Влияние всесторонней изотермической ковки на микроструктуру и сверхпластичность сплавов системы Al–Mg–Si–Cu c разным содержанием Mg и Si
- Авторы: Мочуговский А.Г.1, Чуквума Э.У.1, Михайловская А.В.1
-
Учреждения:
- НИТУ МИСиС
- Выпуск: Том 125, № 1 (2024)
- Страницы: 62-69
- Раздел: СТРУКТУРА, ФАЗОВЫЕ ПРЕВРАЩЕНИЯ И ДИФФУЗИЯ
- URL: https://bakhtiniada.ru/0015-3230/article/view/259715
- DOI: https://doi.org/10.31857/S0015323024010091
- EDN: https://elibrary.ru/ZQOBRY
- ID: 259715
Цитировать
Полный текст
Аннотация
Работа посвящена исследованию влияния содержания Mg и Si, в том числе в разном соотношении, на эволюцию микроструктуры и сверхпластичность после обработки методом всесторонней изотермической ковки сплавов системы Al–Mg–Si–Cu с добавками Fe и Ni, образующих крупные частицы фаз кристаллизационного происхождения, и дисперсоидообразующих элементов Sc и Zr. Были изучены сплавы со следующим содержанием Mg/Si (мас.%): 1.2/0.4 (3), 1.2/0.7 (1.7) и 2.0/0.7 (2.8). Сплавы были подвергнуты 6 циклам всесторонней изотермической ковки (ВИК) при температуре 325 °C с накопленной деформацией до ∑ε = 14.4. В процессе ВИК происходила фрагментация частиц эвтектических фаз Mg2Si и Al9FeNi и формирование частиц размером 0.6–0.7 и 1.2–1.5 мкм, соответственно. Благодаря гетерогенной структуре и реализации механизмов стимулирования зарождения рекристаллизованных зерен и сдерживания их роста в сплавах формировалась микрозеренная структура со средним размером зерна около 2 мкм. Показано, что увеличение концентрации Si при постоянном содержании Mg, а также увеличение концентрации Mg и Si при близком соотношении Mg/Si приводит к увеличению доли рекристаллизованного объема и уменьшению размера зерна после всесторонней ковки. При этом, сплав с наименьшим содержанием Mg и Si показал наибольшие удлинения при сверхпластической деформации, что объяснено сниженной долей частиц фазы Mg2Si кристаллизационного происхождения.
Ключевые слова
Полный текст
ВВЕДЕНИЕ
Сплавы системы Al–Mg–Si–(Сu) являются перспективными материалами для нужд авиации и машиностроения. Сплавы данной группы обладают хорошей коррозионной стойкостью в сочетании с повышенными прочностными характеристиками, обеспеченными закалкой и последующим старением с выделением метастабильных модификаций фаз Mg2Si и Q-(AlMgSiCu) [1–3]. Повысить технологические и эксплуатационные свойства сплавов данной группы возможно посредством формирования ультрамелкозернистой (УМЗ) структуры. Наиболее часто реализуемым подходом к формированию УМЗ-структуры в алюминиевых сплавах является интенсивная пластическая деформация, аккумулирующая большие степени деформации [4–6]. Перспективным методом с позиций промышленного внедрения и получения массивных образцов, обеспечивающим интенсификацию пластической деформации, является всесторонняя изотермическая ковка (ВИК) [7]. Влияние ВИК на микроструктуру и свойства сплавов на основе алюминия изучено подробно [8–11]. ВИК значительно измельчает зерно в алюминиевых сплавах до 0.5–2 мкм [12, 13], а размер субзерна достигает 0.2 мкм [14], что в результате повышает прочностные свойства и показатели сверхпластичности [8, 9, 15]. УМЗ структура при ВИК формируется за счет рекристаллизации динамической/постдинамической [16–18]. При этом влияние ВИК на структуру и свойства сплавов системы Al–Mg–Si исследовано слабо, что обусловлено низким содержанием легирующих элементов и отсутствием частиц дисперсоидов.
