Morphology and Magnetic Properties of Ni Nanowires in Thin Film Anodic Alumina Templates
- Authors: Dryagina A.E.1, Gorkovenko A.N.1, Kulesh N.A.1, Kurdyukov E.V.1, Viblaya A.V.1, Yushkov A.A.1, Veryasova A.A.1, Pastukhov V.I.1,2, Kalashnikova A.S.1, Vaskovsky V.O.1,3
-
Affiliations:
- Ural Federal University
- Institute of Nuclear Materials
- Miheev Institute of Metal Physics of the Ural Branch of the Russian Academy of Sciences
- Issue: Vol 125, No 4 (2024)
- Pages: 413-419
- Section: ЭЛЕКТРИЧЕСКИЕ И МАГНИТНЫЕ СВОЙСТВА
- URL: https://bakhtiniada.ru/0015-3230/article/view/267430
- DOI: https://doi.org/10.31857/S0015323024040057
- EDN: https://elibrary.ru/WRIFSK
- ID: 267430
Cite item
Full Text
Abstract
The features of the morphology and magnetic properties of Ni nanowire arrays have been studied. Aluminum oxide matrices are used as a template for electrolytic deposition of nanowires. The matrices are obtained by anodizing the aluminum films with a thickness of 2 μm that are formed on glass substrates by high frequency ion sputtering. Electrochemical deposition of the metal is carried out using direct and alternating currents. Morphology and microstructure studies show that the nanowire arrays are polycrystalline and have a branched dendritic structure due to the morphological features of aluminum oxide matrices. A relationship between the magnetization reversal patterns and the modes of electrodeposition of Ni nanowire arrays is established. The process of magnetization reversal of an array of this kind of structures is simulated.
Full Text
ВВЕДЕНИЕ
Металлические нанопроволоки являются компонентом широкого класса перспективных композиционных материалов, в том числе оптических элементов, сенсоров, различных датчиков и логических устройств [1–6]. Уникальные функциональные свойства таких материалов во многом обусловлены сочетанием малых размеров, анизотропии формы и высокой электропроводностью. Использование магнитного сплава при создании нанопроволок существенно расширяет спектр внешних воздействий и эффектов. В частности, помимо ориентации анизотропных частиц в магнитном поле, открываются возможности использования магнитоэлектрических и магнитострикционного эффектов [7–11].
Развитие методов синтеза позволило получать нанопроволоки различных составов, структуры и морфологии, а это обеспечило возможность прецизионного контроля их формы, в том числе создания дендритных структур с контролируемым количеством ветвлений [12–20]. Было показано, что такие структуры имеют широкий спектр потенциальных применений от биомедицинских приложений до нейроморфных вычислений [21–24]. Одним из наиболее эффективных методов синтеза таких структур является осаждение материала в шаблон оксида алюминия. Преимуществом данного метода является возможность прецизионного контроля размера, формы и структурных свойств нанопроволок или ветвистых структур на их основе. Механизм произрастания пор подробно описан в работе [25]. Ветвление начальных пор обусловлено понижением напряжения и продолжением роста каналов на местах с более тонким барьерным слоем. Также при таком подходе существует возможность синтеза нанопроволок с помощью электролитического осаждения, в режиме как постоянного, так и переменного тока, и возможность получения мультисегметных и модулируемых структур [25–27].
Наибольшее распространение получили дендритные структуры с ветвлением типа Y и наноструктурные сетки (network) [24, 28, 29]. Однако опубликованные исследования в основном посвящены морфологии и магнитным свойствам таких структур в толстопленочных матрицах или мембранах. В данной работе мы исследовали особенности морфологии и магнитные свойства массивов дендритных нанопроволок Ni с Y типом ветвления, синтезированных в тонкопленочных матрицах оксида алюминия.
ОБРАЗЦЫ И МЕТОДИКА ЭКСПЕРИМЕНТА
Синтез массивов дендритных нанопроволок можно разделить на два основных этапа: изготовление шаблона – матрицы оксида алюминия и его заполнения магнитным материалом.
В качестве основы для синтеза матриц использованы пленки алюминия толщиной ~2 мкм, полученные методом ионного распыления мишени высокочистого Al в атмосфере аргона. Подложками служили покровные стекла Corning. Скорость осаждения Al составляла 2.83 Å/с.
