Determination of the Boundaries of Region of Metastable ω-Phase in Titanium and Zirconium Alloys
- Authors: Dobromyslov A.V.1
-
Affiliations:
- Mikheev Institute of Metal Physics, Ural Branch, Russian Academy of Sciences
- Issue: Vol 124, No 12 (2023)
- Pages: 1220-1229
- Section: СТРУКТУРА, ФАЗОВЫЕ ПРЕВРАЩЕНИЯ И ДИФФУЗИЯ
- URL: https://bakhtiniada.ru/0015-3230/article/view/232732
- DOI: https://doi.org/10.31857/S0015323022601775
- EDN: https://elibrary.ru/YDAOOE
- ID: 232732
Cite item
Full Text
Abstract
Abstract—
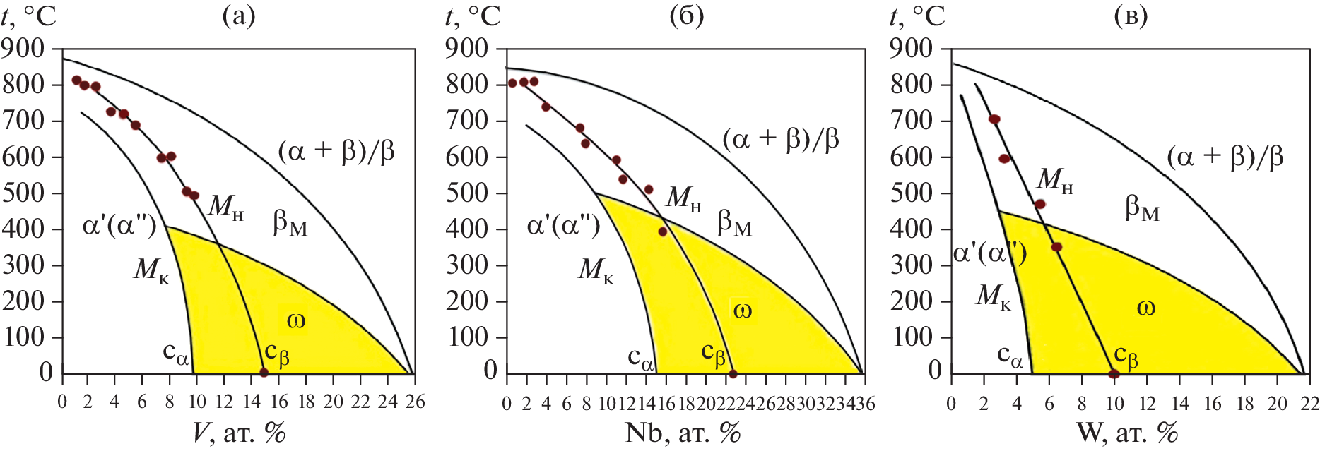
The concentration boundary of the formation of the ω-phase in binary titanium alloys with d-metals of 4−11 groups of 4−6 periods were studied by X-ray diffraction analysis. It is established that the ω-phase is formed in all the alloys studied, with the exception of Ti−Zr alloys. It is shown that the minimum concentration limit of the formation of the ω-phase is determined by the position of the curve of the end of the martensitic β → \(\alpha {\kern 1pt} '\)(\(\alpha {\kern 1pt} ''\)) transformation (Mf). For most of the studied titanium alloys, concentrations were determined at which the Ms and Mf points correspond to a temperature of 20°C. The conditions for the formation of the ω-phase in titanium alloys were compared with the conditions for its formation in zirconium alloys.
About the authors
A. V. Dobromyslov
Mikheev Institute of Metal Physics, Ural Branch, Russian Academy of Sciences
Author for correspondence.
Email: Dobromyslov2011@mail.ru
Russia, 620108, Ekaterinburg
References
- Носова Г.И. Фазовые превращения в сплавах титана. М.: Металлургия, 1968. 180 с.