Измельчение зерна в алюминиевых сплавах, в том числе на основе системы Al–Mg–Si, возможно за счет формирования структуры оптимальной гетерогенности в присутствии частиц различной дисперсности [19, 20]. Формирующиеся при гетерогенизационном отжиге частицы вторичных фаз или эвтектических фазы кристаллизационного происхождения, размерами около 1–2 мкм, обеспечивают измельчение зерна за счет стимулирования образования зародышей новых рекристаллизованных зерен. Присутствие наноразмерных частиц обеспечивает измельчение зерна через ограничение роста зерен в соответствии с механизмом Зинера. Данный подход реализован на авиалях путем легирования сплавов Fe, Ni для образования крупных частиц и Zr, Sc для выделения дисперсоидов [21, 22]. Комплексное легирование алюминиевых сплавов данными элементами обеспечивает формирование когерентных частиц фазы Al3(Sc, Zr) со структурным типом L12 и размером менее 100 нм, эффективно сдерживающих рост зерен.
Состав твердого раствора является дополнительным фактором, влияющим на размер зерна. Увеличение содержания растворенных элементов в системах Al–Mg и Al–Zn–Mg приводит к повышению стабильности зеренной структуры [23–25]. Содержание основных легирующих элементов, Mg и Si, в твердом растворе сплавов Al–Mg–Si также должно оказывать влияние на формирование зеренной структуры. Увеличение содержания легирующих элементов в твердом растворе может тормозить рост зерен через образование зернограничных сегрегаций [26] или влиять на скорость диффузии, контролирующей рост зерен.
Данное исследование посвящено анализу влияния содержания Mg и Si на эволюцию параметров зеренной структуры, частиц вторых фаз и механические свойства сплавов системы Al–Mg–Si–Cu–Fe–Ni–Sc–Zr, обработанных всесторонней изотермической ковкой.
МАТЕРИАЛЫ И МЕТОДЫ ИССЛЕДОВАНИЯ
Химические составы исследованных сплавов представлены в таблице 1. Сплавы получали путем кристаллизации в медную воодоохлаждаемую изложницу со скоростью охлаждения ~15 K/с. Для приготовления использовали следующие шихтовые материалы: Al марки А99, Mg марки Мг95, лигатуры Al-5%Zr, Al-12%Si, Al-53,5%Cu, Al-10%Fe, Al-18%Ni, Al-2,5%Sc, Al-5%Zr. Расплав готовили в графито-шамотном тигле в индукционной печи марки “СЭЛТ-ИПУ-20М/20-НР”. Температура расплава перед разливкой составляла 780±10 °C. Контроль температуры осуществляли посредством хромель-алюмелевой термопары.
Полученные слитки подвергали двухступенчатому гомогенизационному отжигу с первой ступенью при 350 °C в течение 8 ч и последующей второй ступенью при 480 °C в течение 3 ч. Термическую обработку проводили в печи Nabertherm N30/65A с воздушной циркуляцией и точностью поддержания температуры ±5 °C.
Контроль химического состава и анализ микроструктуры проводили при помощи сканирующего электронного микроскопа (СЭМ) Tescan-VEGA3 LMH, оборудованного энергодисперсионным рентгеновским спектрометром (ЭДС) X–MAX80 и детектором дифракции обратно рассеянных электронов (ДОРЭ) HKL NordlysMax. Подготовка образцов для микроструктурного анализа включала шлифование на наждачной бумаге разной зернистости с последующей полировкой на суспензии на основе SiC (Struers OP-S). Подготовку образцов проводили при помощи полировальной машины Struers LaboPoll-5.
Таблица 1. Химические составы исследованных сплавов по шихте (мас.%)
Обозначение сплава | Mg | Si | Cu | Fe | Ni | Sc | Zr | Al |
1 | 1.2 | 0.4 | 1.0 | 1.0 | 1.0 | 0.1 | 0.2 | Ост. |
2 | 1.2 | 0.7 | 1.0 | 1.0 | 1.0 | 0.1 | 0.2 | Ост. |
3 | 2.0 | 0.7 | 1.0 | 1.0 | 1.0 | 0.1 | 0.2 | Ост. |
Исследование структуры методом просвечивающей электронной микроскопии (ПЭМ) осуществляли при помощи микроскопа JEOL JEM 2100. В качестве объектов исследования использовали образцы с диаметром 3 мм и толщиной 0.15–0.2 мм. Перед исследованием образцы подвергали двухструйной электрополировке в растворе 30% HNO3 в метаноле при помощи установки Struers TenuPol-5 при температуре минус 20 ± 1 °C и напряжении 19 ± 2 В.
