Магнитные и магнитокалорические свойства высокоэнтропийного сплава GdTbDyHoEr в объемном и быстрозакаленном состояниях
- Авторы: Свалов А.В.1, Незнахин Д.С.1, Архипов А.В.1, Андреев С.В.1, Русалина А.С.1, Медведев А.И.2, Бекетов И.В.1,2, Пасынкова А.А.1,3, Курляндская Г.В.1
-
Учреждения:
- Уральский федеральный университет
- Институт электрофизики УрО РАН
- Институт физики металлов УрО РАН
- Выпуск: Том 125, № 12 (2024)
- Страницы: 1487-1493
- Раздел: ЭЛЕКТРИЧЕСКИЕ И МАГНИТНЫЕ СВОЙСТВА
- URL: https://bakhtiniada.ru/0015-3230/article/view/283740
- DOI: https://doi.org/10.31857/S0015323024120037
- EDN: https://elibrary.ru/IJPGMU
- ID: 283740
Цитировать
Аннотация
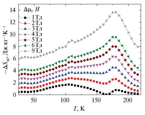
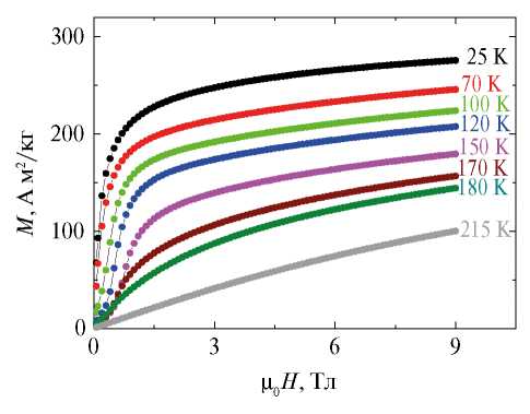
Высокоэнтропийный магнитный сплав GdTbDyHoEr в объемном состоянии был получен методом индукционной плавки и в виде лент методом быстрой закалки из расплава. Проанализированы особенности структуры, магнитных и магнитокалорических свойств данных материалов. Оба состояния сплава характеризуются наличием гексагональной структуры. Изменение магнитной части энтропии DSM было определено по данным измерений магнитных изотерм на основе соотношения Максвелла. Максимальная величина DSM наблюдается при температуре 175 K и для амплитуды изменения магнитного поля 2 Tл составляет примерно 1.8 и 2.6 Дж/кг×К для объемного и быстрозакаленного состояний сплава, соответственно. С учетом полученных параметров магнитокалорического эффекта данные материалы можно считать перспективными для приложений в устройствах магнитного охлаждения.
Полный текст
Об авторах
А. В. Свалов
Уральский федеральный университет
Автор, ответственный за переписку.
Email: andrey.svalov@urfu.ru
Россия, Екатеринбург
Д. С. Незнахин
Уральский федеральный университет
Email: andrey.svalov@urfu.ru
Россия, Екатеринбург
А. В. Архипов
Уральский федеральный университет
Email: andrey.svalov@urfu.ru
Россия, Екатеринбург
С. В. Андреев
Уральский федеральный университет
Email: andrey.svalov@urfu.ru
Россия, Екатеринбург
А. С. Русалина
Уральский федеральный университет
Email: andrey.svalov@urfu.ru
Россия, Екатеринбург
А. И. Медведев
Институт электрофизики УрО РАН
Email: andrey.svalov@urfu.ru
Россия, Екатеринбург
И. В. Бекетов
Уральский федеральный университет; Институт электрофизики УрО РАН
Email: andrey.svalov@urfu.ru
Россия, Екатеринбург; Екатеринбург
А. А. Пасынкова
Уральский федеральный университет; Институт физики металлов УрО РАН
Email: andrey.svalov@urfu.ru
Россия, Екатеринбург; Екатеринбург
Г. В. Курляндская
Уральский федеральный университет
Email: andrey.svalov@urfu.ru
Россия, Екатеринбург
Список литературы
- Tishin A.M., Spichkin Y.I. The Magnetocaloric Effect and Its Applications. Series in Condensed Matter Physics. Institute of Physics Publishing, 2003.
- Соколовский В.В., Мирошкина О.Н., Бучельников В.Д., Марченков В.В. Магнитокалорический эффект в металлах и сплавах // ФММ. 2022. Т. 123. № 4. С. 339–343.
- Кашин С.Н., Коплак О.В., Валеев Р.А., Пискорский В.П., Бурканов М.В., Моргунов Р.Б. Влияние механической деформации на магнитные свойства и магнитокалорический эффект в пленках Gd // ФТТ. 2023. Т. 65. Вып. 5. С. 782–789.
- Соколовский В.В., Загребин М.А., Бучельников В.Д., Марченков В.В. Современные магнитокалорические материалы: существующие проблемы и перспективы исследований // ФММ. 2023. Т. 124. № 11. С. 1019–1024.
- Панкратов Н.Ю., Терешинa И.С., Никитин С.А. Магнитокалорический эффект в редкозем ельных магнетиках // ФММ. 2023. Т. 124. № 11. С. 1093–1101.