Далее выполняли анодирование пленок при комнатной температуре в водном растворе щавелевой кислоты (3М). При этом положительным электродом служила пленка Al, в качестве отрицательного электрода выступала платиновая сетка. Напряжение составляло 40 В, время основного этапа анодирования – 4 минуты. На заключительном этапе анодирования производили ступенчатое снижения тока, а затем напряжения для получения дендритной структуры и истончения барьерного слоя, который образуется в районе границы с металлическим алюминием. Схематическое изображение барьерного слоя и вида самой структуры показано на рис. 1.
Рис. 1. Рисунок барьерного слоя одного канала в матрице анодированного алюминия
Для электролитического осаждения нанопроволок в режимах переменного и постоянного тока были синтезированы два типа матриц: с истонченным барьерным слоем и с полностью удаленным барьерным слоем [26, 30] соответственно. Отличия в методике изготовления матриц заключаются в том, до какого минимального напряжения производили ступенчатое снижение тока и напряжения и во времени последующей выдержки в 5% водном растворе ортофосфорной кислоты. Такой подход связан с тем, что образующийся при анодировании барьерный слой имеет избыточную толщину, что препятствует электролитическому осаждению материала [31].
Анодирование матриц с истонченным барьерным слоем прекращали при достижении напряжения ~7 В в процессе ступенчатого понижения тока. Затем образец выдерживали в 5% водном растворе ортофосфорной кислоты в течение 20 мин. Для матриц с полностью удаленным барьерным слоем образец дополнительно выдерживали при минимальном токе в течение 10 мин для достижения напряжения ~3 В. После этого полученную матрицу помещали в 5% водный раствор ортофосфорной кислоты на 60 мин.
На следующем этапе в готовые матрицы оксида алюминия производили электролитическое осаждение Ni при комнатной температуре. В качестве электролита использован водный раствор сульфата никеля (NiSO4·7H2O), хлорида никеля (NiCl) и борной кислоты (H3BO4). В качестве положительного электрода выступала платиновая сетка. Отрицательным электродом являлся оставшийся слой металлического Al в пленке.
В зависимости от типа матрицы для электроосаждения нанопроволок использовали режим постоянного тока (напряжение 5 В, время осаждения 30 с) [9] или переменного тока (амплитуда напряжения 12 В и частота 200 Гц, время осаждения 70 с) [25].
Исследование морфологии, микроструктуры и кристаллической структуры полученных образцов выполняли методом сканирующей электронной микроскопии (СЭМ) и просвечивающей электронной микроскопии (ПЭМ). Сканирование проводили на сканирующем электронном микроскопе Tescan Mira3 с катодом Шоттки при ускоряющем напряжении 30 кВ. Съемку проводили на сколах размером порядка 1 мм на 4 мм с торца образца, при помощи детектора отраженных электронов в режиме высокого вакуума с напуском азота для обеспечения стекания электрического заряда с поверхности стеклянной подложки при давлении в камере 50 Па.
ПЭМ выполняли на просвечивающем электронном микроскопе JEOL JEM-2100. Для этого нанопроволоки извлекали из оксидной матрицы посредством удаления матрицы в водном растворе NaOH (2 M) при комнатной температуре. Далее структуры промывали в дистиллированной воде от щелочной среды и наносили на медную сетку с углеродным покрытием.
Исследование магнитных свойств проводили на вибрационном магнитометре LakeShore 7407 при комнатной температуре в диапазоне полей ±10 кЭ, направленных вдоль и перпендикулярно оси массивов нанопроволок, на образцах размером 3×4 мм. Для интерпретации полученных результатов с помощью микромагнитного моделирования использовали программный пакет Ubermag [32].
РЕЗУЛЬТАТЫ И ОБСУЖДЕНИЯ
Изображения сколов массивов нанопроволок Ni, осажденных в режимах постоянного и переменного токов, представлены на рис. 2. Исходя из методики получения изображений, более светлые структуры соответствуют нанопроволокам Ni, которые окружены темной матрицей оксида алюминия. Стоит отметить, что рост нанопроволок начинается с области наибольшего ветвления, так как в силу специфики процесса изготовления матриц оксида алюминия именно там располагается наиболее тонкий барьерный слой.