Изображения структуры сплавов в литом и деформированном состоянии получали в режиме отраженных электронов. Зеренную и субзеренную структуру сплавов после сверхпластической деформации анализировали методом дифракции обратно рассеянных электронов. Изображения получали с областей размером 150 × 150 мкм2 с шагом 0.3 мкм. Средний размер зерна рассчитывали, как размер областей, заключенных между высокоугловыми границами с углом разориентировки выше 15°. Для расчета среднего размера субзерна учитывали также малоугловые границы с углом разориентировки менее 15°. Долю рекристаллизованного объема оценивали методом случайных секущих. При этом нерекристаллизованными считали зерна, разделенные малоугловыми границами.
Анализ зеренной структуры перед сверхпластической деформацией проводили при помощи светового микроскопа (СМ) марки Zeiss Axiovert 200 M. Исследования проводили в поляризованном свете. Для выявления зеренной структуры полированные образцы для СМ предварительно подвергали анодному оксидированию в водном растворе кислот HF и H3BO4.
Показатели сверхпластичности анализировали посредством испытаний на растяжение с постоянными скоростями деформации в интервале от 2 × 10–3 до 1 × 10–2 с-1 при помощи универсальной разрывной машины Walter Bai LFM-100. Постоянная скорость деформации обеспечивалась за счет поступательного увеличения скорости движения траверсы с увеличением длины образца. Для испытания использовали образцы с размерами рабочей части 6 × 1 × 14 мм3.
Всестороннюю изотермическую ковку проводили в несколько проходов с начальной скоростью 5 мм/мин при 325 °C. Деформация за один проход и полный цикл ковки составила 0.8 и 2.4, соответственно. В процессе осадки образец деформировали в двух взаимно перпендикулярных направлениях с сохранением геометрии образца после осадки. Для обеспечения многоосной деформации образец после каждого прохода поворачивали на 90°. Для минимизации трения между образцом и матрицей использовали графитовую смазку. Каждый образец подвергали 18 проходам (6 цикам) ковки.
РЕЗУЛЬТАТЫ И ИХ ОБСУЖДЕНИЕ
Основной структурной составляющей во всех исследованных сплавах являлись дендриты алюминиевого твердого раствора (Al) (рис. 1). По границам дендритных ячеек обнаружены фазы эвтектического происхождения с более темным и светлым контрастом, чем матрица. Темные участки обогащены Mg и Si и принадлежат фазе Mg2Si, а светлые Fe и Ni и соответствуют фазе Al9FeNi [22]. Фазы имели пластинчатую морфологию. Толщина пластин фазы Al9FeNi варьировалась в интервале 0.5–3 мкм, а толщина пластин фазы Mg2Si – в интервале 0.5–2.5 мкм. Объемная доля фазы Al9FeNi составляла 4.5 ± 0.3% во всех сплавах.
Рис. 1. Микроструктура сплавов 1 (a), 2 (б), и 3 (в) в литом состоянии и соответствующие карты распределения легирующих элементов в выделенной области (в).
Разное соотношение Mg/Si обеспечивало разную объемную долю фазы Mg2Si кристаллизационного происхождения. В сплаве 1 доля Mg2Si составляла 0.5 ± 0.1%, в сплаве 2 – 1.1 ± 0.1%, в сплаве 3 – 2.1 ± 0.1%. Также в литом состоянии присутствовали околосферические частицы белого цвета. По результатам ЭДС-анализа данные частицы были обогащены Cu и принадлежали фазе Al2Cu. Локализация меди и железа или меди и скандия была выявлена в некоторых частицах, выделяющихся на периферии дендритных ячеек, что позволяет предположить кристаллизацию фаз Al7Cu2Fe и (Al, Cu, Sc) [27].
Рис. 2. Микроструктура сплава 1 (a), 2 (б, г) и 3 (в) в гомогенизированном состоянии и карты распределения легирующих элементов для области (г).
После гомогенизационного отжига (рис. 2) во всех сплавах частицы Al9FeNi и Mg2Si приобрели более сферическую форму, фаза Al2Cu растворилась. При этом, отдельные частицы, содержащие медь, никель и скандий, выявлены в гомогенизированном состоянии. Размеры частиц фазы Al9FeNi составили 1.5 ± 0.1, 1.4 ± 0.1 и 1.2 ± 0.1 мкм, а частиц Mg2Si 2.1 ± 0.1, 2.0 ± 0.1 и 1.7 ± 0.1 мкм для сплавов 1, 2 и 3, соответственно. Коэффициент формы для частиц Al9FeNi и Mg2Si составил 0.7 и 0.8 во всех сплавах.