- Taskaev S., Skokov K., Khovaylo V., Ulyanov M., Bataev D., Karpenkov D., Radulov I., Dyakonov A., Gutfleisch O. Magnetocaloric effect in cold rolled foils of Gd100-xInx (x = 0, 1, 3) // J. Magn. Magn. Mater. 2018. V. 459. P. 46–48.
- Рогачев А.С. Структура, стабильность и свойства высокоэнтропийных сплавов // ФММ. 2020. Т. 121. № 8. С. 807–841.
- Yuan Y., Wu Y., Tong X., Zhang H., Wang H., Liu X.J., Ma L., Suo H.L., Lu Z.P. Rare-earth high-entropy alloys with giant magnetocaloric effect // Acta Mater. 2017. V. 125. P. 481–489.
- Андреенко А.С., Белов К.П., Никитин С.А., Тишин А.М. Магнитокалорические эффекты в редкоземельных магнетиках // УФН. 1989. Т. 158. Вып. 4. С. 553–579.
- Gimaev R.R., Zverev V.I., Mello V.D. Magnetic properties of single-crystalline terbium and holmium — Experiment and modeling // J. Magn. Magn. Mater. 2020. V. 505. P. 166781.
- Zverev V.I., Gimaev R.R., Komlev A.S., Kovalev B.B., Queiroz F.G., Mello V.D. Magnetic properties of dysprosium — Experiment and modeling // J. Magn. Magn. Mater. 2021. V. 524. P. 167593.
- Uporov S.A., Estemirova S.Kh., Sterkhov E.V., Balyakin I.A., Rempel A.A. Magnetocaloric effect in ScGdTbDyHo high-entropy alloy: Impact of synthesis route // Intermetallics. 2022. V. 151. P. 107678.
- Uporov S.A., Sterkhov E.V., Balyakin I.A., Bykov V.A., Sipatov I.S., Rempel A.A. Synthesis and magnetic properties of some monotectic composites containing ultra-dispersed particles of YGdTbDyHo high-entropy alloy // Intermetallics. 2024. V. 165. P. 108121.
- Wang L., Lu Z., Guo H., Wu Y., Zhang Y., Zhao R., Jiang S., Liu X., Wang H., Fu Z., Zhao J., Ma D., Lu Z. Multi-principal rare-earth Gd-Tb-Dy-Ho-Er alloys with high magnetocaloric performance near room temperature // J. Alloys Compd. 2023. V. 960. P. 170901.
- Kuz’min M.D. Factors limiting the operation frequency of magnetic refrigerators // Appl. Phys. Lett. 2007. V. 90. P. 251916.
- Taskaev S.V., Buchelnikov V.D., Pellenen A.P., Kuz’min M.D., Skokov K.P., Karpenkov D.Yu., Bataev D.S., Gutfleisch O. Influence of thermal treatment on magnetocaloric properties of Gd cold rolled ribbons // J. Appl. Phys. 2013. V. 113. P. 17A933.
- Kitanovski A. Energy applications of magnetocaloric materials // Adv. Energy Mater. 2020. V. 10. P. 1903741.
- Шишкин Д.А., Волегов А.С., Андреев С.В., Баранов Н.В. Магнитное состояние и магнитотепловые свойства быстрозакаленных сплавов Gd75M25 (M = Co, Ni) // ФММ. 2012. Т. 113. № 5. С. 485–491.
- Svalov A.V., Andreev S.V., Larrañaga A., Orue I., Kurlyandskaya G.V. Rapidly quenched non-strained nanocrystalline Gd ribbons: Structural features and magnetic properties // J. Magn. Magn. Mater. 2019. V. 490. P. 165529.
- Zvonov A.I., Pankratov N.Yu., Karpenkov D.Yu., Smarzhevskaya A.I., Karpenkov A.Yu., Nikitin S.A. The change of crystallite sizes and magnetocaloric effect in rapidly quenched dysprosium // Phys. Status Solidi C. 2014. V. 11. № 5–6. P. 1149–1154.
- Curzon A.E., Chlebek H.G. The observation of face centred cubic Gd, Tb, Dy, Ho, Er and Tm in the form of thin films and their oxidation // J. Phys. F: Metal Phys. 1973. V. 3. P. 1–5.
- Никитин С.А. Магнитные свойства редкоземельных металлов и их сплавов. М.: Изд-во МГУ, 1989. 247 с.
- Gimaev R.R., Komlev A.S., Davydov A.S., Kovalev B.B., Zverev V.I. Magnetic and electronic properties of heavy lanthanides (Gd, Tb, Dy, Er, Ho, Tm) // Crystals. 2021. V. 11. Р. 82.
- Zhu W.H., Ma L., He M.F., Lu S.F., Li Z.K., Rao G.H., Li L., Li X.M., Yin C.Q. Magnetic properties and magnetocaloric effect of GdTbHoEr-based high-entropy alloy ribbons // J. Mater. Sci: Mater. Electron. 2022. V. 33. P. 25930–25938.
Дополнительные файлы