Рис. 2. Изображение, полученное методом сканирующей электронной микроскопии, сколов образца с массивом нанопроволок Ni, осажденных в режиме постоянного (а) и переменного (б) тока
Более детальная информация о морфологии дендритных нанопроволок была получена при помощи ПЭМ (рис. 3). Если рассматривать структуры в обратном порядке к ее росту, а именно от более толстых сегментов к более тонким, то можно сделать вывод, что с увеличением числа разветвлений уменьшается длина и диаметр каждого последующего сегмента. Кроме того, для нанопроволок, полученных в режиме постоянного тока, наблюдается большее количество сегментов с меньшей толщиной (диаметр вплоть до 5 нм), по сравнению с нанопроволоками, полученными в режиме переменного тока (диаметр до 7 нм). Это обусловлено особенностями изготовления оксидных матриц для разных типов электроосаждения, которые описаны выше. В частности, снижение напряжения до меньших значений позволяет получать структуры меньшего диаметра.
Рис. 3. Изображение, полученное методом просвечивающей электронной микроскопии, нанопроволок Ni, осажденных в режиме постоянного (а) и переменного (б) тока. На вставках приведены соответствующие дифрактограммы
Наличие областей разного контраста на ПЭМ- изображениях нанопроволок Ni говорит об их поликристалличности. Средние размеры кристаллитов дендритных структур, полученных в режиме постоянного тока, в среднем составляют 60 нм, что больше среднего размера кристаллитов нанопроволок, полученных в режиме переменного тока, который составляет ~ 40 нм. Оси наибольших кристаллитов отклонены от оси роста дендритной структуры на 30–40 градусов для обоих типов образцов (исходя из снимков высокого разрешения ПЭМ, это оси 100 или 001). Дифрактограммы, снятые на выделенной области (вставка на рис. 3), показали, что независимо от режима электролитического осаждения, дендритные нанопроволоки Ni обладают гранецентрированной кристаллической решеткой.
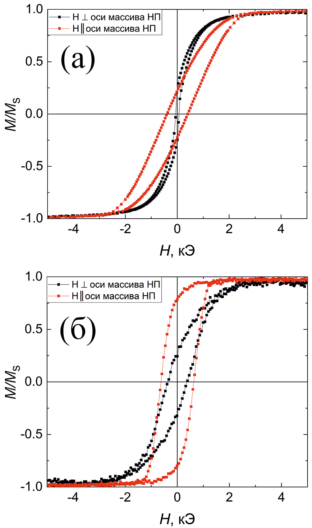
Петли гистерезиса, измеренные на массивах дендритных нанопроволок Ni вдоль оси массива и перпендикулярно ему, представлены на рис. 4. Если рассматривать перемагничивание массива нанопроволок Ni, осажденных в режиме переменного тока (рис. 4б), то можно сделать заключение о наличии ярко выраженной магнитной анизотропии в направлении, параллельном оси массива нанопроволок. Это указывает на значительный вклад анизотропии формы в эффективную энергию анизотропии [33]. Иной результат был получен при анализе процессов перемагничивания магнитных дендритных нанопроволок Ni, осажденных в режиме постоянного тока (рис. 4а). По характеру перемагничивания затруднительно сделать однозначный вывод о преимущественной ориентации намагниченности. Локальная дисперсия намагниченности может быть следствием дендритной геометрии и сложного распределения собственного размагничивающего поля. Одним из возможных объяснений различий в характере перемагничивания образцов может быть наличие более тонкой и разветвленной дендритной структуры нанопроволок Ni, осажденных в режиме постоянного тока, по сравнению с аналогичными структурами, осажденными в режиме переменного тока.
Рис. 4. Петли гистерезиса, полученные для образцов с массивами нанопроволок Ni, осажденными в режиме постоянного (а) и переменного (б) тока, измеренные параллельно (красная) и перпендикулярно (черная) оси массива нанопроволок
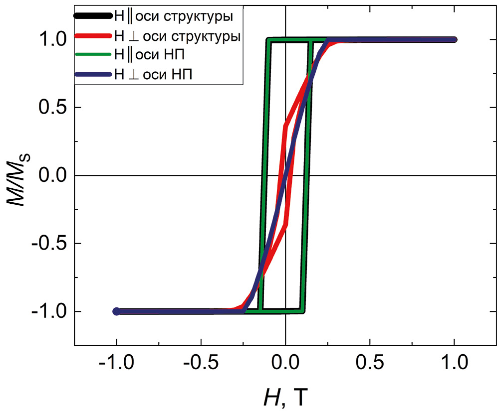
Для интерпретации полученных результатов было выполнено микромагнитное моделирование с использованием геометрии, соответствующей данным электронной микроскопии. В результате для моделирования использована структура, представленная на рис. 5, с тремя разветвлениями, в которой наибольший диаметр равен 42 нм, наименьший – 7 нм, что приблизительно соответствует экспериментальным данным. Результаты расчетов показывают, что наличие дендритной структуры приводит к увеличению остаточной намагниченности и коэрцитивной силы для петли, полученной перпендикулярно оси дендритной структуры (рис. 6 – красная линия) по сравнению с нанопроволокой без ветвления (рис. 6 – синяя линия).