Рис. 3. Микроструктуры сплавов 1 (a, г), 2 (б, д) и 3 (в, е) после 6 циклов ВИК при 325 °C при анализе в (а–в) СЭМ и (г–е) ПЭМ; (г–е) – темнопольные изображения; окружностью на электронограммах (врезки) указаны рефлексы, в которых получены изображения (г–е).
На рис. 3 представлены изображения микроструктуры сплавов после 6 циклов ВИК при 325 °C. Частицы кристаллизационного происхождения фрагментировались в процессе ВИК.
Размеры частиц Al9FeNi в разных сплавах различались незначительно и составляли 0.6–0.7 мкм.
Таблица 2. Параметры структуры исследованных сплавов после ВИК
Параметр структуры | Сплав | ||
1 | 2 | 3 | |
Доля фазы Mg2Si, % | 0.5 ± 0.1 | 1.1 ± 0.1 | 2.1 ± 0.1 |
Доля фазы Al9FeNi, % | 4.5 ± 0.3 | 4.5 ± 0.3 | 4.5 ± 0.2 |
Размер частиц Mg2Si, мкм | 0.6 ± 0.1 | 0.8 ± 0.1 | 0.8 ± 0.1 |
Размер частиц Al9FeNi, мкм | 0.7 ± 0.1 | 0.6 ± 0.1 | 0.7 ± 0.1 |
Коэффициент формы частиц Mg2Si | 0.81 ± 0.05 | 0.81 ± 0.07 | 0.82 ± 0.05 |
Коэффициент формы частиц Al9FeNi | 0.71 ± 0.07 | 0.75 ± 0.06 | 0.72 ± 0.07 |
Размер зерна после ВИК, мкм | 2.4 ± 0.1 | 2.3 ± 0.1 | 1.8 ± 0.1 |
Размер субзерна после ВИК, мкм | 1.8 ± 0.1 | 1.6 ± 0.1 | 1.5 ± 0.1 |
Доля высокоугловых границ, % | 57 | 67 | 83 |
Доля рекристаллизованных зерен, % | 60 | 72 | 90 |
Размер частиц Mg2Si в исследованных сплавах составил 0.6–0.8 мкм (табл. 2). Методом просвечивающей микроскопии после ВИК в структуре были выявлены дисперсоиды фазы Al3(Sc, Zr) со структурным типом L12. Дисперсоиды во всех сплавах имели размер 13 ± 1 нм и были когерентны алюминиевой матрице, что подтверждается упорядоченным расположением сверхструктурных рефлексов на полученных электронограммах (рис. 3 г–е).
Рис. 4. Карты ДОРЭ в цветах обратной полюсной фигуры (верхний ряд) и соответствующие гистограммы распределения углов разориентировки зерен (нижний ряд) для сплава 1 (a), 2 (б) и 3 (в) после 6 циклов ВИК при 325 °C.
На рис. 4 представлены карты распределения границ зерен и ориентировки зерен для сплавов с разным соотношением Mg/Si. Зеренная структура исследуемых сплавов представлена равноосными рекристаллизованными зернами и вытянутыми зернами с высокой плотностью малоугловых границ. Доля высокоугловых границ зерен в сплавах 1, 2 и 3 составила 57, 67 и 83%, а доля рекристаллизованных зерен – 60, 72 и 90% соответственно.
Таким образом, доля рекристаллизованного объема увеличивается с увеличением содержания легирующих элементов и особенно с ростом содержания магния в сплавах с 1.2 до 2%.
Средний размер зерен/субзерен составлял 2.4 ± 0.1/1.8 ± 0.1 мкм, 2.3 ± 0.1/1.6 ± 0.1 мкм и 1.8 ± 0.1/1.5 ± 0.1 мкм в сплавах 1, 2 и 3, соответственно. Увеличение концентрации Si при постоянном Mg, а также увеличение концентрации Mg и Si при близком соотношении Mg/Si приводит к увеличению доли рекристаллизованного объема и уменьшению размера зерна после ВИК. Данный эффект может быть обусловлен большей объемной долей частиц Mg2Si, стимулирующих зародышеобразование при рекристаллизации, а также увеличением концентрации магния в твердом растворе на основе алюминия. Магний может способствовать ускорению рекристаллизации благодаря повышению плотности дислокаций при деформации, ввиду интенсификации деформационного упрочнения, обусловленного значительными различиями в атомных размерах Mg и Al [28]. Магний имеет склонность сегрегировать на границах зерен [26] и может сдерживать их рост [29, 30].
