Calorimetric Studies of Phase Transformations in the La1 – xYxMn2Si2 System
- Authors: Stashkova L.A.1, Gerasimov E.G.1,2, Mushnikov N.V.1,2
-
Affiliations:
- M.N. Mikheev Institute of Metal Physics of the Ural Branch of the Russian Academy of Sciences
- Ural Federal University
- Issue: Vol 125, No 4 (2024)
- Pages: 460-466
- Section: ЭЛЕКТРИЧЕСКИЕ И МАГНИТНЫЕ СВОЙСТВА
- URL: https://bakhtiniada.ru/0015-3230/article/view/267550
- DOI: https://doi.org/10.31857/S0015323024040112
- EDN: https://elibrary.ru/WQKGNV
- ID: 267550
Cite item
Full Text
Abstract
Differential scanning calorimetry (DSC) is used to determine the magnetic phase transformation temperatures of the La1 – xYxMn2Si2 (x = 0–1) alloys. For the compositions with х from 0 to 0.3, the temperature dependences of DSC signal exhibit λ-like endothermic effects observed near 300 K, which are related to the magnetic phase transition from the ferromagnetic to layered antiferromagnetic structure, and weak anomalies, which are observed in a temperature range of from 458 K for the composition with х = 0 to 323 К for the composition with х = 0.3 upon disordering of the layered antiferromagnetic structure. A clear endothermic peak corresponding to the disordering of interplane antiferromagnetic layered structure was found for the YMn2Si2. The data obtained are used to construct the magnetic phase diagram of the La1–xYxMn2Si2 system in a temperature range of 270–600 К. The differential scanning calorimetry is shown can be successfully used for the determination of temperatures of various magnetic phase transformations in rare-earth intermetallic compounds.
Full Text
ВВЕДЕНИЕ
Интерметаллические соединения RM2X2 (R – редкоземельный элемент или Y; M – 3d-, 4d- или 5d-переходный металл; X – Si или Ge) кристаллизуются в объемно-центрированную тетрагональную структуру типа ThCr2Si2 (пространственная группа I4/mmm) [1]. В этой структуре моноатомные слои различных элементов укладываются вдоль кристаллографической оси c в строгой последовательности -M–X–R–X-M-. Считается, что слоистая структура ответственна за широкое разнообразие физических свойств, присущих этим соединениям [2–4]. На основе магнитных измерений RM2X2 установлено, что упорядочение атомов R, обладающих магнитными моментами, возникает при низкой температуре, обычно менее 60 К [5]. Среди всех M-элементов в данных соединениях только марганец несет магнитный момент. Типичные температуры магнитного упорядочения Mn составляют 300–500 К. Если расстояние между ионами марганца в слое оказывается больше некоторого критического значения dc ≈ 0.285 нм, в подрешетке Mn наблюдается ферромагнитный порядок, а при меньших расстояниях – антиферромагнитный [6, 7]. В соединениях с кремнием RMn2Si2 ферромагнитное упорядочение наблюдается только для R = La, тогда как для всех остальных R – антиферромагнитное упорядочение при температурах, когда подрешетка R разупорядочена [6]. Замещение немагнитного La немагнитным Y позволяет плавно изменять межатомные расстояния и тем самым следить за трансформацией магнитных структур, возникающих исключительно в подрешетке Mn.
Изучение структуры и магнитных свойств La1-xYxMn2Si2 показало, что при изменении х в этой системе реализуется непрерывный ряд твердых растворов со структурой ThCr2Si2 [8]. При концентрации иттрия x < 0.2 наблюдается ферромагнитный порядок, при x > 0.2 – антиферромагнитный. Магнитное поведение La0.8Y0.2Mn2Si2 предполагает наличие спин-стекольного состояния, сопровождающегося изменением знака межслойного обменного взаимодействия при изменении температуры [8, 9].
Методом дифракции нейтронов в системе La1-xYxMn2Si2 обнаружены четыре различные магнитоупорядоченные структуры, схематически изображенные на рис. 1 [10].
