Magnitocaloric Effect in RCO5 (R = Gd, Tb, Dy, Ho) Alloys
- Authors: Utarbekova M.V.1, Orshulevich M.A.1, Bataev D.S.1, Fazlitdinova A.G.1, Taskaev S.V.1
-
Affiliations:
- Chelyabinsk State University
- Issue: Vol 124, No 11 (2023)
- Pages: 1086-1092
- Section: ЭЛЕКТРИЧЕСКИЕ И МАГНИТНЫЕ СВОЙСТВА
- URL: https://bakhtiniada.ru/0015-3230/article/view/232709
- DOI: https://doi.org/10.31857/S0015323023601071
- EDN: https://elibrary.ru/FSYZHN
- ID: 232709
Cite item
Full Text
Abstract
Abstract—
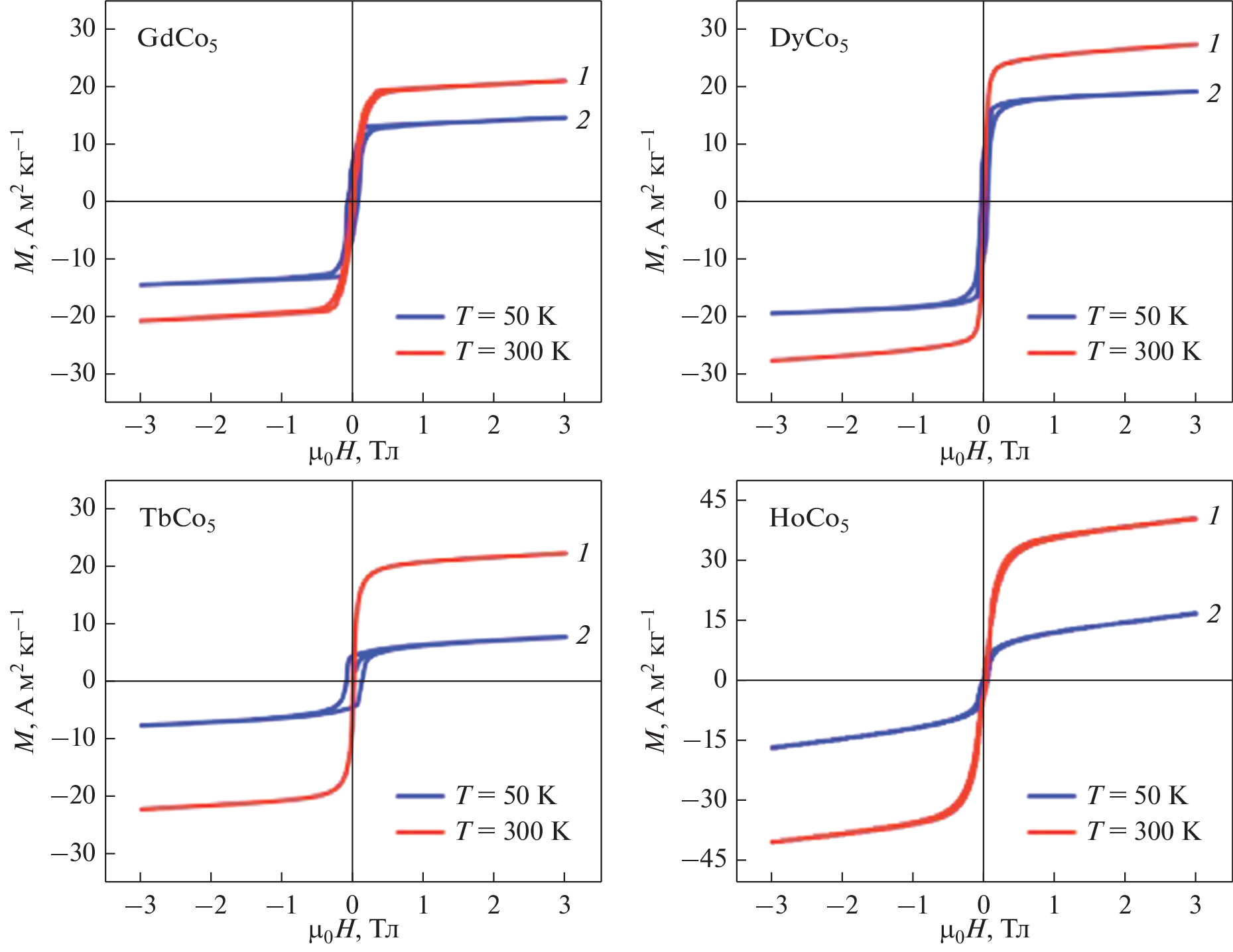
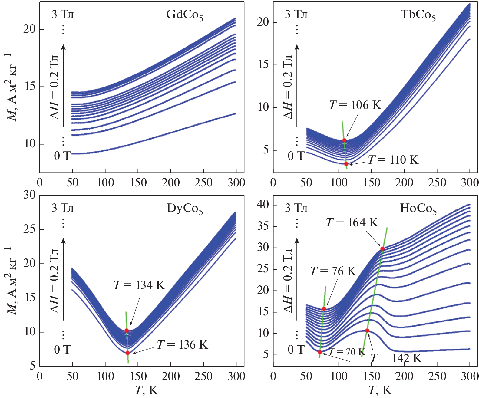
Experimental studies of magnetic and magnetocaloric properties of polycrystalline RCo5 alloys (R = Gd, Tb, Dy, Ho) in external magnetic fields up to 3 Tesla have been carried out. The results of magnetic measurements have shown that these compounds have small coercivity and reach saturation in small fields. It was found that the magnetocaloric effect in the studied co-compounds is observed in a wide temperature range, and for the intermetallides TbCo5, DyCo5, HoCo5 has several regions of existence, comparable in magnitude of the effect. The presence of several MCE existence intervals is caused by a series of magnetic phase transitions in these ferrimagnetic compounds.
