Magnetic properties of fcc iron-nickel alloys at finite temperatures
- Authors: Melnikov N.B.1, Reser B.I.2
-
Affiliations:
- Lomonosov Moscow State University
- Mikheev Institute of Metal Physics, Ural Branch, Russian Academy of Sciences
- Issue: Vol 126, No 1 (2025)
- Pages: 30-37
- Section: ЭЛЕКТРИЧЕСКИЕ И МАГНИТНЫЕ СВОЙСТВА
- URL: https://bakhtiniada.ru/0015-3230/article/view/288520
- DOI: https://doi.org/10.31857/S0015323025010044
- EDN: https://elibrary.ru/BZYHOG
- ID: 288520
Cite item
Abstract
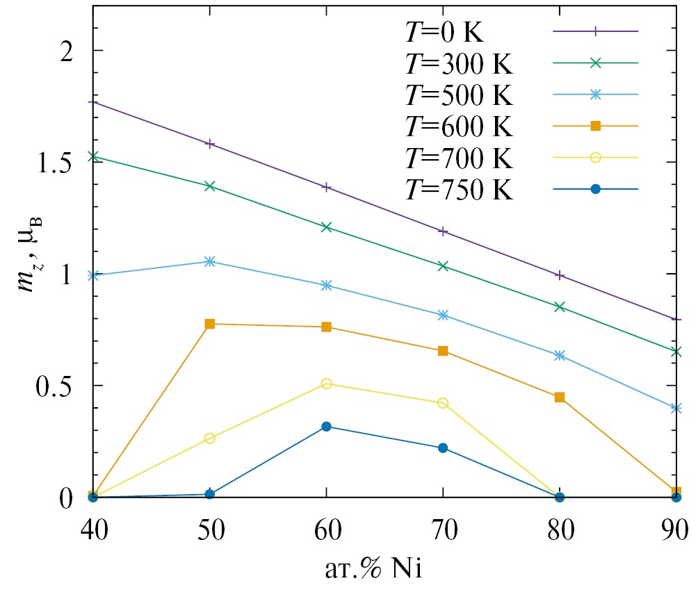
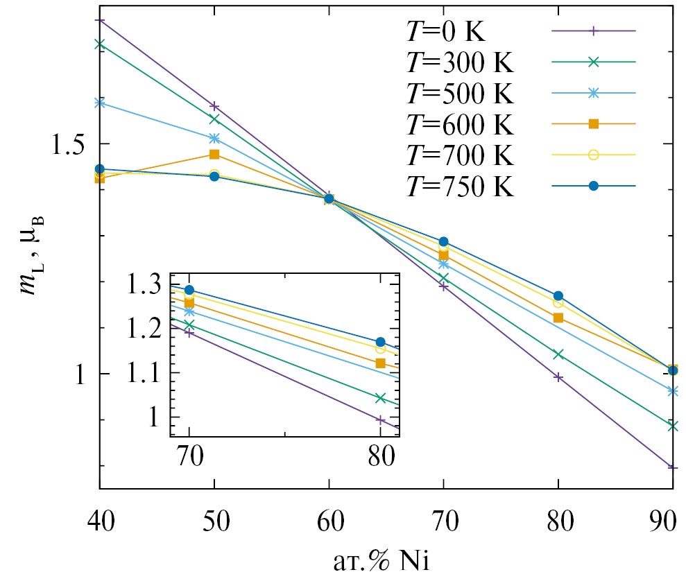
For the disordered fcc alloy FexNi1−x, we study the dependence of the Curie temperature, average and local magnetic moments on the concentration x. We show how the dependence of the average and local magnetic moments on the concentration changes with temperature. The problem is considered in the renormalized Gaussian approximation of the dynamic spin-fluctuation theory. The numerical results are in good agreement with the experiment.
Full Text
About the authors
N. B. Melnikov
Lomonosov Moscow State University
Author for correspondence.
Email: melnikov@cs.msu.ru
Russian Federation, Moscow, 119991
B. I. Reser
Mikheev Institute of Metal Physics, Ural Branch, Russian Academy of Sciences
Email: melnikov@cs.msu.ru
Russian Federation, Ekaterinburg, 620108
References
- Ebert H., Mankovsky S., Wimmer S. “Electronic structure: Metals and insulators” in Handbook of Magnetism and Magnetic Materials (Coey M. and Parkin S., eds.) Berlin: Springer, 2021. P. 1–73.
- Sharma M.K., Kumar A., Kumari K., Yadav N., Vij A., Koo B.H. Coexisting magnetic interaction, critical behavior and magnetocaloric effect at high temperature in Fe50Ni50 soft ferromagnetic alloy // J. Magn. Magn. Mater. 2024. V. 596. P. 171928.
- Swartzendruber L.J., Itkin V.P., Alcock C.B. The Fe-Ni (Iron-Nickel) System // J. Phase Equilibria, 1991. V. 12. P. 288–312.
- Xiong W., Zhang H., Vitos L., Selleby M. Magnetic phase diagram of the Fe–Ni system // Acta Mater. 2011. V. 59. P. 521–530.
- Kakehashi Y. Modern theory of magnetism in metals and alloys. Berlin: Springer, 2012.