Рис. 1. Магнитные структуры соединений (a) LaMn2Si2 при T < 310 K, (б) YMn2Si2, (в) La0.7Y0.3Mn2Si2 и (г) LaMn2Si2 при T > 310 K по данным работы [10]. Большие сферы – атомы La и Y, маленькие сферы – атомы Mn. Атомы Si не показаны
Соединение LaMn2Si2 при T<310 K имеет скошенную ферромагнитную структуру с ферромагнитной компонентой вдоль оси с и антиферромагнитной компонентой в базисной плоскости – “ferromagnetic canted”, Fmc, согласно терминологии, введенной в работе [11] (рис. 1a). В интервале температур от 310 до 460 K в этом соединении реализуется антиферромагнитная слоистая структура, “antiferromagnetic layered”, AFl (рис. 1г) [12]. В соединении YMn2Si2 ниже температуры Нееля TN = 510–515 K все атомы Mn в слое упорядочены ферромагнитно коллинеарно вдоль с-оси, в то время как магнитные моменты соседних слоев Mn ориентированы в противоположные стороны. Такая структура получила название “antiferromagnetic interplane layered”, AFil (рис. 1б). В области промежуточных составов при значениях x от 0.2 до 0.4 обнаружена антиферромагнитная структура “antiferromagnetic canted”, AFmc, с антиферромагнитными компонентами как вдоль с-оси, так и в базисной плоскости (рис. 1в), которая для составов вблизи x = 0.2 сосуществует с ферромагнитной структурой Fmc [13].
Магнитные фазовые переходы между различными магнитными структурами могут происходить при изменении концентрации, температуры или магнитного поля. Обычно в области таких переходов наблюдаются сильные эффекты в поведении электросопротивления [14, 15], магнитострикции [15, 16], магнитотепловых свойств [17, 18], что привлекательно для практических приложений. Поэтому знание точной температуры переходов имеет важное значение для практики. Температуру или критическое поле перехода между антиферромагнитной и ферромагнитной фазами можно легко определить, используя обычные магнитные измерения. Но фазовые переходы между различными антиферромагнитными фазами или между антиферромагнитной и парамагнитной фазами очень слабо проявляются в магнитных измерениях. Наиболее сложно определять температуру Нееля TN фазы AFl. При измерении высокотемпературной магнитной восприимчивости обнаруживается лишь слабая аномалия в области TN на температурных зависимостях обратной магнитной восприимчивости [5, 19]. Исследования магнитной нейтронографии [12, 13, 20] и эффекта Мессбауэра [21–23] позволяют однозначно идентифицировать наличие магнитоупорядоченного или неупорядоченного состояния, однако эти методы трудоемки и финансово затратны. Небольшие аномалии вблизи TN были обнаружены при исследовании температурных зависимостей электросопротивления [5, 24] и теплового расширения [5, 25]. В работе [26] при исследовании температурной зависимости теплоемкости SmMn2Ge2 были обнаружены два пика, соответствующие переходам ферромагнетик – антиферромагнетик и антиферромагнетик – парамагнетик. Следовательно, эти переходы сопровождаются тепловыми эффектами.
Дифференциальная сканирующая калориметрия (ДСК) является наиболее простым и легко доступным методом определения тепловых аномалий, возникающих в материале в области структурных и магнитных фазовых переходов. В то же время в литературе найдены единичные работы, содержащие калориметрические исследования соединений RMn2X2 [3, 27–29]. Для того чтобы восполнить этот пробел и установить чувствительность калориметрических методов для определения температур магнитных фазовых переходов, в настоящей работе проведен ДСК-анализ интерметаллидов La1-xYxMn2Si2 (x = 0–1) в широком интервале температур.
ОБРАЗЦЫ И МЕТОДИКА ЭКСПЕРИМЕНТА
Сплавы La1-xYxMn2Si2 (x = 0, 0.15, 0.2, 0.25, 0.26, 0.27, 0.3 и 1) были приготовлены из чистых исходных компонент методом индукционной плавки в алундовых тиглях в атмосфере аргона. Для получения гомогенного состояния образцы отжигали в течение 1 недели при температуре 1000°C в атмосфере аргона с последующей закалкой в воду.