About the authors
M. V. Utarbekova
Chelyabinsk State University
Author for correspondence.
Email: shchichko.marina.csu@gmail.com
Russia, 454001, Chelyabinsk
M. A. Orshulevich
Chelyabinsk State University
Email: shchichko.marina.csu@gmail.com
Russia, 454001, Chelyabinsk
D. S. Bataev
Chelyabinsk State University
Email: shchichko.marina.csu@gmail.com
Russia, 454001, Chelyabinsk
A. G. Fazlitdinova
Chelyabinsk State University
Email: shchichko.marina.csu@gmail.com
Russia, 454001, Chelyabinsk
S. V. Taskaev
Chelyabinsk State University
Email: shchichko.marina.csu@gmail.com
Russia, 454001, Chelyabinsk
References
- Tishin A.M., Spichkin Y.I. The magnetocaloric effect and its applications. Institute of Physics Publishing, Bristol and Philadelphia. 2003. P. 480.
- Соколовский В.В., Мирошкина О.Н., Бучельников В.Д. Обзор современных теоретических методов исследования магнитокалорических материалов // ФММ. 2022. Т. 123. № 4. С. 344–402.
- Соколовский В.В., Мирошкина О.Н., Бучельников В.Д., Марченков В.В. Магнитокалорический эффект в металлах и сплавах // ФММ. 2022. Т. 123. № 4. С. 339–343.
- Liu W., Bykov E., Taskaev S., Bogush M., Khovaylo V., Fortunato N., Aubert A., Zhang H., Gottschall T., Wosnitza J., Scheibel F., Skokov K., Gutfleisch O. A study on rare-earth Laves phases for magnetocaloric liquefaction of hydrogen // Appl. Materials Today. 2022. V. 29. P. 101 624.
- Инишев А.А., Герасимов Е.Г., Терентьев П.Б., Гавико В.С., Мушников Н.В. Магнитокалорический эффект в нестехиометрических соединениях ErM2Mnx (M = Ni, Co, Fe) // ФММ. 2022. Т. 123. № 9. С. 929–934.
- Franco V., Bl’azquez J.S., Ipus J.J., Law J.Y., Moreno-Ramírez L.M., Conde A. Magnetocaloric effect: from materials research to refrigeration devices // Prog. Mater. Sci. 2018. V. 93. P. 112–232.
- Kitanovski A. Energy applications of magnetocaloric materials // Adv. Energy Mater. 2020. V. 10. P. 1 903 741.
- Scheibel F., Gottschall T., Taubel A., Fries M., Skokov K., Terwey A., Keune W., Ollefs K., Wende H., Farle M., Acet M., Gutfleisch O., Gruner M. Hysteresis Design of Magnetocaloric Materials – From Basic Mechanisms to Applications // Energy Technology 2018. V. 6. P. 1397–1428.
- Bartashevich M.I., Goto T., Yamaguchi M., Yamamoto I. Effect of hydrogen on the magnetocrystalline anisotropy of RCo5 // J. Magn and Magn. Mater., 1995. V. 140. P. 855.
- Tedstone A.L., Patrick C.E., Kumar S., Edwards R.S., Lees M.R., Balakrishnan G., Staunton J.B. Structural and magnetic properties of GdCo5–xNix // Phys. Rev. Materials 2019. V. 3. P. 034409.
- Pang H., Qiao L., Li F.S. Calculation of magnetocrystalline anisotropy energy in NdCo5 // Phys. Stat. Sol. 2009. V. 246. P. 1345.
- Sousat J.B., Moreirat J.M., Del Morals A., Algarabelt P., Ibarras R. Spin-reorientation transitions in NdCo5 and critical effects on the electrical resistivity temperature derivative // J. Phys. Condens. Matter 1990. V. 2. P. 3897.
- Donges A., Khmelevskyi S., Deak A., Abrudan R.-M., Schmitz D., Radu I., Radu F., Szunyogh L., Nowak U. Magnetization compensation and spin reorientation transition in ferrimagnetic DyCo5: Multiscale modeling and element-specific measurements // Phys. Rev. Mater. 2017. V. 96. P. 024 412.
- Koshkid’ko Y.S., Skokov K.P., Pastushenkov Yu.G., Nikitin S.A., Ivanova T.I. Magnetocaloric Effect of RCo5 Single Crystals in the Region of Spin Reorientation Transitions // Solid State Phenomena 2011. V. 168–169. P. 134–137.
- Andreev A.V., Deryagin A.V., Zadvorkin S.M. Magnetostriction anisotropy in the rare-earth compounds RCo5 following spontaneous spin-flip transitions // Sov. Phys. JETP. 1983. V. 58. P. 566.
Supplementary files