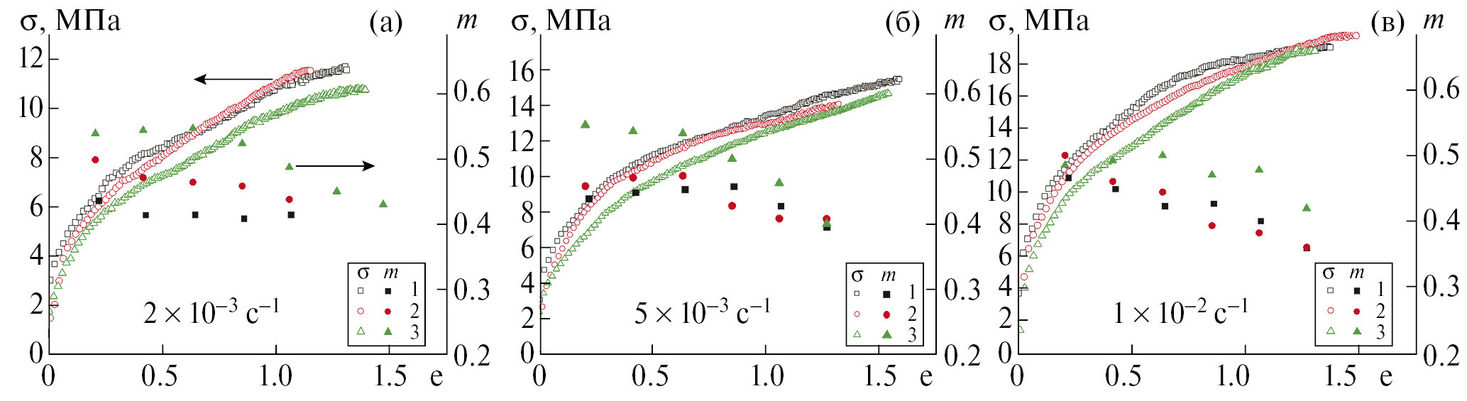
Рис. 5. Зависимости напряжения течения (линии) и показателя скоростной чувствительности напряжения течения (точки) от деформации для исследованных сплавов при температуре 480°C и скоростях деформации (a) 2×10⁻³ с⁻¹, (б) 5×10⁻³ с⁻¹ и (в) 1×10⁻² с⁻¹.
Сплавы 1, 2, и 3 после 6 циклов ВИК при 325 °C были испытаны на растяжение с постоянными скоростями деформации в интервале 2×10–3–1×10–2 с-1 и температуре 480 °C (рис. 5). Во всех сплавах наблюдали деформационное упрочнение, показатель скоростной чувствительности m снижался с 0.55–0.50 до 0.38–0.41 с увеличением деформации. Снижение m можно объяснить динамическим ростом зерна, что типично для сверхпластической деформации сплавов, особенно при повышенных температурах [31]. При этом, сплав 3 с повышенным содержанием магния до 2%, благодаря более мелкому зерну и большей доли рекристаллизованной структуры, показал несколько большие значения m при меньших значениях напряжения течения по сравнению с менее легированными сплавами. Наибольшие средние значения относительного удлинения 340–380% получены при скорости деформации 5×10⁻³ с⁻¹ (табл. 3).