Данные по дифференциальной сканирующей калориметрии были получены с помощью прибора синхронного термического анализа STA 449 F3 Jupiter (Netzsch) в атмосфере азота особой чистоты (99.9996%) при нагреве в интервале температур 270 – 600 К со скоростью 5 и 10 K/мин. Измерения проводили на поликристаллических образцах в виде одного куска сплава массой ~50 мг с плоской поверхностью для обеспечения теплового контакта с дном тигля, а также на порошковых образцах, что позволяло увеличить массу навески до 70–100 мг и увеличить абсолютное значение теплового эффекта. Обработку экспериментальных данных проводили с использованием программного пакета NETZSCH Proteus Analysis®. Калибровка прибора по температуре и чувствительности проведена по точкам плавления индия (429.6 K), олова (504.9 К), висмута (544.4 K) и цинка (692.5 К).
РЕЗУЛЬТАТЫ И ОБСУЖДЕНИЕ
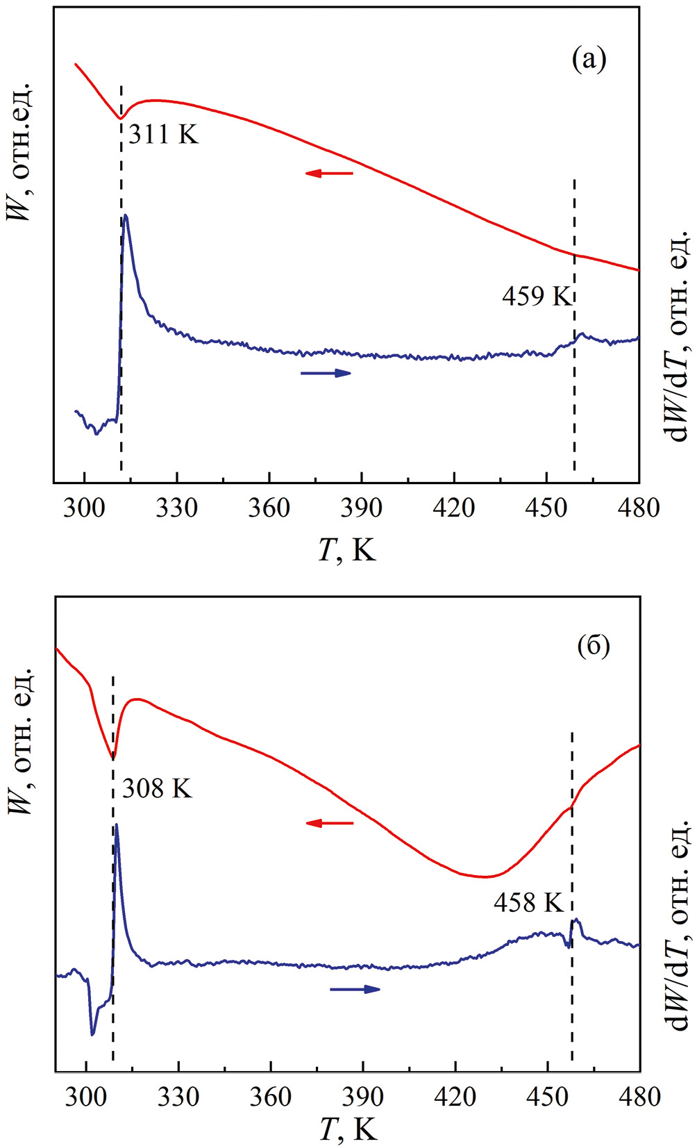
Из литературных данных известно, что в соединении LaMn2Si2 магнитный фазовый переход между ферромагнитной структурой Fmc и плоскостной антиферромагнитной структурой AFl происходит при температуре Tc = 303–310 K [5, 9, 30], а разупорядочение структуры AFl наблюдается при TN = 470±10 K [10, 23, 25]. На рис. 2а приведена кривая ДСК (поток тепла W в зависимости от температуры Т), полученная при сканировании образца LaMn2Si2 в форме одного куска в корундовом тигле со скоростью 10 К/мин. Тепловой поток W при температуре около 311 К испытывает четко выраженную эндотермическую λ-образную аномалию, характерную для фазовых переходов 2-го рода. При детальном рассмотрении обнаруживается еще одна аномалия вблизи 460 К, которая может быть связана с тепловым эффектом в TN. Наглядно эту аномалию можно видеть на температурной зависимости первой производной от теплового потока dW/dT(T), также приведенной на рис. 2а.
