Thermal Physical Properties of Metals in a Quasi-Two-Phase Model
- Authors: Terekhov S.V.1
-
Affiliations:
- Galkin Donetsk Institute for Physics and Engineering
- Issue: Vol 124, No 12 (2023)
- Pages: 1261-1270
- Section: СТРУКТУРА, ФАЗОВЫЕ ПРЕВРАЩЕНИЯ И ДИФФУЗИЯ
- URL: https://bakhtiniada.ru/0015-3230/article/view/232742
- DOI: https://doi.org/10.31857/S0015323023601666
- EDN: https://elibrary.ru/ZHWYVT
- ID: 232742
Cite item
Full Text
Abstract
Abstract
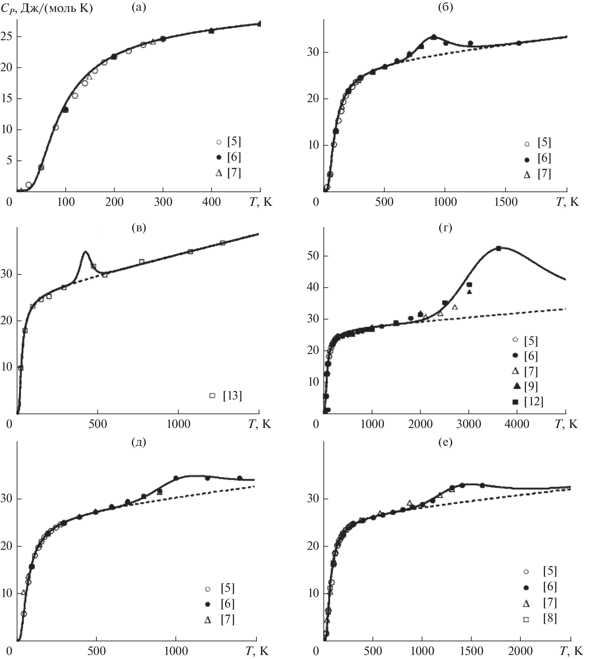
—The applicability of the model of a two-phase locally equilibrium region for calculating the temperature dependences of heat capacities, linear thermal expansion coefficients, and thermal diffusivities of various metals is demonstrated. It is shown that the proposed relations make it possible to describe the increase in the thermal characteristic with increasing temperature and its changes associated with the implementation of the phase transition. The possibility of extrapolating the established dependences to experimentally unexplored areas is indicated. The relative simplicity of the established relationships, a certain universality of the model in describing various solids, and the visibility of the theoretical results obtained give hope for the use of the model in engineering and technical calculations.
Keywords
About the authors
S. V. Terekhov
Galkin Donetsk Institute for Physics and Engineering
Author for correspondence.
Email: svlter@yandex.ru
Russia, 283048, Donetsk
References
- Памятных Е.А. Электронные квантовые волны в металлических нанопроволоках // ФММ. 2020. Т. 121. № 5. С. 451–453.
- Ганиев И.Н., Норова М.Т., Эшов Б.Б., Иброхимов Н.Ф., Иброхимов С.Ж. Влияние добавок скандия на температурную зависимость теплоемкости и термодинамических функций алюминиево-магниевых сплавов // ФММ. 2020. Т. 121. № 1. С. 25–31.
- Порсев В.Е., Ульянов А.Л., Дорофеев Г.А. Эволюция ближнего порядка в нанокристаллических механоактивированных сплавах Fe–Cr в процессе отжига // ФММ. 2020. Т. 121. № 8. С. 862–869.
- Воскобойников Р.Е. Моделирование первичных радиационных повреждений в никеле // ФММ. 2020. Т. 121. № 1. С. 18–24.
- Новицкий Л.А., Кожевников И.Г. Теплофизические свойства материалов при низких температурах. Справочник. М.: Машиностроение, 1975. 216 с.
- Зиновьев В.Е. Теплофизические свойства металлов при высоких температурах. М.: Металлургия, 1989. 384 с.
- Лариков Л.Н., Юрченко Ю.Ф. Структура и свойства металлов и сплавов. Тепловые свойства металлов и сплавов. Киев: Наукова думка, 1985. 437 с.
- Giauque W.F., Meads P.F. The heat capacities and entropies of aluminum and copper from 15 to 300 K // J. Amer. Chem. Soc. 1941. V. 63. № 7. P. 1897–1901.