Таблица 3. Показатели сверхпластичности исследованных сплавов при испытании на растяжение при 480ºС
Скорость деформации, с-1 | Сплав | |||||
1 | 2 | 3 | 1 | 2 | 3 | |
Относительное удлинение, % | Максимальное напряжение, МПа | |||||
1×10–2 | 290 ± 10 | 300 ± 40 | 300 ± 20 | 19 | 20 | 19 |
5×10–3 | 380 ± 20 | 340 ± 20 | 350 ± 30 | 16 | 16 | 16 |
2×10–3 | 300 ± 30 | 220 ± 20 | 330 ± 20 | 12 | 12 | 11 |
Отметим, что применение ВИК вместо традиционной термомеханической обработки привело к снижению напряжений течения и смене формы кривых [32]. Алюминиевые сплавы со скандием и/или цирконием и нерекристаллизованной структурой перед началом сверхпластического течения демонстрируют разупрочнение на кривых деформации в состоянии сверхпластичности, связанное с динамической рекристаллизацией и облегчением зернограничного скольжения с ростом доли высокоугловых границ зерен [33, 34]. Ковка, как и другие методы интенсивной пластической деформации, обеспечивает рекристаллизованную или практически рекристаллизованную структуру и, при этом, более мелкое зерно перед началом сверхпластического течения, в результате деформация сопровождается упрочнением, вызванным ростом зерен [35]. Хотя относительные удлинения сплава 2, подвергнутого традиционным методам термомеханической обработки, несколько выше, 400–500% [32], более высокие значения коэффициента скоростной чувствительности (0.5–0.55 против 0.45) и низкие напряжения течения на начальной стадии деформации, обеспеченные ВИК, позволят снизить разнотолщинность в деталях и снизить давление при формообразовании. Дополнительным преимуществом ВИК является возможность получать заготовки повышенной толщины с ультрамелкозернистой структурой. Улучшить показатели сверхпластичности исследуемых сплавов, вероятно, можно через применение более сложной термомеханической обработки, включающей ВИК и последующую прокатку [26].
ЗАКЛЮЧЕНИЕ
Исследована эволюция микроструктуры при ВИК и показатели сверхпластичности в сплавах системы Al–Mg–Si-Cu c разным соотношением Mg \ Si и добавками эвтектикообразующих элементов Fe и Ni и дисперсоидообразующих элементов Sc и Zr.
Показано, что в процессе ВИК происходит фрагментация частиц эвтектических фаз. При этом размер частиц фазы Al9FeNi изменился с 1.2–1.5 мкм до 0.6–0.7 мкм, а размер частиц Mg2Si c 1.7–2.1 мкм до 0.6–0.8 мкм.
Благодаря гетерогенной структуре и механизмам стимулирования зарождения рекристаллизованных зерен и сдерживания их роста в сплавах формировалась микрозеренная структура со средним размером зерна 1.8–2.4 мкм.
Показано, что увеличение концентрации Si при постоянном Mg, а также увеличение концентрации Mg и Si при близком соотношении Mg / Si приводит к увеличению доли рекристаллизованного объема с 60 до 90% и уменьшению размера зерна после всесторонней ковки. Сплавы демонстрируют удлинения 340–380% при температуре деформации 480 °С и скорости 5×10–3 с-1, при этом, благодаря более рекристаллизованной структуре с меньшим средним размером зерна сплав с повышенным содержанием магния до 2% демонстрировал наибольшие значения показателя скоростной чувствительности 0.55 и наименьшее напряжение течения.
Работа выполнена при финансовой поддержке гранта РНФ № 22–79–00253.
Авторы данной работы заявляют, что у них нет конфликта интересов.
Об авторах
А. Г. Мочуговский
НИТУ МИСиС
Автор, ответственный за переписку.
Email: mochugovskiy.ag@misis.ru
Россия, Ленинский пр-кт, 4, стр. 1, Москва, 119049
Э. У. Чуквума
НИТУ МИСиС
Email: mochugovskiy.ag@misis.ru
Россия, Ленинский пр-кт, 4, стр. 1, Москва, 119049
А. В. Михайловская
НИТУ МИСиС
Email: mochugovskiy.ag@misis.ru
Россия, Ленинский пр-кт, 4, стр. 1, Москва, 119049
Список литературы
- Staab T.E.M., Krause-Rehberg R., Hornauer U., Zschech E. Study of Artificial Aging in AlMgSi (6061) and AlMgSiCu (6013) Alloys by Positron Annihilation // J. Mater. Sci. 2006. V. 41. P. 1059–1066.
- Krishna Pal Singh Chauhan. Influence of Heat Treatment on the Mechanical Properties of Aluminium Alloys (6xxx Series): A Literature Review // Int. J. Eng. Res. 2017. V. 6. P. 386–289.
- Chakrabarti D.J., Peng Y., Laughlin D.E. Precipitation in Al-Mg-Si Alloys with Cu Additions and the Role of the Q’ and Related Phases // Mater. Sci. Forum. 2002. V. 396–402. P. 857–862.
- Aoba T., Kobayashi M., Miura H. Effects of Aging on Mechanical Properties and Microstructure of Multi-Directionally Forged 7075 Aluminum Alloy // Mater. Sci. Eng. A. 2017. V. 700. P. 220–225.