Рис. 2. Кривые ДСК и первые производные ДСК-сигнала по температуре соединения LaMn2Si2: (а) образец в виде куска, корундовый тигель, скорость нагрева 10 К/мин, (б) порошковый образец, тигель Pt/Rh, скорость нагрева 5 К/мин
Чтобы более четко продемонстрировать тепловой эффект при температуре Нееля, были предприняты попытки использования порошковых образцов большей массы, тигля из сплава платина-родий и уменьшения скорости съемки. На рис. 2б показаны кривые ДСК для порошкового образца, нагреваемого в Pt/Rh тигле со скоростью 5 К/мин. Из сравнения с данными рис. 2а видно, что λ-образный эндотермический пик вблизи Тс стал более узким и интенсивным, абсолютная величина теплового эффекта превращения увеличилась от 0.3 до 0.5 Дж/г, а температура минимума сместилась в область более высоких температур, до 308 К. Эффект смещения эндотермического пика обусловлен наличием термического запаздывания – отставания температуры образца от температуры нагревателя [31, 32], которое оказывается тем больше, чем больше скорость нагрева.
Широкий минимум на кривой W(T) вблизи температуры 430 К (рис. 2б) является приборной базовой линией; он наблюдается на кривой ДСК пустого Pt/Rh тигля и не связан с состоянием образцов. При использовании корундового тигля данная аномалия отсутствует.
Высокотемпературный минимум при температуре Нееля 458 К, хотя и остается слабым, все же более отчетливо проявляется на зависимости первой производной сигнала ДСК от температуры (см. рис. 2б). Таким образом, использование порошкового образца, Pt/Rh тигля и уменьшение скорости нагрева позволяет увеличить абсолютную величину теплового эффекта превращения и зафиксировать слабые пики, связанные с магнитными фазовыми переходами. С учетом экспериментально определенных оптимальных условий съемки кривых ДСК, измерения остальных исследуемых составов были проведены на порошковых образцах со скоростью сканирования 5 К/мин с использованием Pt/Rh тигля.
На рис. 3 приведены Кривые ДСК порошковых образцов La1-xYxMn2Si2 с x = 0.15, 0.20, 0.25, 0.26, 0.27 и 1. На всех кривых кроме x = 1 наблюдается эндотермический минимум при температуре Тс фазового перехода ферромагнетик–антиферромагнетик. Абсолютная величина теплового эффекта данных превращений составляет 0.4–0.7 Дж/г, что существенно меньше величин изменения энтальпии при структурных фазовых переходах 1-го рода. Согласно результатам ДСК, Tс незначительно уменьшается с ростом концентрации иттрия от 305 К для х = 0.15 до 297 К для х = 0.27.
Рис. 3. Кривые ДСК-соединений La1-xYxMn2Si2 (x = 0.15–1). Штрихами показаны температуры магнитных фазовых переходов, определенные из зависимостей dW/dT(T)
Магнитный фазовый переход антиферромагнетик-парамагнетик для составов с концентрацией иттрия от 0.15 до 0.27 практически не проявляется на зависимостях W(T). Однако на зависимостях первой производной от теплового потока dW/dT(T) можно выделить слабые пики, которые могут быть связаны с тепловыми эффектами при ТN. Положение этих пиков на температурной шкале показано соответствующими отметками на рис. 3. В соединении с x = 0.15 температура Нееля составляет 437 К, и ее значение уменьшается до 363 К с ростом концентрации иттрия в сплаве до x = 0.27.
На кривой ДСК соединения YMn2Si2 наблюдается лишь один четко выраженный λ-образный эндотермический пик при температуре 515 К. Форма пика соответствует фазовому переходу 2-го рода. Согласно данным магнитных измерений [8], нейтронографии [10] и эффекта Мессбауэра [23] эта температура практически совпадает с температурой TN разупорядочения антиферромагнитной фазы AFil. Тепловой эффект превращения фазы AFil в парамагнитную составляет –1.5 Дж/г.
