Magnetocalorical Effect and Phase Separation: Theory and Perspectives
- Authors: Igoshev P.A.1,2
-
Affiliations:
- Mikheev Institute of Metal Physics, Ural Branch, Russian Academy of Sciences
- Ural Federal University
- Issue: Vol 124, No 11 (2023)
- Pages: 1065-1073
- Section: ЭЛЕКТРИЧЕСКИЕ И МАГНИТНЫЕ СВОЙСТВА
- URL: https://bakhtiniada.ru/0015-3230/article/view/232707
- DOI: https://doi.org/10.31857/S0015323023601058
- EDN: https://elibrary.ru/JTMSTQ
- ID: 232707
Cite item
Full Text
Abstract
Abstract—
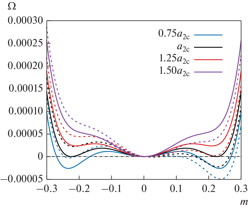
The problem of the magnetic phase separation effect on the magnitude of the magnetocaloric effect is considered. A general thermodynamic generalized Landau theory with a variable particle number is proposed, which allows simple and consistent treatment of the first order phase transition between the magnetically ordered and disordered phases, taking into account the phase separation. The calculation of the magnetic susceptibility and entropy of phases involved in the phase separation was considered. It is shown that the magnetic susceptibility of the magnetically ordered (disordered) phase participating in the phase separation is negative (positive) in the vicinity of the tricritic point, which can result in the inversion of the sign of the magnetocaloric effect.
About the authors
P. A. Igoshev
Mikheev Institute of Metal Physics, Ural Branch, Russian Academy of Sciences; Ural Federal University
Author for correspondence.
Email: valkov09@gmail.com
Russia, 620108, Ekaterinburg; Russia, 620002, Ekaterinburg
References
- Warburg E. Magnetic Investigations // Ann. Phys. 1881. V. 13. P. 141–164.
- Gschneider K.A.Jr., Pecharsky V.K., Tsokol A.O. Recent developments in magnetocaloric materials // Rep. Prog. Phys. 2005. V. 68. P. 1479–1539.
- Franco V., Blazquez J.S., Ingale B., Conde A. The Magnetocaloric Effect and Magnetic Refrigeration Near Room Temperature: Materials and Models // Annu. Rev. Mater. Res. 2012. V. 42. P. 305–342.
- Li L.-W. Review of magnetic properties and magnetocaloric effect in the intermetallic compounds of rare earth with low boiling point metals // Chinese Phys. B. 2016. V. 25. P. 037502.
- Franco V., Bla’zquez J.S., Ipus J.J., Law J.Y., Moreno-Ram´irez L.M., Conde A. Magnetocaloric effect: From materials research to refrigeration devices // Progress Mater. Sci. 2018. V. 93. P. 112–232.
- Fu H., Ma Z., Zhang X. J., Wang D. H., Teng B. H., and Agurgo Balfour E. Table-like magnetocaloric effect in the Gd–Co–Al alloys with multi-phase structure//Appl. Phys. Lett. 2014. V. 104. P. 072401.
- Agurgo Balfour E., Ma Z., Fu H., Hadimani R.L., Jiles D.C., Wang L., Luo Y., Wang S.F. Table-like magnetocaloric effect in Gd56Ni15Al27Zr2 alloy and its field independence feature// J. Appl. Phys. 2015. V. 118. P. 123 903.
- Liu G.L., Zhao D.Q., Bai H.Y., Wang W.H., Pan M.X. Room temperature table-like magnetocaloric effect in amorphous Gd50Co45Fe5 ribbon// J. Phys. D: Appl. 2016. Phys. V. 49. P. 055004.
- Zheng Q., Zhang L. and Du J. Table-like magnetocaloric effect in Gd–Ni–Al amorphous/ nanocrystalline composites // J. Phys. D: Appl. Phys. 2017. V. 50. P. 355 601.
- Zhong X.C., Shen X.Y., Mo H.Y., Jiao D.L., Liu Z.W., Qiu W.Q., Zhang H., Ramanujan R.V. Table-like magnetocaloric effect and large refrigerant capacity in Gd65Mn25Si10–Gd composite materials for near room temperature refrigeration // Mater. Today Commun. 2018. V. 14. P. 22–26.