- Цвиккер У. Титан и его сплавы / Пер. с нем. М.: Металлургия, 1979. 511 с.
- Коллингз Е.В. Физическое металловедение титановых сплавов. М.: Металлургия, 1988. 224 с.
- Lutjering G., Williams J.C. Titanium. Berlin: Springer, 2003. 442 p.
- Ильин А.А. Механизм и кинетика фазовых и структурных превращений в титановых сплавах. М.: Наука, 1994. 304 с.
- Sikka S.K., Vohra Y.K., Chidambaram R. Omega phase in materials // Progr. Mater. Sci. 1982. V. 27. P. 245–310.
- Добромыслов А.В., Талуц Н.И. Структура циркония и его сплавов. Екатеринбург: УрО РАН, 1997. 228 с.
- Dobromyslov A.V. General Regularities of Formation of the omega-phase in Binary Titanium-base Alloys with Metals of IV-VIII, I Groups of the Periodic Table // Proceeding of the 12 th World conference on titanium. V. I. 2012. P. 410–414.
- Багаряцкий Ю.А., Тагунова Т.В., Носова Г.И. Метастабильные фазы в сплавах титана с переходными элементами / Проблемы металловедения и физики металлов. М.: Металлургиздат, 1958. С. 210–234.
- Hickman B.S. The formation of omega phase in titanium and zirconium alloys: a review // J. Mater. Sci. 1969. V. 4. P. 554–563.
- Williams J.C., de Fontaine D., Paton N.E. The ω-phase as an example of an unusual shear transformation // Met. Trans. 1973. V. 4. № 12. P. 2701–2708.
- Luke C.A., Taggart R., Polonis D.H. The metastable constitution of quenched titanium and zirconium-base binary alloys // Trans. ASM. 1964. V. 57. P. 142–149.
- Агеев Н.В., Петрова Л.А. Общие закономерности стабилизации твердого раствора в сплавах титана // Доклады АН СССР. 1961. Т. 138. С. 359–360.
- Носова Г.И., Лясоцкий И.В., Дьяконова Н.Б. Метастабильные фазы электронного типа в титановых сплавах с 3d-металлами // МиТОМ. 2006. Т. 48. № 10. С. 3–9.
- Багаряцкий Ю.А., Носова Г.И., Тагунова Т.В. О кристаллической структуре и природе ω-фазы в сплавах титана с хромом // ДАН СССР. 1955. Т. 105. № 6. С. 1225–1228.
- Banerjee S., Mukhopadhyay P. Phase transformations: examples from titanium and zirconium alloys / Pergamon Materials series. V. 12. Elsevier Science, 2007. 837 p.
- Илларионов А.Г., Попов А.А., Гриб С.В., Елкина О.А. Особенности формирования омега фазы в сплавах титана при закалке // МиТОМ. 2010. № 10. С. 39−44.
- Федотов С.Г. Метастабильные фазы в сплавах титана, механизм и кинетика их образования / Исследования металлов в жидком и твердом состояниях. М.: Наука, 1964. С. 207−238.
- Tane M., Nishiyama H., Umeda A., Okamoto N., Inoue K., Luckabauer M., Nagai Y., Sekino T., Nakano T., Ichitsubo T. Diffusionless isothermal omega transformation in titanium alloys driven by quenched-in compositional fluctuations // Physical Review Materials. 2019. V. 3. P. 043604.
- Tong L., Kent D., Sha G., Stephenson L.T., Ceguerra A.V., Ringer S.P., Dargusch M.S., Cairney J.M. New insights into the phase transformations to isothermal ω and ω-assisted α in near β-Ti alloys // Acta Mater. 2016. V. 106. P. 353–366.
- Hickman B.S. Omega phase precipitation in alloys of titanium with transition metals // Trans. AIME. 1969. V. 245. P. 1329–1336.
- Perkins A.J., Yaffe P.E., Hehemann R.F. The isothermal omega transformation in zirconium–niobium alloys // Metallography. 1971. V. 4. № 4. P. 303–323.