Для практических приложений особенно важны составы вблизи трикритической точки на фазовой диаграмме, в которой сходятся линии магнитных фазовых переходов ферромагнетик–антиферромагнетик, ферромагнетик–парамагнетик и антиферромагнетик-парамагнетик. В области трикритической точки магнитная структура оказывается наиболее чувствительной к приложению магнитного поля [33], что позволяет в относительно малых полях получать значительные магнитокалорические и магнитоупругие эффекты. Согласно магнитной фазовой диаграмме La1-xYxMn2Si2, опубликованной в [23], трикритическая точка примерно соответствует концентрации иттрия x = 0.3.
Кривые ДСК и первые производные сигнала ДСК по температуре соединения La0.7Y0.3Mn2Si2 приведены на рис. 4. На зависимости W(T) видны слабые перегибы в области температур 295–330 К. На температурной зависимости первой производной от теплового потока dW/dT(T) эти перегибы проявляются в форме двух пиков, что позволяет выделить две температуры перехода: 299 К и 323 К. Логично было бы пик при 299 К связать с магнитным фазовым переходом между ферромагнитной и антиферромагнитной фазами. Однако данные магнитных измерений [8, 34] однозначно указывают на антиферромагнитное состояние La0.7Y0.3Mn2Si2 во всем температурном интервале магнитного упорядочения. Учитывая данные нейтронной дифракции [20], можно предположить, что пик при 299 К соответствует переходу из фазы AFil в фазу AFl (либо AFmc), а пик при 323 К – переходу из фазы AFl (либо AFmc) в парамагнитную фазу. Для уточнения типа магнитных структур необходимо проведение нейтрон-дифракционного исследования. Следует отметить, что переход между двумя антиферромагнитными фазами ранее не фиксировали в интерметаллидах RMn2X2.
Рис. 4. Кривые ДСК и первые производные ДСК-сигнала по температуре соединения La0.7Y0.3Mn2Si2
Магнитная фазовая диаграмма La1-xYxMn2Si2, полученная по результатам исследования ДСК в данной работе, приведена на рис. 5. На этом же рисунке представлены значения температур магнитных фазовых переходов, полученных из измерений магнитной восприимчивости и намагниченности [8, 15], нейтронной дифракции [10, 13, 20] и эффекта Мессбауэра [23]. Видно, что определенные нами значения температур перехода из ферромагнитной фазы Fmc в антиферромагнитную AFl при x < 0.3, а также температуры разупорядочения антиферромагнитных фаз находятся в разумном согласии с результатами предыдущих исследований. Небольшое отличие температур Tc, определенных из исследования эффекта Мессбауэра, по-видимому, связано с тем, что мессбауэровские эксперименты были выполнены на образцах, в которых часть марганца была замещена изотопом 57Fe.
Рис. 5. Магнитная фазовая диаграмма системы La1-xYxMn2Si2, построенная на основе исследования ДСК, а также на основе литературных данных по магнитной восприимчивости [8, 15], нейтронной дифракции [10, 13, 20] и эффекта Мессбауэра [23]
Часть магнитной фазовой диаграммы при x < 0.3 и T < 300 К построена только качественно на основе литературных данных и нуждается в уточнении. Сосуществование ферро- и антиферромагнитной фаз, вероятно, связано с локальной флуктуацией состава сплава и чрезвычайно высокой чувствительностью обменных взаимодействий к изменению межатомного расстояния. Наличие в образцах обменных взаимодействий разного знака может приводить к возникновению состояния спинового стекла и/или фрустрированного магнитного состояния, что проявляется в магнитных измерениях [8, 9], а также приводит к уширению мессбауэровских спектров [23]. Для понимания причин изменений обменных взаимодействий в соединениях La1-xRxMn2Si2 оказываются полезными и исследования электронной структуры с использованием фотоэмиссионной спектроскопии [35]. Для уточнения магнитной фазовой диаграммы необходимо проведение измерений магнитных свойств и нейтронной дифракции составов La1-xYxMn2Si2 вблизи трикритической точки.
ЗАКЛЮЧЕНИЕ
В работе впервые предпринята попытка определения температур магнитных фазовых переходов в соединениях RMn2Si2 методом дифференциальной сканирующей калориметрии (ДСК). В качестве объекта исследования выбрана система La1-xYxMn2Si2, в которой ранее методом дифракции нейтронов были обнаружены четыре магнитоупорядоченные фазы. Имеющиеся данные о температурном интервале стабильности этих структур позволили связать отдельные пики на кривых ДСК с магнитными фазовыми переходами в системе.