- Oliveria P.J., von Ranke P.J. Theoretical aspects of the magnetocaloric effect // Physics Reports. 2010. V. 489. P. 89–159.
- Игошев П.А., Кокорина Е.Е., Некрасов И.А. Исследование магнитокалорического эффекта в коррелированных металлических системах с сингулярностями ван Хова в электронном спектре // ФММ. 2017. Т. 118. С. 219–229.
- Bebenin N.G., Zainullina R.I., Ustinov V.V. Magnetocaloric effect in inhomogeneous ferromagnets // J. Appl. Phys. 2013. V. 113. P. 073907.
- Ivchenko V.V., Igoshev P.A. Emerging mechanisms of magnetocaloric effect in phase-separated metals // Phys. Rev. B. 2021. V. 104. P. 024425.
- Igoshev P.A., Gramateeva L.N., Lukoyanov A.V. Giant kinks in the entropy change temperature dependence of the magnetocaloric effect in layered phase-separated metals // Phys. Chem. Chem. Phys. 2023. V. 25. P. 6995–7002.
- Igoshev P.A., Katanin A.A., Yamase H., Irkhin V.Yu. Spin fluctuations and ferromagnetic order in two-dimensional itinerant systems with Van Hove singularities // J. Magn. Magn. Mater. 2009. V. 321. P. 899–902.
- Igoshev P.A., Timirgazin M.A., Katanin A.A., Arzhnikov A.K., Irkhin V.Yu. Incommensurate magnetic order and phase separation in the two-dimensional Hubbard model with nearest- and next-nearest-neighbor hopping // Phys. Rev. B. 2010. V. 81. P. 094407.
- Игошев П.А., Тимиргазин М.А., Аржников А.К., Ирхин В.Ю. Влияние электронных корреляций на формирование спиральных магнитных состояний в двумерной t–t'-модели Хаббарда // Письма в ЖЭТФ. 2013. Т. 98. № 3. С. 172–177.
- Igoshev P.A., Timirgazin M.A., Gilmutdinov V.F., Arzhnikov A.K., Irkhin V.Yu. Spiral magnetism in the single-band Hubbard model: the Hartree-Fock and slave-boson approaches // J. Phys.: Cond. Matt. 2015. V. 27. P. 446 002.
- Igoshev P.A., Timirgazin M.A., Arzhnikov A.K., Antipin T.V., Irkhin V.Yu. Spiral magnetic order, non-uniform states and electron correlations in the conducting transition metal systems // J. Magn. Magn. Mater. 2017. V. 440. P. 66–69.
- Visscher P.B. Phase separation instability in the Hubbard model // Phys. Rev. B. 1973. V. 10. P. 943–945.
- Igoshev P.A., Timirgazin M.A., Arzhnikov A.K., Irkhin V.Yu. Magnetic phase transitions and unusual antiferromagnetic states in the Hubbard model // J. Magn. Magn. Mater. 2018. V. 459. P. 311–316.
- Нагаев Э.Л. Разделение фаз ввысокотемпературных сверхпроводниках и родственных им магнитных материалах // Успехи физ. наук. 1995. Т. 165. № 5. С. 529–554.
- Nagaev E.L. Colossal-magnetoresistance materials: manganites and conventional ferromagnetic semiconductors // Phys. Reports. 2001. V. 346. P. 387.
- Ландау Л.Д., Лифшиц Е.М. Теоретическая физика. Т. 5. Статистическая физика. Ч. 1. М. 1976.
- Мория Т. Спиновые флуктуации в магнетиках с коллективизированными электронами: Пер. с англ. М.: Мир, 1988. С. 287.
- Игошев П.А., Катанин А.А., Ирхин В.Ю. Магнитные флуктуации и формирование ферромагнетизма в двумерных системах с сингулярностями ван Хова // ЖЭТФ. 2007. Т. 132. № 5. С. 1187–1202.
