Relaxation Annealing Influence on the Magnetic Properties and Magnetic Impedance of Amorphous Co-Based Wires
- Authors: Bukreev D.A.1, Derevyanko M.S.1, Moiseev A.A.1, Kurlyandskaya G.V.2, Semirov A.V.1
-
Affiliations:
- Irkutsk State University
- Ural Federal University Named after the First President of Russia B.N. Yeltsin
- Issue: Vol 124, No 12 (2023)
- Pages: 1159-1164
- Section: ЭЛЕКТРИЧЕСКИЕ И МАГНИТНЫЕ СВОЙСТВА
- URL: https://bakhtiniada.ru/0015-3230/article/view/232725
- DOI: https://doi.org/10.31857/S0015323023601204
- EDN: https://elibrary.ru/CKTXDB
- ID: 232725
Cite item
Full Text
Abstract
Abstract—
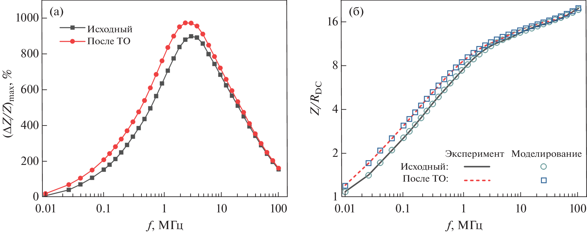
The results of a study of the influence of the 2 hours relaxation annealing at a temperature of 620 K on the magnetoimpedance effect (MI) in amorphous Co66Fe4Nb2.5Si12.5B15 wires are presented. It was found that MI at low ac frequencies after heat treatment increases noticeably, while it changes slightly at high frequencies. Using magneto-impedance tomography, it is shown that this is due to the fact that the changes in magnetic properties caused by heat treatment are not the same in different regions of the wire. Thus, in the surface region with a thickness of about 2.5 μm, the magnetic permeability remains almost unchanged, but in the internal regions it increases significantly after annealing.
About the authors
D. A. Bukreev
Irkutsk State University
Author for correspondence.
Email: da.bukreev@gmail.com
Russia, 664003, Irkutsk
M. S. Derevyanko
Irkutsk State University
Email: da.bukreev@gmail.com
Russia, 664003, Irkutsk
A. A. Moiseev
Irkutsk State University
Email: da.bukreev@gmail.com
Russia, 664003, Irkutsk
G. V. Kurlyandskaya
Ural Federal University Named after the First President of Russia B.N. Yeltsin
Email: da.bukreev@gmail.com
Russia, 620102, Ekaterinburg
A. V. Semirov
Irkutsk State University
Email: da.bukreev@gmail.com
Russia, 664003, Irkutsk
References
- Beach R.S., Berkowitz A.E. Giant magnetic field dependent impedance of amorphous FeCoSiB wire // Appl. Phys. Lett. 1994. V. 64. P. 3652–3654.
- Gudoshnikov S., Tarasov V., Liubimov B., Odintsov V., Venediktov S., Nozdrin A. Scanning magnetic microscope based on magnetoimpedance sensor for measuring of local magnetic fields // JMMM. 2020. V. 510. P. 166 938.
- Makhotkin V.E., Shurukhin B.P., Lopatin V.A., Marchukov P.Yu., Levin Yu.K. Magnetic field sensors based on amorphous ribbons // Sens Actuators A. Phys. 1991. V. 27. P. 759–762.
- Uchiyama T., Ma J. Development of pico tesla resolution amorphous wire magneto-impedance sensor for bio-magnetic field measurements // JMMM. 2020. V. 514. P. 167 t148.
- Kumar A., Mohapatra S., Fal-Miyar V., Cerdeira A., García J.A., Srikanth H., Gass J., Kurlyandskaya G.V. Magnetoimpedance biosensor for Fe3O4 nanoparticle intracellular uptake evaluation // Appl. Phys. Lett. 2007. V. 91. P. 143 902.
- Ландау Л.Д., Лифшиц Е.М. Электродинамика сплошных сред. М.: Наука, 1982. 621 с.