Установлено, что температуры фазовых переходов от скошенной ферромагнитной структуры Fmc к слоистой антиферромагнитной структуре AFl и от межплоскостной антиферромагнитной слоистой структуры AFil в парамагнитное состояние очень хорошо могут быть определены в экспериментах ДСК. На кривых ДСК наблюдаются ярко выраженные λ-образные эндотермические пики. Абсолютная величина теплового эффекта при этих переходах составляет 0.4–1.5 Дж/г.
Магнитные фазовые переходы из слоистой антиферромагнитной структуры AFl в парамагнитное состояние для составов с x < 0.3 практически не проявляются на температурных зависимостях сигнала ДСК, но достаточно четко прослеживаются на зависимостях первой производной от теплового потока по температуре.
Для состава La0.7Y0.3Mn2Si2, наиболее близко по концентрации расположенного к трикритической точке фазовой диаграммы, на температурной зависимости первой производной от теплового потока обнаружены два близко расположенных пика, один из которых предположительно может быть связан с фазовым переходом между двумя антиферромагнитными фазами: AFil и AFl (либо AFmc). Такие переходы ранее не регистрировали в соединениях RMn2Si2.
Магнитная фазовая диаграмма La1-xYxMn2Si2, полученная по результатам исследования ДСК, совпадает с фазовыми диаграммами, построенными по литературным данным. Следовательно, дифференциальная сканирующая калориметрия является легко доступным методом, который может быть использован для точного определения температур магнитных фазовых переходов, наблюдаемых в интерметаллидах RMn2Si2.
Исследования проведены за счет гранта Российского научного фонда (проект № 23-12-00265, https://rscf.ru/project/23-12-00265/, ИФМ УрО РАН). Калориметрические исследования выполнены с использованием оборудования ЦКП “Испытательный центр нанотехнологий и перспективных материалов” ИФМ УРО РАН.
Авторы данной работы заявляют, что у них нет конфликта интересов.
About the authors
L. A. Stashkova
M.N. Mikheev Institute of Metal Physics of the Ural Branch of the Russian Academy of Sciences
Author for correspondence.
Email: lshreder@imp.uran.ru
Russian Federation, Ekaterinburg
E. G. Gerasimov
M.N. Mikheev Institute of Metal Physics of the Ural Branch of the Russian Academy of Sciences; Ural Federal University
Email: lshreder@imp.uran.ru
Russian Federation, Ekaterinburg; Ekaterinburg
N. V. Mushnikov
M.N. Mikheev Institute of Metal Physics of the Ural Branch of the Russian Academy of Sciences; Ural Federal University
Email: lshreder@imp.uran.ru
Russian Federation, Ekaterinburg; Ekaterinburg
References
- Ban Z., Sikirca M. The crystal structure of ternary silicides ThM2Si2 (M = Cr, Mn, Fe, Co, Ni and Cu) // Acta Cryst. 1965. V. 18. P. 594–599.
- Shatruk M. ThCr2Si2 structure type: the “perovskite” of intermetallics // J. Solid State Chem. 2019. V. 272. P. 198–209.
- Fang C., Li G., Wang J., Hutchison W.D., Ren Q.Y., Deng Z., Ma G., Dou S., Campbell S.J., Cheng Z. New insight into magneto-structural phase transitions in layered TbMn2Ge2-based compounds. Sci. Rep. 2017. V. 7. P. 45814–14.
- Sapkota A., Ueland B.G., Anand V.K., Sangeetha N.S., Abernathy D.L., Stone M.B., Niedziela J.L., Johnston D.C., Kreyssig A., Goldman A.I., McQueeney R.J. Effective one-dimensional coupling in the highly frustrated square-lattice itinerant magnet CaCo2-yAs2 // Phys. Rev. Lett. 2017. V. 119. P. 147201–5.