- Murata K.K., Doniach S. Theory of Magnetic Fluctuations in Itinerant Ferromagnets // Phys. Rev. Lett. 1972. V. 29. P. 285–288.
- Yamada H., Goto T. Itinerant-electron metamagnetism and giant magnetocaloric effect. // Phys. Rev. B. 2003. V. 68. P. 184417.
- Bloch D., Edwards D.M., Shimizu M., Voiron J. First order transitions in ACo2 compounds // J. Phys. F: Metal Physics. 1975. V. 5. P. 1217–1226.
- Duc N.H., Givord D., Lacroix C., Pinettes C. A New Approach To Itinerant-Electron Metamagnetism // Europhysics Letters (EPL). 1992. V. 20. P. 47–52.
- Bean C.P., Rodbell D.S. Magnetic disorder as First-Order Phase Transformation // Phys. Rev. 1962. V. 126. P. 104–115.
- de Oliveira N.A. Magnetocaloric effect in transition metals based compounds: a theoretical approach // Europ. Phys. J. B. 2004. V. 40. P. 259–264.
- de Medeiros L., de Oliveira N., von Ranke P., Troper A. On the magnetocaloric effect of itinerant electron systems with first order transition // Phys. A: Stat. Mechan. Appl. 2013. V. 392. P. 1355–1360.
- de Oliveira N.A., von Ranke P.J. Theoretical calculations of the magnetocaloric effect in MnFeP0.45As0.55: a model of itinerant electrons // J. Phys.: Condensed Matter. 2005. V. 17. 3325–3332.
- Liu G.J., Sun J.R., Wang J.Z., Shen J.Z. Magnetic field-induced entropy change in phase-separated manganites // Appl. Phys. Letters. 2006. V. 89. P. 222503.
- Comtesse D., Gruner M.E., Ogura M., Sokolovskiy V.V., Buchelnikov V.D., Grünebohm A., Arro’yave R., Singh N., Gottschall T., Gutfleisch O., Chernenko V.A., Albertini F., Fähler S., Entel P. First-principles calculation of the instability leading to giant inverse magnetocaloric effects // Phys. Rev. B. 2014. V. 89. P. 184403.
- Liu G.J. et al. Determination of the entropy changes in the compounds with a first-order magnetic transition // Ap pl. Phys. Letters. 2007. V. 90. P. 032507.
- Balli M., Fruchart D., Gignoux D., Zach R. The “colossal” magnetocaloric effect in Mn1 − xFexAs: What are we really measuring? // Appl. Phys. Letters. 2009. V. 95. P. 072 509.
- Pecharsky V., Gschneidner K., Mudryk Y., Paudyal D. Making the most of the magnetic and lattice entropy changes // J. Magn. and Magn. Mater. 2009. V. 321. P. 3541–3547.
- Xu K., Li Z., Zhang Y.-L., Jing C. Anindirect approach based on Clausius–Clapeyron equation to determine entropy change for the first-order magnetocaloric materials // Phys. Letters A. 2015. V. 379. P. 3149–3154.
- Casanova F. et al. Change in entropy at a first-order magnetoelastic phase transition: Case study of Gd5(SixGe1 – x)4 giant magnetocaloric alloys // J. Appl. Phys. 2003. V. 93. P. 8313–8315.
- Jia L. et al. Entropy changes associated with the first-order magnetic transition in LaFe13 – xSix // J. Appl. Phys. 2006. V. 100. P. 123904.
- Matsumoto K. et al. Magnetic entropy change of magnetic refrigerants with first order phase transition suitable for hydrogen refrigeration // IEEE Trans. Appl. Supercond. 2004. V. 14. P. 1738–1741.
- Dankov S.Yu., Tishin A.M., Pecharsky V.K., Gschneidner K.A.,Jr. Magnetic phase transitions and the magnetothermal properties of gadolinium // Phys. Rev. B. 1998. V. 57. P. 3478.
- Pecharsky V.K., Gschneidner K.A. Jr. Giant Magnetocaloric Effect in Gd5(Si2Ge2) // Phys. Rev. Lett. 1997. V. 78. P. 4494–4497.