- Vanderpuye N.A., Miedownic A.P. The stability of the omega phase in titanium and zirconium alloys / The Science, Technology and Application of Titanium. New York: Pergamon Press, 1970. P. 719−729.
- Dobromyslov A.V., Elkin V.A. Martensitic transformation and metastable beta-phase in binary titanium alloys with d-metals of 4-6 periods // Scripta Met. 1997. V. 44. № 6. P. 905−910.
- Ageev N.V., Guseva L.N., Dolinskaya L.K. Metastable phases in quenched titanium-molybdenum and titanium-vanadium alloys and the effect of small oxygen admixtures on them // Izv. Vuzov. Metally. 1975. № 4. 151–156.
- Menon E.S.K., Krishnan R. Phase transformations in Ti−V alloys: Part 2 α and ω formation // J. Mat. Sci. 1983. V. 18. № 2. P. 375–382.
- Murray J.L. The Cr–Ti (Chromium-titanium) system // Bulletin of alloys phase diagrams. 1981. V. 2. P. 173−180.
- Murray J.L. The Mn−Ti (Manganese-Titanium) system // Bulletin of Alloy Phase Diagrams. 1981. V. 2. P. 334–343.
- Борок Б.А., Новикова Е.К., Голубева Л.С., Щеголева Р.П. и др. Дилатометрические исследования двойных титановых сплавов // МиТОМ. 1963. № 2. С. 32−36.
- Barton J.W., Purdy G.R., Taggart R., Gordon J., Parr J.G. Structure and properties of titanium-reach Ti−Ni alloys // Trans. AIME. 1960. V. 218. № 5. P. 844−849.
- Bhaskaran T.A., Seshadri R., Krishnan R.V. Microstructural study of rapidly solidified titanium eutectoid alloys // Mat. Sci. Engin. 1988. V. 98. P. 251–255.
- Hatt B.A., Rivlin V.G. Phase transformations in superconducting Ti−Nb alloys // Brit. J. Appl. Phys. (J. Phys. D). 1968. V. 1. № 9. P. 1145–1149.
- Miyagi M., Shin Sh. Isothermal Transformation Characteristic of Metastable Beta-type Titanium Alloys // J. Jap. Inst. Metals. 1971. V. 35. P. 716–722.
- Добромыслов А.В., Талуц Н.И. Структура закаленных сплавов системы Ti–Ru // ФММ. 2018. Т. 119. № 3. С. 285–295.
- Aurelio G., Guilllermet A.F., Cuello G.J., Campo J. Metastable phases in the Ti–V system: Part I. Neutron diffraction study and assessment of structural properties // Metall. Mat. Trans. A. 2002. V. 33A. P. 1307–1317.
- Guseva L.N., Égiz L.V. Metastable diagram of high–purity Ti−Mo alloys // Metals Science and Heat Treatment. 1974. № 4. P. 71−72.
- Багаряцкий Ю.А., Носова Г.И. Превращение β → ω в титановых сплавах при закалке –мартенситное превращение особого рода // ФММ. 1962. Т. 13. Вып. 3. С. 415−425.
- Bin Tang, Cui Y.-W., Hui Chang, Hongchao Kou, Jinshan Li, Lian Zhou. A phase-field approach to athermal β → ω transformation // Computational Materials Science. 2012. V. 53. P. 187–193.
- Fan Z., Miodownik A.P. Microstrutural evolution in rapidly solidified Ti–7.5 Mn–0.5 B alloy // Acta mater. 1996. V. 44. № 1. P. 93−110.
- Moffat D.L., Cattner U.R. The stable and metastable Ti−Nb phase diagrams // Met. Trans. A. 1988. V. 19A. № 7. P. 2389−2397.
- Добромыслов А.В. Бейнитные превращения в титановых сплавах // ФММ. 2021. Т. 122. № 3. С. 255−284.