- Szytuła A., Leciejewicz J. Magnetic properties of ternary intermetallic compounds of the RT2X2 type // Handbook on the physics and chemistry of rare earths / Ed. by K.A. Gschneidner, Jr. and L. Eyring. Elsevier Sci. Publ. Amsterdam. 1989. V. 12. Ch. 83. P. 133–211.
- Szytuła A. Magnetic properties of ternary intermetallic rare-earth compounds // Handbook of magnetic materials / Ed. by K.H.J. Buschow. Elsevier Sci. Publ. Amsterdam. 1991. V. 6. Ch. 2. P. 85–180.
- Baranov N.V., Gerasimov E.G., Mushnikov N.V. Magnetism of compounds with a layered crystal structure // Phys. Met. Metal. 2011. V. 112. No. 7. P. 711–744.
- Sampathkumaran E.V., Chaughule R.S., Gopalakrishnan K.V., Malik S.K., Vijayaraghavan R. Magnetic properties of the La1-xYxMn2Si2 system // J. Less-Common Met. 1983. V. 92. P. 35–40.
- Chaughule R.S., Radhakrishnamurty C., Sampathkumaran E.V., Malik S.K., Vijayaraghavan R. AC magnetic susceptibility and hysteresis studies on La1-xYxMn2Si2 intermetallic compounds // Mat. Res. Bull. 1983. V. 18. P. 817–821.
- Ijjaali I., Venturini G., Malaman B., Ressouche E. Neutron diffraction study of the La1-xYxMn2Si2 solid solution (0 ≤ x ≤ 1) // J. Alloys Compounds. 1998. V. 266. P. 61–70.
- Venturini G., Welter R., Ressouche E., Malaman B. Neutron diffraction study of Nd0.35La0.65Mn2Si2: A SmMn2Ge2-like magnetic behaviour compound // J. Magn. Magn. Mater. 1995. V. 150. P. 197–212.
- Hofmann M., Campbell S.J., Kennedy S.J., Zhao X.L. A neutron diffraction study of LaMn2Si2 (10-473 K) // J. Magn. Magn. Mater. 1997. V. 176. P. 279–287.
- Hofmann M., Campbell S.J., Kennedy S.J. Competing magnetic interactions in La0.8Y0.2Mn2Si2 – coexistence of canted ferromagnetism and antiferromagnetism // J. Phys.: Condens. Matter. 2007. V. 19. P. 486202–9.
- VanDover R.B., Gyorgy E.M., Cava R.J., Krajewski J.J., Felder R.J., Peck W.F. Magnetoresistance of SmMn2Ge2: A layered antiferromagnet // Phys. Rev. B. 1993. V. 47. P. 6134–6137.
- Gerasimov E.G., Mushnikov N.V., Koyama K., Kanomata T., Watanabe K. Positive magnetoresistance and large magnetostriction at first-order antiferro–ferromagnetic phase transitions in RMn2Si2 compounds // J. Phys.: Condens. Matter. 2008. V. 20. P. 445219–6.
- Mushnikov N.V., Gerasimov E.G. Magnetostriction of La0.75Sm0.25Mn2Si2 compound // J. Alloys Compounds. 2016. V. 676. P. 74–79.
- Emre B., Dincer I., Elerman Y., Aksoy S. An investigation of magnetocaloric effect and its implementation in critical behavior study of La1-xNdxMn2Si2 compounds // Solid State Sci. 2013. V. 22. P. 1–7.
- Mushnikov N.V., Gerasimov E.G., Terentev P.B., Gaviko V.S., Yazovskikh K.A., Aliev A.M. Magnetic phase transitions and magnetocaloric effect in layered intermetallic La0.75Sm0.25Mn2Si2 compound // J. Magn. Magn. Mater. 2017. V. 440. P. 89–92.
- Gerasimov E.G., Umetsu R.Y., Mushnikov N.V., Fujita A., Kanomata T. Magnetic anisotropy of La0.75Sm0.25Mn2Si2 compound // J. Phys.: Condens. Matter. 2007. V. 19. P. 486202–9.
- Kennedy S.J., Kamiyama T., Oikawa K., Campbell S.J., Hofmann M. Mixed magnetic phases in La0.85Y0.15Mn2Si2 – high resolution diffraction // Appl. Phys. A. 2002. V. 74. Suppl. P. S880–S882.