- Wada H., Taniguchi K., Tanabe Y. Extremely Large Magnetic Entropy Change of MnAs1 – xSbx near Room Temperature // Mater. Trans. 2002. 43, 73.
- Tegus O., Brück E., Buschow K.H.J., de Boer F.R.Transition-metal-based magnetic refrigerants for room-temperature applications // Nature. 2002. V. 415. P. 150–152.
- Fujita A., Fukamichi K., Wang J.-T., Kawazoe Y. Large magnetovolume effects and band structure of itinerant-electron metamagnetic La(FexSi1 – x)13 compounds // Phys. Rev. B. 2003. V. 68. P. 104431.
- Franco V., Law J.Y., Conde A., Brabander V., Karpenkov D.Y., Radulov I., Skokov K., Gutfleisch O. Predicting the tricritical point composition of a series of LaFeSi magnetocaloric alloys via universal scaling // J. Phys. D.: Appl. Phys. 2017. V. 50. P. 414004.
- Phan M.H., Morales M.B., Bingham N.S., Srikanth H., Zhang C.L., Cheong S.W. Phase coexistence and magnetocaloric effect in La5/8 – yPry Ca3/8MnO3 (y = 0.275) // Phys. Rev. B. 2010. V. 81. P. 094413.
- Caron L. et al. On the determination of the magnetic entropy change in materials with first-order transitions // J. Magn. Magn. Mater. 2009. V. 321. P. 3559–3566.
- Annaorazov M.P., Asatryan K.A., Myalikgulyev G., Nikitin S.A., Tishin A.M., Tyurin A.L. Alloys of the FeRh system as a new class of working material for magnetic refrigerators // Cryogenics. 1992. V. 32. P. 867–872.
- Гимаев Р.Р., Ваулин А.А., Губкин А.Ф., Зверев В.И. Особенности магнитных и магнитотепловых свойств сплавов Fe–Rh в области фазового перехода антиферромагнетик–ферромагнетик // ФММ. 2020. Т. 121. № 9. С. 907–936.
- Zhang X., Zhang B., Yu S., Liu Z., Xu W., Liu G., Chen J., Cao Z., Wu G. Combined giant inverse and normal magnetocaloric effect for room-temperature magnetic cooling // Phys. Rev. B. 2007. V. 76. P. 132403.
- dos Reis R. et al. Anisotropic magnetocaloric effect in ErGa2 and HoGa2 single-crystals // J. Alloys Compounds. 2014. V. 582. P. 461–465.
- Zhang H. et al. Successive inverse and normal magnetocaloric effects in HoFeSi compound // J. Appl. Phys. 2014. V. 115. P. 063901.
- Малыгин Г.А. Размытые мартенситные переходы и пластичность кристаллов с эффектом памяти формы // Успехи физ. наук. 2001. Т. 171. С. 187–212.
- Miroshkina O.N., Sokolovskiy V.V., Zagrebin M.A., Taskaev S.V., Buchelnikov V.D. Theoretical Approach to Investigation of the Magnetic and Magnetocaloric Properties of Heusler Ni–Mn–Ga Alloys // Phys. Solid State. 2020. V. 62. P. 785–792.
- Aliev A.M., Batdalov A.B., Khanov L.N. et al. Reversible magnetocaloric effect in materials with first order phase transitions in cyclic magnetic fields: Fe48Rh52 and Sm0.6Sr0.4MnO3 // Appl. Phys. Lett. 2016. V. 109. P. 202 407.
- Aliev A.M., Batdalov A.B., Khanov L.N., Mashirov A.V., Dil’mieva E.T., Koledov V.V., Shavrov V.G. Degradation of the Magnetocaloric Effect in Ni49.3Mn40.4In10.3 in a Cyclic Magnetic Field //Phys. Solid State. 2020. V. 62. P. 837–840.
- Aliev A.M., Khanov L.N., Gamzatov A.G. et al. Giant magnetocaloric effect in MnAs1 – xPx in a cyclic magnetic field: Lattice and magnetic contributions and degradation of the effect // Appl. Phys. Lett. 2021. V. 118. P. 072 404.
- Igoshev P.A., Pavlov N.S., Nekrasov I.A., unpublished.