- Avtokratova E., Sitdikov O., Markushev M., Mulyukov R. Extraordinary High-Strain Rate Superplasticity of Severely Deformed Al–Mg–Sc–Zr Alloy // Mater. Sci. Eng. A. 2012. V. 538. P. 386–390.
- Маркушев М. О принципах деформационных методов измельчения зерен алюминиевых сплавов до ультрамелких размеров. Ч. 2. Ультрамелкозернистые сплавы // ФММ. 2009. T. 108. С. 169–179.
- Zherebtsov S., Salishchev G., Łojkowski W. Strengthening of a Ti-6Al-4V Titanium Alloy by Means of Hydrostatic Extrusion and Other Methods // Mater. Sci. Eng. A. 2009. V. 515. P. 43–48.
- Armstrong P.E., Hockett J.E., Sherby O.D. Large Strain Multidirectional Deformation of 1100 Aluminum at 300 K // J. Mech. Phys. Solids. 1982. V. 30. P. 37–58.
- Rao P.N., Singh D., Jayaganthan R. Mechanical Properties and Microstructural Evolution of Al 6061 Alloy Processed by Multidirectional Forging at Liquid Nitrogen Temperature // Mater. Des. 2014. V. 56. P. 97–104.
- Кищик М.С., Котов А.Д., Демин Д.О., Кищик А.А., Аксенов С.А., Михайловская А.В. Влияние режимов всесторонней изотермической ковки на деформационное поведение и микроструктуру сплава на основе системы Al–Mg // ФММ. 2020. T. 121. C. 659–666.
- Кищик А.А., Кищик М.С., Котов А.Д., Михайловская А.В. Влияние всесторонней ковки на микроструктуру и механические свойства сплава системы Al–Mg–Mn–Cr // ФММ. 2020. T. 121. C. 543–549.
- Zhu Q., Li L., Ban C., Zhao Z., Zuo Y., Cui J. Structure Uniformity and Limits of Grain Refinement of High Purity Aluminum during Multi-Directional Forging Process at Room Temperature // Trans. Nonferrous Met. Soc. China. 2014. V. 24. P. 1301–1306.
- Ситдиков О.Ш., Автократова Е.В., Мухаметдинова О.Э., Гарипова Р.Н., Маркушев М.В. Влияние размера выделений Al3(Sc, Zr) на струкутру всесторонне изотермически кованого Al-Mg-Sc-Zr сплава // Физика металлов и металловедение. 2017. T. 118. C. 1290–1299.
- Sitdikov O., Garipova R., Avtokratova E., Mukhametdinova O., Markushev M. Effect of Temperature of Isothermal Multidirectional Forging on Microstructure Development in the Al-Mg Alloy with Nano-Size Aluminides of Sc and Zr // J. Alloys Compd. 2018. V. 746. P. 520–531.
- Li J., Liu J., Cui Z. Microstructures and Mechanical Properties of AZ61 Magnesium Alloy after Isothermal Multidirectional Forging with Increasing Strain Rate // Mater. Sci. Eng. A. 2015. V. 643. P. 32–36.
- Padap A.K., Chaudhari G.P., Nath S.K., Pancholi V. Ultrafine-Grained Steel Fabricated Using Warm Multiaxial Forging: Microstructure and Mechanical Properties // Mater. Sci. Eng. A. 2009. V. 527. P. 110–117.
- Estrin Y., Vinogradov A. Extreme Grain Refinement by Severe Plastic Deformation: A Wealth of Challenging Science // Acta Mater. 2013. V. 61. P. 782–817.
- Sakai T., Belyakov A., Kaibyshev R., Miura H., Jonas J.J. Dynamic and Post-Dynamic Recrystallization under Hot, Cold and Severe Plastic Deformation Conditions // Prog. Mater. Sci. 2014. V. 60. P. 130–207.
- Портной В.К. Роль Оптимизации Гетерогенности в Подготовке Ультрамелкозернистой Структуры Сверхпластичных Сплавов // Изв. ВУЗов. Цветная металлургия. 1985. T. 1. C. 93–107.
- Маркушев М. О принципах деформационных методов измельчения зерен алюминиевых сплавов до ультрамелких размеров. Ч. 1. Мелкозернистые сплавы // ФММ. 2009. T. 108. C. 46–53.