- Poteryaev A.I., Skorikov N.A., Anisimov V.I., Korotin M.A. Magnetic properties of Fe1–xNix alloy from CPA+DMFT perspectives // Phys. Rev. B. 2016. V. 93. P. 205135.
- Crisan V., Entel P., Ebert H., Akai H., Johnson D.D., Staunton J.B. Magnetochemical origin for Invar anomalies in iron-nickel alloys // Phys. Rev. B. 2002. V. 66. P. 014416.
- Ruban A.V., Khmelevskyi S., Mohn P., Johansson B. Magnetic state, magnetovolume effects, and atomic order in Fe65Ni35 Invar alloy: A first principles study // Phys. Rev. B. 2007. V. 76. P. 014420.
- Takahashi C., Ogura M., Akai H. First-principles calculation of the Curie temperature Slater–Pauling curve // J. Phys.: Condens. Matter. 2007. V. 19. N 36. P. 365233.
- Kudrnovský J., Drchal V., Bruno P. Magnetic properties of fcc Ni-based transition metal alloys // Phys. Rev. B. 2008. V. 77. P. 224422.
- Ruban A.V. First-principles modeling of the Invar effect in Fe65Ni35 by the spin-wave method // Phys. Rev. B. 2017. V. 95. P. 174432.
- Melnikov N., Reser B. Dynamic Spin Fluctuation Theory of Metallic Magnetism. Berlin: Springer, 2018.
- Reser B.I. Temperature dependence of magnetic properties of a disordered Fe0.65Ni0.35 // Phys. Met. Metallogr. 2007. V. 103. P. 373–379.
- Melnikov N.B., Reser B.I., Grebennikov V.I. Extended dynamic spin-fluctuation theory of metallic magnetism // J. Phys.: Condens. Matter. 2011. V. 23. P. 276003.
- Paradezhenko G.V., Yudin D., Pervishko A.A. Random iron-nickel alloys: From first principles to dynamic spin fluctuation theory // Phys. Rev. B. 2021. V. 104. P. 245102.
- Melnikov N.B., Gulenko A.S., Reser B.I. Relation between magnetism and electronic structure of 3d-metal alloys in the Stoner theory and in the DSFT // Phys. Met. Metallogr. 2024. V. 125. N 1. P. 49–55.
- Paradezhenko G.V., Melnikov N.B., Reser B.I. Numerical continuation method for nonlinear system of scalar and functional equations // Comp. Math. Math. Phys. 2020. V. 60. P. 404–410.
- Reser B.I., Paradezhenko G.V., Melnikov N.B. Program suite MAGPROP 2.0. / Russian Federal Service for Intellectual Property (ROSPATENT), 2018.
- Bozorth R.M. Ferromagnetism. New York/Piscataway, NJ: Wiley-IEEE, 2nd ed. 1993.
- Ayuela A., March N.H. The magnetic moments and their long-range ordering for Fe atoms in a wide variety of metallic environments // Int. J. Quantum Chem. 2010. V. 110. P. 2725–2733.
- Slater J.C. Quantum Theory of Molecules and Solids, Vol. 4: The Self-Consistent Field for Molecules and Solids. New York: McGraw-Hill, 1974.
- Reser B.I., Rosenfeld E.V., Shipitsyn E.V. Spin correlators in the one-electron approximation applied to bcc iron // Phys. Met. Metallogr. 1990. V. 69. N 6. P. 48–57.
- White R.M. Quantum Theory of Magnetism. Berlin: Springer, 3rd ed. 2007.
- Minár J., Mankovsky S., Sipr O., Benea D., Ebert H. Correlation effects in fcc-FexNi1–x alloys investigated by means of the KKR-CPA // J. Phys.: Condens. Matter. 2014. V. 26. P. 274206.
- Crangle J., Hallam G.C. The magnetism of face-centered cubic and body-centered cubic iron-nickel alloys // Proc. R. Soc. Lond. A. 1963. V. 272. P. 119–132.
- Wijn H.P.J., ed. Magnetic Properties of Metals. 3d, 4d and 5d Elements, Alloys and Compounds. Landolt-Börnstein New Series. V. III/19a. Berlin: Springer, 1986.
- Kakehashi Y. Theory of the Invar effect in FeNi alloy // J. Phys. Soc. Jpn. 1981. V. 50. N 7. P. 2236–2245.
- Kakehashi Y. Systematic variations of magnetic properties in 3d transition metal alloys // Prog. Theor. Phys. Suppl. 1990. V. 101. P. 105–117.
- Shiga M., Yamamoto M. Magnetism and phase stability of fcc Fe-Co alloys precipitated in a Cu matrix // J. Phys.: Condens. Matter. 2001. V. 13. N 29. P. 6359.
- Glaubitz B., Buschhorn S., Brüssing F., Abrudan R., Zabel H. Development of magnetic moments in Fe1–xNix alloys // J. Phys.: Condens. Matter. 2011. V. 23. N 25. P. 254210.
- Melnikov N.B., Reser B.I., Paradezhenko G.V. Short-range order in metals above the Curie temperature // AIP Advances. 2018. V. 8. P. 101402.
Supplementary files