Рис. 5. Схематическое изображение структуры, задаваемой при моделировании с указанием размеров ветвей
Рис. 6. Петли гистерезиса, полученные для образца Ni с дендритной структурой (черная и красная линии, для расчетов при приложении поля параллельно и перпендикулярно оси структуры соответственно) и нанопроволоки (зеленая и синяя линии, для расчетов при приложении поля параллельно и перпендикулярно оси нанопроволоки соответственно)
В качестве предельного случая нами также была рассмотрена геометрия, в которой множественные ветвления в области границы с металлическим слоем Al заменены сплошной пленкой Ni толщиной 5 нм. Такой случай предположительно соответствует структуре, полученной в режиме постоянного тока, для которой было использовано практически полное растворение барьерного слоя. В этом случае остаточная намагниченность при перемагничивании вдоль оси структуры оказывается меньше (рис. 7 – зеленая линия), чем для такой же структуры без подслоя. При этом остаточная намагниченность при приложении поля перпендикулярно структуре с подслоем оказывается выше, чем для структуры без подслоя. Таким образом, полученная тенденция оказывается схожей с той, что наблюдается для образца, осажденного в режиме постоянного тока. Это может свидетельствовать либо о наличии прямого контакта наиболее мелких соседних разветвлений (в нашем приближении – пленочного слоя), либо о наличии слоя с повышенной плотностью магнитных нанопроволок (для которых размагничивающий фактор оказывается сопоставимым со сплошной пленкой).
Рис. 7. Петли гистерезиса, полученные для образца Ni с дендритной структурой (черная и красная линии, для расчетов при приложении поля параллельно и перпендикулярно оси структуры соответственно) и такой же ветвистой структуры с подслоем магнитного материала Ni 5 нм (зеленая и синяя линии, для расчетов при приложении поля параллельно и перпендикулярно оси нанопроволоки соответственно)
ЗАКЛЮЧЕНИЕ
Исследованы морфология и магнитные свойства массивов нанопроволок Ni, синтезированных в тонкопленочном слое оксида алюминия с использованием электролитического осаждения в режимах постоянного и переменного тока.
Установлено, что нанопроволоки Ni имеют дендритную морфологию, которая характеризуется более развитым ветвлением с конечными сегментами меньшего диаметра для образцов, полученных в режиме постоянного тока.
Все нанопроволоки независимо от условий осаждения являются поликристаллическими, а кристаллиты, имеющие гранецентрированную кубическую решетку, имеют некоторую выстроенность по отношению к оси проволок. Отмечено также, что формирование нанопроволок в режиме постоянного тока приводит к большему размеру кристаллитов по сравнению с режимом переменного тока.
Исследование магнитных свойств выявило различия в процессах намагничивания образцов двух типов. В частности, массивы дендритных нанопроволок, синтезированные в режиме переменного тока, обладают выраженной одноосной магнитной анизотропией с осью легкого намагничивания параллельной оси нанопроволок. Режим постоянного тока приводит к существенно меньшей анизотропии в массиве нанопроволок, что, как показывают результаты моделирования, может быть обусловлено более развитой морфологией нанопроволок.
Исследование выполнено при финансовой поддержке Министерства науки и высшего образования Российской Федерации в рамках Программы развития Уральского федерального университета имени первого Президента России Б.Н. Ельцина в соответствии с программой стратегического академического лидерства “Приоритет-2030”.
Авторы данной работы заявляют, что у них нет конфликта интересов.
About the authors
A. E. Dryagina
Ural Federal University
Author for correspondence.