- Дорогокупец П.И., Соколова Т.С., Данилов Б.С., Литасов К.Д. Почти абсолютные уравнения состояния алмаза, Ag, Al, Au, Cu, Mo, Nb, Pt, Ta, W для квазигидростатических условий // Геодинамика и тектонофизика. 2012. Т. 3. № 2. С. 129–166.
- Новикова С.И. Тепловое расширение твердых тел. М.: Наука, 1974. 292 с.
- Казанцев Е.И. Промышленные печи. Справочное руководство для расчетов и проектирования. М.: Металлургия, 1975. 367 с.
- Бодряков В.Ю. О корреляции температурных зависимостей теплового расширения и теплоемкости вплоть до точки плавления тугоплавкого металла: вольфрам // Теплофиз. высок. температур. 2015. Т. 53. № 5. С. 676.
- Свойства элементов. Справочник. М.Е. Дриц (ред.). М.: Металлургия, 1985. 671 с.
- Gopal E.S.R. Specific heats at low temperatures. New York: Plenum Press. 1966. 240 p.
- Бубнова Р.С., Филатов С.К. Терморентгенография поликристаллов. Часть II. Определение количественных характеристик тензора термического расширения. Санкт-Петербург: С.-Пб. гос. ун-т, 2013. 142 с.
- Desai P.D. Thermodynamic properties of iron and silicon // J. Phys. Chem. Ref. Data. 1986. V. 15. № 3. P. 967–983.
- Stølen S., Grande T. Chemical thermodynamics of materials: macroscopic and microscopic aspects. Chichester West Sussex: John Wiley & Sons Ltd, The Atrium. 2004. 396 p.
- Barron T.H.K., White G.K. Heat capacity and thermal expansion at low temperatures. New York: Springer Science + Business Media, LLC. 1999. 338 p.
- Li Z., Mao H., Selleby M. Thermodynamic modeling of pure Co accounting two magnetic states for the fcc phase // J. Phase Equil. Diffusion. 2018. № 39. P. 502–509.
- Ходаковский И.Л. О новых полуэмпирических уравнениях температурной зависимости теплоемкости и объемного коэффициента термического расширения минералов // Вестник ОНЗ РАН. 2012. Т. 4. NZ9001.
- Денисова Л.Т., Каргин Ю.Ф., Иртюго Л.А., Белоусова Н.В., Белецкий В.В., Денисов В.М. Теплоемкость In2Ge2O7 и YInGe2O7 в области температур 320–1000 K // Неорганич. материалы. 2018. Т. 54. № 12. С. 1315–1320.
- Терехов С.В. Термодинамическая модель размытого фазового перехода в металлическом стекле Fe40Ni40P14B6 // Физ. и техн. высоких давлений. 2018. Т. 28. № 1. С. 54–61.
- Терехов С.В. Моно- и мультистадийная кристаллизация аморфных сплавов // ФММ. 2020. Т. 121. № 7. С. 731–736.
- Терехов С.В. Тепловые свойства вещества в рамках модели двухфазной системы // ФТТ. 2022. Т. 64. № 8. С. 1077–1083.
- Терехов С.В. Размытый фазовый переход и теплоемкость твердого тела // Физ. и техн. высок. давлений. 2022. Т. 32. № 2. С. 36–51.
- Кубо Р. Термодинамика. М.: Мир, 1970. 304 с.
- Kингери У.Д. Введение в керамику. М.: Стройиздат, 1967. 499 с.
- Чертов А.Г. Единицы физических величин. М.: Высш. школа, 1977. 287 с.
- Шелудяк Ю.Е., Кашпоров Л.Я., Малинин Л.А., Цалков В.Н. Теплофизические свойства компонентов горючих систем / Справочник под ред. Н.А. Силина. М.: НПО “Информация и технико-экономические исследования”, 1992. 184 с.
- Физические величины. Справочник / А.П. Бабичев, Н.А. Бабушкина, А.М. Братковский и др. / Под. ред. И.С. Григорьева, Е.3. Мейлихова. М.: Энергоатомиздат, 1991. 1232 с.
- Терехов С.В. Влияние фазовых переходов на температурные зависимости тепловых свойств вещества // Физ. и техн. высоких давлений. 2022. Т. 32. № 4. С. 41–50.
- Терехов С.В. Теплоемкость и тепловое расширение вещества / Справочник. Донецк: ДонФТИ им. А.А. Галкина, 2022. 168 с.
Supplementary files





