Оптические резонаторы на основе градиентных пленок диоксида ванадия
- Авторы: Сыров А.А.1, Ляшко С.Д.1, Кудряшов А.Л.1, Наухацкий И.А.1, Бержанский В.Н.1, Томилин С.В.1
-
Учреждения:
- Крымский федеральный университет им. В.И. Вернадского
- Выпуск: Том 125, № 12 (2024)
- Страницы: 1494-1500
- Раздел: ЭЛЕКТРИЧЕСКИЕ И МАГНИТНЫЕ СВОЙСТВА
- URL: https://bakhtiniada.ru/0015-3230/article/view/283741
- DOI: https://doi.org/10.31857/S0015323024120049
- EDN: https://elibrary.ru/IJLPFM
- ID: 283741
Цитировать
Аннотация
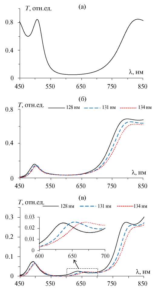
Представлены экспериментальные результаты синтеза и исследования тонких пленок поликристаллического диоксида ванадия (VO2), а также многослойных опторезонансных структур на их основе. Показана роль влияния термического отжига на структурные, электрофизические и оптические свойства пленок VO2. На основе данных пленок изготовлены фотонно-кристаллические гетероструктуры, в которых наблюдается возбуждение оптических резонансных мод типа Фабри–Перо. Исследование оптического пропускания такой структуры показало, что спектральным положением моды Фабри–Перо можно управлять, варьируя толщину градиентного оптического слоя VO2. Показано, что фазовый переход I рода “полупроводник – металл”, который имеет место в пленках VO2 и сопровождается изменением их электропроводности на 3–5 порядков величины, приводит к изменению оптических параметров как самих пленок, так и многослойных опторезонансных структур.
Полный текст
Об авторах
А. А. Сыров
Крымский федеральный университет им. В.И. Вернадского
Автор, ответственный за переписку.
Email: anatoly199824@rambler.ru
Россия, Симферополь
С. Д. Ляшко
Крымский федеральный университет им. В.И. Вернадского
Email: anatoly199824@rambler.ru
Россия, Симферополь
А. Л. Кудряшов
Крымский федеральный университет им. В.И. Вернадского
Email: anatoly199824@rambler.ru
Россия, Симферополь
И. А. Наухацкий
Крымский федеральный университет им. В.И. Вернадского
Email: anatoly199824@rambler.ru
Россия, Симферополь
В. Н. Бержанский
Крымский федеральный университет им. В.И. Вернадского
Email: anatoly199824@rambler.ru
Россия, Симферополь
С. В. Томилин
Крымский федеральный университет им. В.И. Вернадского
Email: anatoly199824@rambler.ru
Россия, Симферополь
Список литературы
- Силантьев А.В. Влияние деформации на энергетический спектр и оптические свойства фуллерена C20 в модели Хаббарда // ФММ. 2018. Т. 119. Вып. 6. С. 541–549.
- Махнев А.А., Номерованная Л.В. Анизотропия оптических свойств гексагональных манганитов RMnO3 (R = Ho, Er, Tm, Yb) // ФММ. 2013. Т. 114. Вып. 11. С. 988–996.
- Кодесс Б.Н., Сидоренко Ф.А. Анизотропия магнитной восприимчивости силицида V3Si // Физика металлов и металловедение. 2021. Т. 122. Вып. 4. С. 370–376.
- Старостенко С.Н., Розанов К.Н., Лагарьков А.Н. Электрические и магнитные свойства “модели смешения бинарных гетерогенных систем” // ФММ. 2021. Т. 122. Вып. 4. С. 347–369.
- Sangwook L., Kedar H., Fan Y., Jiawang H., Changhyun K., Joonki S., Kai L., Kevin W., Jeffrey U.J. Anomalously low electronic thermal conductivity in metallic vanadium dioxide // Science. 2017. V. 355. P. 371–374.