- Nowik I., Levi Y., Felner I., Bauminger E.R. New multiple magnetic phase transitions and structures in RMn2X2, X = Si or Ge, R = rare earth // J. Magn. Magn. Mater 1995. V. 147. P. 373–384.
- Nowik I., Felner I., Bauminger E.R. A non-magnetic Fe probe of multiple magnetic phase transitions in RMn2Si2-xGex, R = rare earth // Il Nuovo Cimento. 1996. V. 18D. P. 275–280.
- Campbell S.J., Cadogan J.M., Zhao X.L., Hofmann M., Li H.S. Magnetic transitions in La1-xYxMn2Si2 – Mӧssbauer investigation (4.2–520 K) // J. Phys.: Condens. Matter. 1999. V. 11. P. 7835–7850.
- Подгорных С.М., Казанцев В.А., Герасимов Е.Г. Анализ магнитных вкладов в тепловое расширение соединения SmMn2Ge2 // ФММ. 2000. Т. 90. № 6. С. 49–57.
- Подгорных С.М., Казанцев В.А., Герасимов Е.Г. Тепловое расширение соединений RMn2Х2 (R = Y, La, Sm; X = Si, Ge) в области перехода в магнитоупорядоченное состояние // ФММ. 2003. Т. 96. № 2. С. 62–67.
- Slaski M, Szytuła A. Specific heat of SmMn2Ge2: evidence of a magnetic phase transition at TN // J. Alloys Compounds. 2004. V. 363. P. L12–L13.
- Kervan S., Kılıç A., Gencer A. AC susceptibility, XRD and DSC studies of Sm1−xGdxMn2Si2 silicides // Physica B: Condens. Matter. 2004. V. 344. P. 195–200.
- Kervan S., Kılıç A., Aksu E., Gencer A. Magnetic behavior in Ce1–xTbxMn2Si2 silicides by XRD, DSC and AC susceptibility measurements // Phys. Stat. Sol. (b). 2005. V. 242. P. 3195–3200.
- Lin S.D., Chen X.L., Wang J., Zhu C.F., Rong M.H., Rao G.H., Zhou H.Y. Magnetic properties and magnetocaloric effect of Nd0.7Gd0.3Mn2Si2 alloy // Advanced Mater. Research. 2017. V. 1142. P. 47–52.
- Gerasimov E.G., Kurkin M.I., Korolyov A.V., Gaviko V.S. Magnetic anisotropy and ferro-antiferromagnetic phase transition in LaMn2Si2 // Phys. B. 2002. V. 322. P. 297–305.
- Illers K.H. Die Ermittlung Des Schmelzpunktes von Kristallinen Polymeren Mittels Wärmeflusskalorimetrie (DSC) // Europ. Polymer J. 1974. V. 10. P. 911–916.
- Сташкова Л.А., Мушников Н.В., Гавико В.С., Протасов А.В. Калориметрические исследования фазовых превращений в сплавах Fe–Ni // ФММ. 2022. Т. 123. № 10. С. 1038–1045.
- Mushnikov N.V., Kuchin A.G., Gerasimov E.G., Terentev P.B., Gaviko V.S., Serikov V.V., Kleinerman N.M., Vershinin A.V. Magnetic phase transitions in Y1-xTbxMn6Sn6, La1-xSmxMn2Si2, Lu2(Fe1-хMnx)17, and La(Fe0.88SixAl0.12-x)13 intermetallic compounds // J. Magn. Magn. Mater. 2015. V. 383. P. 196–202.
- Gerasimov E.G., Kanomata T. Gaviko V.S. Interrelation between electronic structure and interatomic distances for RMn2X2 compounds // Physica B. 2007. V. 390. P. 118–123.
- Кузнецова Т.В., Корх Ю.В., Гребенников В.И., Раздивончик Д.И., Пономарева Е.А., Герасимов Е.Г., Мушников Н.В. Исследование электронных состояний и магнитной доменной структуры слоистых интерметаллидов La1–xSmxMn2Si2 (x = 0, 0.25) методом резонансной фотоэмиссионной спектроскопии и магнитно-силовой микроскопии // ФММ. 2022. Т. 123. № 5. С. 482–490.
Supplementary files