- Добромыслов А.В., Долгих Г.В., Дуткевич Я., Треногина Т.Л. Фазовые и структурные превращения в сплавах системы титан−тантал // ФММ. 2009. Т. 107. № 5. С. 539−548.
- Bywater K.A., Christian J.W. Martensitic Transformations in Titanium-Tantalum Alloy // Phil. Mag. 1972. V. 25. № 6. P. 1249−1273.
- Cotton J.D., Bingert J.F., Dunn P.S., Patterson R.A. Microstructure and mechanical properties of Ti−40 wt. pct Ta (Ti−15 at. pct Ta) // Met. Mat. Trans. A. 1994. V. 25. P. 461–472.
- Moffat D.L., Larbalestier D.C. The competition between martensite and omega in quenched Ti−Nb alloys // Met. Trans. A. 1988. V. 19A. № 7. P. 1677−1686.
- Bonisch M., Calin M., Waitz T., Panigrahi A., Zehetbauer M., Gebert A., Skrotzki W., Eckert J. Thermal stability and phase transformations of martensitic Ti–Nb alloys // Sci. Technol. Adv. Mater. 2013. V. 14. P. 055004.
- Duwez P. Effect of rate of cooling on the alpha-beta transformation in titanium and titanium–molybdenum alloys // JOM. 1951. V. 3. P. 765–771.
- Devaraj A., Williams R.E.A., Nag S., Srinivasan R., Fraser H.L., Banerjee R. Three-dimensional morphology and composition of omega precipitates in a binary titanium–molybdenum alloy// Scripta Mat. 2009. V. 61. P. 701–704.
- Dobromyslov A.V., Elkin V.A. β → and β → ω transformations in Ti−Os alloys // Met. Trans. 1999. V. 30A. P. 231–233.
- Frost P.D., Parris W.M., Hirsh L.L., Diog J.R., Schwartz C.M. Isothermal transformation of titanium-chromium alloys // Trans. Am. Soc. Met. 1954. V. 46. P. 231–256.
- Zhang X.F., Kim K.B., Yi S. Effect of martensitic ω-phase on mechanical properties of Ti 100–xCox alloys with x = 5, 7 and 9 // Intermetallics. 2010. V. 18. P. 725–729.
- Stewart D., Hatt B.A., Roberts J.A. High-speed thermal analysis of Zr−Nb alloys // Brit. J. Appl. Phys. 1965. V. 16. № 8. P. 1081−1088.
- Higgins G.T., Banks E.E. The martensite start temperature in dilute zirconium−niobium alloys // Brit. J. Appl. Phys. 1966. V. 17. № 2. P. 283−284.
- Дуглас Д. Металловедение циркония. М.: Атомиздат, 1979. 360 с.
- Добромыслов А.В., Талуц Н.И., Казанцева Н.В. Структура закаленных сплавов системы Zr−V // ФММ. 1992. № 9. С. 50−56.
- Dobromyslov A.V., Taluts N.I., Kazantseva N.V. Metastable eutectoid decomposition in Zr−V alloys // Scripta Met. at Mater. 1995. V. 32. № 5. P. 719−724.
- Arias D., Abriata J.P. The Cr−Zr (Chromium-Zirconium) system // Bulletin of Alloy Phase Diagrams. 1986. V. 7. № 3. P. 237−243.
- Dobromyslov A.V., Kazantseva N.V. Formation of omega-phase in Zr−4 at % Cr alloy // Scripta Met. 1996. V. 35. № 76. P. 811−815.
- Dobromyslov A.V., Kazantseva N.V. Formation of metastable ω-phase in Zr−Fe, Zr−Co, Zr−Ni, and Zr−Cu alloys // Scripta Mater. 1997. V. 37. № 5. P. 615−620.
- Srivastava D., Mukhopadhyay P., Ramadasan E., Banerjee S. Unusual morphology of the omega phase in a Zr−1.75 at. pct Ni alloy // Met. Trans. A. 1993. V. 24A. № 2. P. 495−501.