- Мутилин С.В., Гайдук А.Е., Яковкина Л.В., Комонов А.И., Соотс Р.А., Капогузов К.Е., Голод С.В., Принц В.Я. Электрические и оптические переключения в наноструктурах диоксида ванадия, декорированных наночастицами золота // Сибирский физич. журнал. 2023. Т. 18. Вып. 3. С. 71–82.
- Ilinskiy A.V., Nikulin E.I., Shadrin E.B. Comparative analysis of semiconductor-metal phase transition mechanisms in vanadium oxides (V2O3 and VO2) // Physics of Complex Systems. 2020. V. 1 (3). Р. 113–122.
- Неустроев И.Д., Легкова Т.К., Цымбалюк А.А., Комлев А.Е. Тонкие пленки диоксида ванадия для применения в СВЧ-ключах с электрическим управлением // Изв. вузов. Радиоэлектроника. 2023. T. 26. Вып. 3. С. 48–57.
- Кузьмин Д.А., Усик М.О., Бычков И.В., Вахитов М.Г., Клыгач Д.С. Отражение СВЧ-волн от слоя композита VO2–SiO2 в окрестности фазового перехода // Челябинский физико-математический журнал. 2023. T. 8. Вып. 2. С. 271–279.
- Cueff S., John J., Zhang Zh., Parra J., Sun J., Orobtchouk R., Ramanathan Sh., Sanchis P. VO2 nanophotonics // APL Photon. 2020. V. 5. P. 110901.
- Cakir M.C., Kocer H., Durna Y., Yildirim D.U., Ghobadi A., Hajian H., Aydin K., Kurt H., Saglam N., Ozbay E. Unveiling the optical parameters of vanadium dioxide in the phase transition region: a hybrid modeling approach // RSC Advances. 2020. V. 10. P. 29945.
- Grandi F., Amaricci A., Fabrizio M. Unraveling the Mott-Peierls intrigue in vanadium dioxide // Phys. Rev. Research. 2020. V. 2. P. 013298.
- Алиев Р.А., Андреев В.Н., Капралова В.М., Климов В.А., Соболев А.И., Шадрин Е.Б. Влияние размера зерен на фазовый переход металл–полупроводник в тонких поликристаллических пленках диоксида ванадия // ФТТ. 2006. Т. 48. Вып. 5. С. 874–879.
- Gnawali R., Haus J.W., Reshetnyak V., Banerjee P.P., Evans D.R. Optical properties of titanium dioxide — vanadium dioxide multilayer thin-film structures // IEEE Research and Applications of Photonics In Defense Conference. 2018. Р. 91–92.
- Певцов А.Б., Грудинкин С.А., Поддубный А.Н., Каплан С.Ф., Курдюков Д.А., Голубев В.Г. Переключение фотонной запрещенной зоны в трехмерных пленочных фотонных кристаллах на основе композитов опал − VO2 в спектральной области 1.3 − 1.6 мкм // Физика и техника полупроводников. 2010. Т. 44. Вып. 12. С. 1585–1590.
- Scotognella F. Vanadium oxide metal-insulator phase transition in different types of one-dimensional photonic microcavities // Front. Photonics. 2023. V. 4. Р. 1081521.
- Bruckner W., Opperman H., Reichelt W.F., Terukov E.I., Tschudnovskii F.A. Vanadium Dioxide. Berlin: Akademie-Verlag, 1994. V. 1983. 252 p.
- Ho D.J., Seob H.S., Hee K.K., Woo J.P., Hosun L. Electrical and optical properties of VO2 thin films grown on various sapphire substrates by using RF sputtering deposition // Journal of the Korean Physical Society. 2016. V. 69 (12). Р. 1787–1797.
- Tomilin S.V., Berzhansky V.N., Yanovsky A.S., Tomilina O.A. Features of the Electrical Conductivity of Fe, Ni, Ti, and Pt Nanoisland Films: Hysteresis and Ion-Field Processes // J. Surf. Investigation: X-ray, Synchrotron and Neutron Techniques. 2016. V. 10 (4). P. 868.
Дополнительные файлы