Email: Anastasia.Driagina@urfu.me
Russian Federation, Ekaterinburg
A. N. Gorkovenko
Ural Federal University
Email: Anastasia.Driagina@urfu.me
Russian Federation, Ekaterinburg
N. A. Kulesh
Ural Federal University
Email: Anastasia.Driagina@urfu.me
Russian Federation, Ekaterinburg
E. V. Kurdyukov
Ural Federal University
Email: Anastasia.Driagina@urfu.me
Russian Federation, Ekaterinburg
A. V. Viblaya
Ural Federal University
Email: Anastasia.Driagina@urfu.me
Russian Federation, Ekaterinburg
A. A. Yushkov
Ural Federal University
Email: Anastasia.Driagina@urfu.me
Russian Federation, Ekaterinburg
A. A. Veryasova
Ural Federal University
Email: Anastasia.Driagina@urfu.me
Russian Federation, Ekaterinburg
V. I. Pastukhov
Ural Federal University; Institute of Nuclear Materials
Email: Anastasia.Driagina@urfu.me
Russian Federation, Ekaterinburg; Zarechny
A. S. Kalashnikova
Ural Federal University
Email: Anastasia.Driagina@urfu.me
Russian Federation, Ekaterinburg
V. O. Vaskovsky
Ural Federal University; Miheev Institute of Metal Physics of the Ural Branch of the Russian Academy of Sciences
Email: Anastasia.Driagina@urfu.me
Russian Federation, Ekaterinburg; Ekaterinburg
References
- Sniadecki N.J., Lamb C.M., Liu Y., Chen C.S. and Reich D.H. Magnetic microposts for mechanical stimulation of biological cells: fabrication, characterization, and analysis // Rev. Sci. Instrum. 2008. V. 79. № 4.
- Mourachkine A., Yazyev O.V., Ducati C. and Ansermet J.P. Template nanowires for spintronics applications: nanomagnet microwave resonators functioning in zero applied magnetic field // Nano Lett. 2008. V. 8. № 11. P. 3683–3687.
- Nasirpouri F. Electrodeposition of nanostructured materials. Springer International Publishing, 2017. V. 62. P. XII 325.
- Moreno J.A., Bran C., Vazquez M. and Kosel J. Cylindrical magnetic nanowires applications // IEEE Trans. Magn. 2021. V. 57. № 4. P. 1–17.
- Fernández-Roldán J.A. Micromagnetism of cylindrical nanowires with compositional and geometric modulations. dis. – Universidad Autónoma de Madrid, 2019.
- Wang L., Li Y., Zhang Y., Gu H., Chen W. Rare earth compound nanowires: Synthesis, properties and applications // Rev. in Nanoscience and Nanotechnology. 2014. V. 3. № 1. P. 1–19.
- Muscas G., Jönsson P.E., Serrano I.G., Vallin Ö., and Kamalakar M.V. Ultralow magnetostrictive flexible ferromagnetic nanowires // Nanoscale. 2021. V. 13. P. 6043.
- Pateras A., Harder R., Manna S., Kiefer B., Sandberg R.L., Trugman S., Kim J.W. De La Venta J., Fullerton E.E., Shpyrko O.G., Fohtung E. Room temperature giant magnetostriction in single-crystal nickel nanowires // NPG Asia Mater. 2019. V. 11. № 1. P. 59.
- Alam J., Bran C., Chiriac H., Lupu N., Óvári T.A., Panina L.V., Rodionova V., Varga R., Vázquez M., Zhukov A. Cylindrical micro and nanowires: Fabrication, properties and applications // J. Magn. Magn. Mater. 2020. V. 513. P. 167074.
- Hu S., Zeng S., Li X., Jiang J., Yang W., Chen Y., Li M., Zheng J. Flexible and high performance of n-type thermoelectric PVDF composite film induced by nickel nanowires // Mater. Des. 2020. V. 188. P. 108496.
- Pham D.C., Biziere N., Melilli G., Pajon R., Lacour D., Bouvot L., Tabellout M., Lairez D., Drouhin H., Clochard M., Wegrowe J.E. Strain-induced inverse magnetostriction measured on a single contacted Ni nanowire in a polymer matrix // Mater. Res. Express. 2014. V. 1. № 4. P. 045017.
- Kac M., Zarzycki A., Kac S., Kopec M., Perzanowski M., Dutkiewicz E.M., Suchanek K., Maximenko A., Marszalek M. Effect of the template-assisted electrodeposition parameters on the structure and magnetic properties of Co nanowire arrays // Mater. Sci. Eng. B. 2016. V. 211. P. 75–84.
- Vilanova Vidal E., Ivanov Y.P., Mohammed H. and Kosel J. A detailed study of magnetization reversal in individual Ni nanowires // Appl. Phys. Lett. 2015. V. 106. №. 3.
- Santos A., Vojkuvka L., Pallarés J., Ferré-Borrull J. and Marsal L.F. Cobalt and nickel nanopillars on aluminium substrates by direct current electrodeposition process // Nanoscale Res. Lett. 2009. V. 4. P. 1021–1028.
