.1093/bioinformatics/bti236
- Rolfe M.D., Rice C.J., Lucchini S., Pin C., Thompson A., Cameron A.D., Alston M., Stringer M.F., Betts R.P., Baranyi J., Peck M.W., Hinton J.C. Lag phase is a distinct growth phase that prepares bacteria for exponential growth and involves transient metal accumulation // J. Bacteriol. 2012. V. 194. P. 686. https://doi.org/10.1128/JB.06112-11
- Puzanskiy R., Tarakhovskaya E., Shavarda A., Shishova M. Metabolomic and physiological changes of Chlamydomonas reinhardtii (Chlorophyceae, Chlorophyta) during batch culture development // J. Appl. Phycol. 2018. V. 30. P. 803. https://doi.org/10.1007/s10811-017-1326-9
- Ono K., Kawanaka Y., Izumi Y., Inui H., Miyatak K., Kitao S., Nakano Y. Mitochondrial alcohol dehydrogenase from ethanol-grown Euglena gracilis // J. Biochem. 1995. V. 117. P. 1178. https://doi.org/10.1093/oxfordjournals.jbchem.a124841
- Cuenca M.D.S., Roca A., Molina-Santiago C., Duque E., Armengaud J., Gómez-Garcia M.R., Ramos J.L. Understanding butanol tolerance and assimilation in Pseudomonas putida BIRD-1: an integrated omics approach // Microb. Biotechnol. 2016. V. 9. P. 100. https://doi.org/10.1111/1751-7915.12328
- Neilson A.H., Lewin R.A. The uptake and utilization of organic carbon by algae: an essay in comparative biochemistry // Phycologia. 1974. V. 13. P. 227. https://doi.org/10.2216/i0031-8884-13-3-227.1
- Perez-Garcia O., Escalante F.M.E., de-Bashan L.E., Bashan Y. Heterotrophic cultures of microalgae: Metabolism and potential products // Water research. 2011. V. 45. P. 11. https://doi.org/10.1016/J.WATRES.2010.08.037
- Khanra A., Rai M.P. Evaluation of mixotrophic cultivation of Euglena gracilis for lipid synthesis and FAME characterization towards biodiesel application // J. Sci. Ind. Res. 2018. V. 77. P. 359.
- Aral B., Kamoun P. The proline biosynthesis in living organisms // Amino Acids. 1997. V. 13. P. 189. https://doi.org/10.1007/BF01372588
- Hurlbert R.E., Rittenberg S.C. Glucose metabolism of Euglena gracilis var. bacillaris; growth and enzymatic studies // J. Protozool. 1962. V. 9. P. 170. https://doi.org/10.1111/j.1550-7408.1962.tb02602.x
- Buetow D.E. Amino acids as nitrogen sources for the growth of Euglena gracilis and Astasia longa // J. Protozool. 1966. V. 13. P. 585. https://doi.org/10.1111/j.1550-7408.1966.tb01967.x
- Kempner E.S., Miller J.H. The molecular biology of Euglena gracilis. III. General carbon metabolism // Biochemistry. 1965. V. 4. P. 2735. https://doi.org/10.1021/bi00888a025
Supplementary files