- Couterne A., Cizeron G., Lacombe P. Evolution structurale, au cours de trempes ou de revenus, d′alliages zirconium-cuivre a teneur en cuivre inferieure a 5% pds // J. Nucl. Mater. 1968. V. 27. P. 121–136.
- Aurello G., Guillermet A.F., Cuello G.J., Campo J. Structural properties and stability of metastable phases in the Zr–Nb System: Part I. Systematics of quenching and aging experiments // Met. Mat. Trans. A. 2001. V. 32A. P. 1903−1910.
- Nishimura K., Hanada S., Izumi O. Tensile properties and plastic deformation modes of Zr−Nb alloys // J. Mat. Sci. 1990. V. 25. P. 384−390.
- Добромыслов А.В., Талуц Н.И. Электронно-микроскопическое исследование структуры сплавов системы Zr−Mo // ФММ. 1990. № 12. С. 72−80.
- Добромыслов А.В., Талуц Н.И. Образование -фазы в системе Zr−Mo // ФММ. 1993. Т. 76. Вып. 5. С. 132−140.
- Domagala R.F., Levinson D.W., McPherson D.J. Transformation kinetics and mechanical properties of Zr−Mo alloys // Trans. AIME. 1957. P. 1191−1196.
- Taluts N.I., Dobromyslov A.V., Elkin V.A. Structural and phase transformations in quenched and aged Zr−Ru alloys // J. of Alloys and Comp. 1999. V. 282. P. 187−196.
- Zegler S.T. Superconductivity in zirconium−rhodium alloys // J. Phys. Chem. Solids. 1965. V. 26. № 8. P. 1347−1349.
- Добромыслов А.В., Талуц Н.И. Структура закаленных сплавов системы Zr−Rh // ФММ. 1997. Т. 83. Вып. 6. С. 73−82.
- Anderko K. Konstitution von Zirkonium-Palladium-Legierungen // Z. Metallkunde. 1959. Bd. 50. H. 12. S. 681−686.
- Талуц Н.И., Добромыслов А.В. Структура закаленных сплавов системы Zr−Pd и закономерности образования ω-фазы в циркониевых сплавах // ФММ. 2007. Т. 104. № 6. С. 624−633.
- Добромыслов А.В., Талуц Н.И., Егоров А.П. Образование орторомбической -фазы в сплавах системы Zr−Ta // ФММ. 1996. Т. 82. Вып. 1. С. 128−133.
- Dobromyslov A.V., Taluts N.I. The formation of ‑phase in Zr−Re alloys // Scripta Mater. 1996. V. 35. № 5. P. 573−577.
- Taluts N.I., Dobromyslov A.V. Structural and phase transformations in quenched and aged Zr−Os alloys // J. of Alloys and Comp. 2000. V. 298. P. 181−189.
- Taluts N.I., Dobromyslov A.V. Structural and phase transformations in quenched and aged Zr−Ir alloys // J. of Alloys and Comp. 2000. V. 305. P. 194−201.
- Талуц Н.И., Добромыслов А.В. Структура закаленных сплавов системы Zr−Pt // ФММ. 2003. Т. 95. № 1. С. 55−62.
- Талуц Н.И. Закономерности структурных и фазовых превращений в цирконии и его сплавах с переходными металлами IV−VIII-групп периодической системы элементов. Екатеринбург: ИФМ УрО РАН, 2006. 306 с. (докторская диссертация).
- Stewart D., Hatt B.A., Roberts J.A. The martensite start temperature in dilute zirconium−niobium alloys // Brit. J. Appl. Phys. 1966. V. 17. № 2. P. 284−285.
- Гриднев В.И., Трефилов В.И., Минаков В.Н. Мартенситные превращения в системе титан−цирконий // ДАН СССР. 1960. Т. 134. С. 1334−1336.