- Komogortsev S.V., Chekanova L.A., Denisova E.A., Bukaemskiy A.A., Iskhakov R.S. and Mel’nikova S.V. Macro-and nanoscale magnetic anisotropy of FeNi (P) micropillars in polycarbonate membrane // J. Supercond. Nov. Magn. 2019. V. 32. P. 911–916.
- Yang Y., Zeng H., Wang D., Wu Y., Chen J., Huang Y., Wang P., Feng W. Fractal Growth of Quasi Two-Dimensional Copper Dendrites by Template-free Electrodeposition // Langmuir. 2023. V. 39. № 8. P. 3045–3051.
- Bran C., Fernandez-Roldan J.A., Del Real R.P., Asenjo A., Chubykalo-Fesenko O., and Vazquez M. Magnetic configurations in modulated cylindrical nanowires // Nanomaterials. 2021. V. 11. № 3. P. 600.
- Zagorskiy D.L., Doludenko I.M., Kanevsky V.M., Gilimyanova A.R., Menushenkov V.P., and Savchenko E.S. The Obtaining, Microscopy, and Properties of FeCo and FeNi Alloy Nanowires // Bulletin of the Russian Academy of Sciences: Physics. 2021. V. 85. P. 848–853.
- Revathy R., Varma M.R., and Surendran K.P. Effect of morphology and ageing on the magnetic properties of nickel nanowires // Mater. Res. Bull. 2019. V. 120. С. 110576.
- Meng G., Jung Y.J., Cao A., Vajtai R., Ajayan P.M. Controlled fabrication of hierarchically branched nanopores, nanotubes, and nanowires // PNAS 2005. V. 102. № 20. P. 7074–7078.
- Zhang F., Jiang Y., Liu X., Meng J., Zhang P., Liu H., Wang S. Hierarchical nanowire arrays as three-dimensional fractal nanobiointerfaces for highly efficient capture of cancer cells // Nano Lett. 2016. V. 16. № 1. P. 766–772.
- You L. Superconducting nanowire single-photon detectors for quantum information // Nanophotonics. 2020. V. 9. № 9. P. 2673–2692.
- Chen X., Chen B., Jiang B., Gao T., Shang G., Han S.T., Kuo C.-C., Roy V.A.L., Zhou Y. Nanowires for UV–vis–IR optoelectronic synaptic devices // Adv. Funct. Mater. 2023. V. 33. № 1. P. 2208807.
- Zhu R., Lilak S., Loeffler A., Lizier J., Stieg A., Gimzewski J., Kuncic Z. Online dynamical learning and sequence memory with neuromorphic nanowire networks //Nat. Commun. 2023. V. 14. № 1. P. 6697.
- Lee W., Park S.J. Porous anodic aluminum oxide: anodization and templated synthesis of functional nanostructures //Chemical Rev. 2014. V. 114. № 15. P. 7487–7556.
- Piraux L. Magnetic nanowires //Applied Sciences. 2020. V. 10. № 5. P. 1832.
- Huang X., Tan L., Cho H. and Stadler B.J. Magnetoresistance and spin transfer torque in electrodeposited Co/Cu multilayered nanowire arrays with small diameters // J. Appl. Phys. 2009. V. 105. № 7.
- Gao T., Meng G., Zhang J., Sun S., Zhang L. Template synthesis of Y-junction metal nanowires // Appl. Phys. A. 2002. V. 74. P. 403–406.
- Guo Q., Qin L., Zhao J., Hao Y., Yan Z., Mu F., Chen P. Structural analysis and angle-dependent magnetic properties of Y-branched Ni nanowires // Physica E Low Dimens. Syst. Nanostruct. 2012. V. 44. № 10. P. 1988–1991.
- Воробьева А.И., Уткина Е.А., Комар О.М. Однородное осаждение никеля в поры упорядоченного тонкого оксида алюминия // Микроэлектроника. 2013. V. 43. № 2. P. 105–115.
- Santos A., Vojkuvka L., Pallarés J., Ferré-Borrull J., Marsal L.F. Cobalt and nickel nanopillars on aluminium substrates by direct current electrodeposition process // Nanoscale Res. Lett. 2009. V. 4. № 9. P. 1021–1028.
- Beg M., Lang M., Fangohr H. Ubermag: toward more effective micromagnetic workflows // IEEE Trans. Magn. 2021. V. 58. № 2. P. 1–5.
- Sun L., Hao Y., Chien C.L., Searson P.C. Tuning the properties of magnetic nanowires // IBM J. Res. Dev. 2005. V. 49. № 1. P. 79–102.
Supplementary files