- Kekalo I.B., Lubyanyi D.Z., Mogil’nikov P.S., Chichibaba I.A. Processes of structural relaxation in the amorphous alloy Co69Fe3.7Cr3.8Si12.5B11 with a near-zero magnetostriction and their effect on the magnetic properties and the characteristics of magnetic noise caused by Barkhausen jumps // Phys. Met. Metal. 2015. V. 116. P. 645–655.
- Kronmüller H., Fernengel W. The role of internal stresses in amorphous ferromagnetic alloys // Phys. Stat. Sol. (a). 1981. V. 64. P. 593–602.
- Mushnikov N.V., Potapov A.P., Shishkin D.A., Protasov A.V., Golovnya O.A., Shchegoleva N.N., Gaviko V.S., Shu-nyaev K.Yu., Bykov V.A., Starodubtsev Yu.N., Belozerov V.Ya. Magnetic properties and structure of nanocrystalline FINEMET alloys with various iron contents // Phys. Met. Metal. 2015. V. 116. P. 663–670.
- Kurlyandskaya G.V., Lukshina V.A., Larrañaga A., Orue I., Zaharova A.A., Shishkin D.A. Induced magnetic anisotropy features in FeCrSiBNbCu nanocrystalline alloy: Role of stress distribution proven by direct X-ray measurements // J. Alloys Compd. 2013. V. 566. P. 31–36.
- Sarkar P., Vcelak J., Roy R.K., Panda A.K., Mitra A., Ripka P. Co-Based Amorphous Material for Giant Magnetoimpedance and Fluxgate Sensing Cores // IEEE Trans Magn. 2015. V. 51. V. 1–4.
- Semirov A.V., Moiseev A.A., Bukreev D.A., Kudryavtsev V.O., Zakharov G.V., Gavrilyuk A.A., Sapozhnikov A.N. Magnetoimpedance detection of the structural relaxation of amorphous ferromagnetic alloys // Russian J. Nondestructive Testing. 2010. V. 46. № 12. P. 887–891.
- Zaichenko S.G., Perov N.S., Glezer A.M., Gan’shina E.A., Kachalov V.M., Calvo-Dalborg M., Dalborg U. Low-temperature irreversible structural relaxation of amorphous metallic alloys // JMMM. 2000. V. 215–216. P. 297–299.
- Semirov A.V., Gavrilyuk A.A., Kudryavtsev V.O., Moiseev A.A., Bukreev D.A., Semenov A.L., Ushchapovskaya Z.F. The effect of annealing on impedance properties of elastically deformed soft magnetic wires // Russian J. Nondestructive Testing. 2007. V. 43. № 10. P. 639–642.
- Serikov V.V., Kleinerman N.M., Volkova E.G., Lukshina V.A., Potapov A.P., Svalov A.V. Structure and magnetic properties of nanocrystalline FeCuNbSiB alloys after a thermomechanical treatment // Phys. Met. Metall. 2006. V. 102. P. 268–273.
- Antonov A.S., Borisov V.T., Borisov O.V., Pozdnyakov V.A., Prokoshin A.F., Usov N.A. Residual quenching stresses in amorphous ferromagnetic wires produced by an in-rotating-water spinning process // J. Phys. D Appl. Phys. 1999. V. 32. V. 1788–1794.
- Bukreev D.A., Derevyanko M.S., Moiseev A.A., Svalov A.V., Semirov A.V. The Study of the Distribution of Electrical and Magnetic Properties over the Conductor Cross-Section Using Magnetoimpedance Tomography: Modeling and Experiment // Sensors. 2022. V. 22. P. 9512.
- Bukreev D.A., Derevyanko M.S., Moiseev A.A., Semirov A.V., Savin P.A., Kurlyandskaya G.V. Magnetoimpedance and Stress-Impedance Effects in Amorphous CoFeSiB Ribbons at Elevated Temperatures // Materials. 2020. V. 13. P. 3216.
- Chen D.-X., Pascual L., Fraga E., Vazquez M., Hernando A. Magnetic and transport eddy-current anomalies in cylinders with core-and-shell regions // JMMM. 1999. V. 202. P. 385–396.
- Курляндская Г.В., Левит В.И. Материаловедение. Монокристаллы: учебное пособие. Екатеринбург: УрФУ, 2011. 170 с.
Supplementary files