- Mikhaylovskaya A.V., Esmaeili Ghayoumabadi M., Mochugovskiy A.G. Superplasticity and Mechanical Properties of Al–Mg–Si Alloy Doped with Eutectic-Forming Ni and Fe, and Dispersoid-Forming Sc and Zr Elements // Mater. Sci. Eng. A. 2021. V. 817. P. 141319.
- Mochugovskiy A., Kotov A., Mikhaylovskaya A., Ghayoumabadi M.E., Yakovtseva O. A High-Strain-Rate Superplasticity of the Al-Mg-Si-Zr-Sc Alloy with Ni Addition // Materials (Basel). 2021. V. 14. P. 2028.
- Huang Y., Humphreys F.J. The Effect of Solutes on Grain Boundary Mobility during Recrystallization and Grain Growth in Some Single-Phase Aluminium Alloys // Mater. Chem. Phys. 2012. V. 132. P. 166–174.
- Kotov A.D., Mochugovskiy A.G., Mosleh A.O., Kishchik A.A., Rofman O.V., Mikhaylovskaya A.V. Microstructure, Superplasticity, and Mechanical Properties of Al–Mg–Er–Zr Alloys // Mater. Charact. 2022. V. 186. P. 111825.
- Котов А.Д., Михайловская А.В., Портной В.К. Влияние состава твердого раствора на показатели сверхпластичности сплавов системы Al–Zn–Mg–Cu–Ni–Zr // ФММ. 2014. V. 115. P. 778.
- Li L., Tang J., Liu Z., Wang Y., Jiang Y., Sha G. Micro-Alloying Effects of Ni on the Microstructure and Mechanical Properties of an Al–Zn–Mg–Cu–Sc–Zr Alloy // J. Alloys Compd. 2023. V. 947. P. 169667.
- Kharakterova M.L., Eskin D.G., Toropova L.S. Precipitation Hardening in Ternary Alloys of the Al-Sc-Cu and Al-Sc-Si Systems // Acta Metall. Mater. 1994. V. 42. P. 2285–2290.
- Zolotorevsky N.Y., Solonin A.N., Churyumov A.Y., Zolotorevsky V.S. Study of Work Hardening of Quenched and Naturally Aged Al–Mg and Al–Cu Alloys // Mater. Sci. Eng. A. 2009. V. 502. P. 111–117.
- Sauvage X., Enikeev N., Valiev R., Nasedkina Y., Murashkin M. Atomic-Scale Analysis of the Segregation and Precipitation Mechanisms in a Severely Deformed Al–Mg Alloy // Acta Mater. 2014. V. 72. P. 125–136.
- Zha M., Zhang H., Jia H., Gao Y., Jin S., Sha G., Bjørge R., Mathiesen R.H., Roven H.J., Wang H., Li Y. Prominent Role of Multi-Scale Microstructural Heterogeneities on Superplastic Deformation of a High Solid Solution Al-7Mg Alloy // Int. J. Plast. 2021. V. 146. P. 103108.
- Liang N., Zhao Y. A Review on Thermal Stability of Nanostructured Materials // J. Alloys Compd. 2023. V. 938. P. 168528.
- Mochugovskiy A.G., Mosleh A.O., Kotov A.D., Khokhlov A.V., Kaplanskaya L.Y., Mikhaylovskaya A.V. Microstructure Evolution, Constitutive Modelling, and Superplastic Forming of Experimental 6XXX-Type Alloys Processed with Different Thermomechanical Treatments // Materials (Basel). 2023. V. 16. P. 445.
- Kishchik A.A., Mikhaylovskaya A.V., Kotov A.D., Rofman O.V., Portnoy V.K. Al-Mg-Fe-Ni Based Alloy for High Strain Rate Superplastic Forming // Mater. Sci. Eng. A. 2018. V. 718. P. 190–197.
- Kotov A.D., Mikhaylovskaya A.V., Kishchik M.S., Tsarkov A.A., Aksenov S.A., Portnoy V.K. Superplasticity of High-Strength Al-Based Alloys Produced by Thermomechanical Treatment // J. Alloys Compd. 2016. V. 688. P. 336–344.
- Sotoudeh K., Bate P.S. Diffusion Creep and Superplasticity in Aluminium Alloys // Acta Mater. 2010. V. 58. P. 1909–1920.
Дополнительные файлы







