Magnetization and Magnetostriction of LaFe11.2 – хMnxCo0.7Si1.1 (x = 0.1, 0.2, 0.3) Alloys In Pulsed Magnetic Fields
- Authors: Abdulkadirova N.Z.1, Gamzatov A.G.1, Batdalov A.B.1, Kamilov K.I.1,2, Aliev A.M.1, Gebara P.3
-
Affiliations:
- Amirkhanov Institute of Physics, DFRC RAS
- Lomonosov Moscow State University, Faculty of Physics
- Institute of Physics, Czȩstochowa University of Technology
- Issue: Vol 124, No 11 (2023)
- Pages: 1051-1057
- Section: ЭЛЕКТРИЧЕСКИЕ И МАГНИТНЫЕ СВОЙСТВА
- URL: https://bakhtiniada.ru/0015-3230/article/view/232705
- DOI: https://doi.org/10.31857/S001532302360096X
- EDN: https://elibrary.ru/JXEVKZ
- ID: 232705
Cite item
Full Text
Abstract
Abstract—
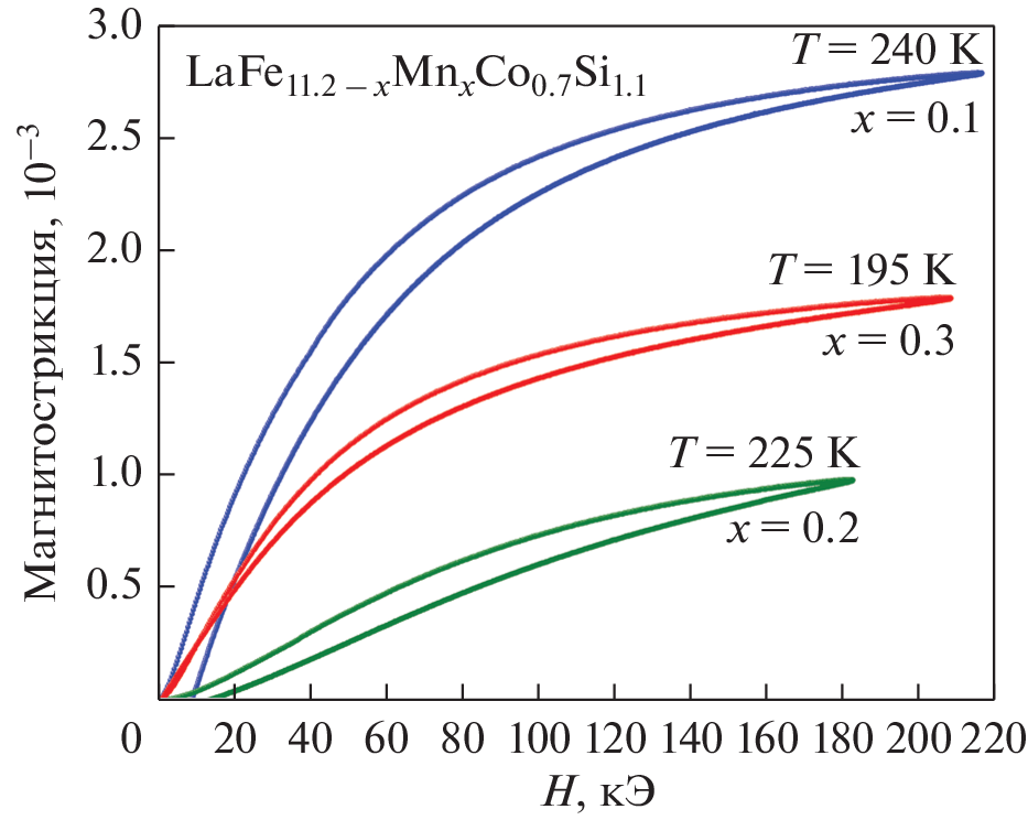
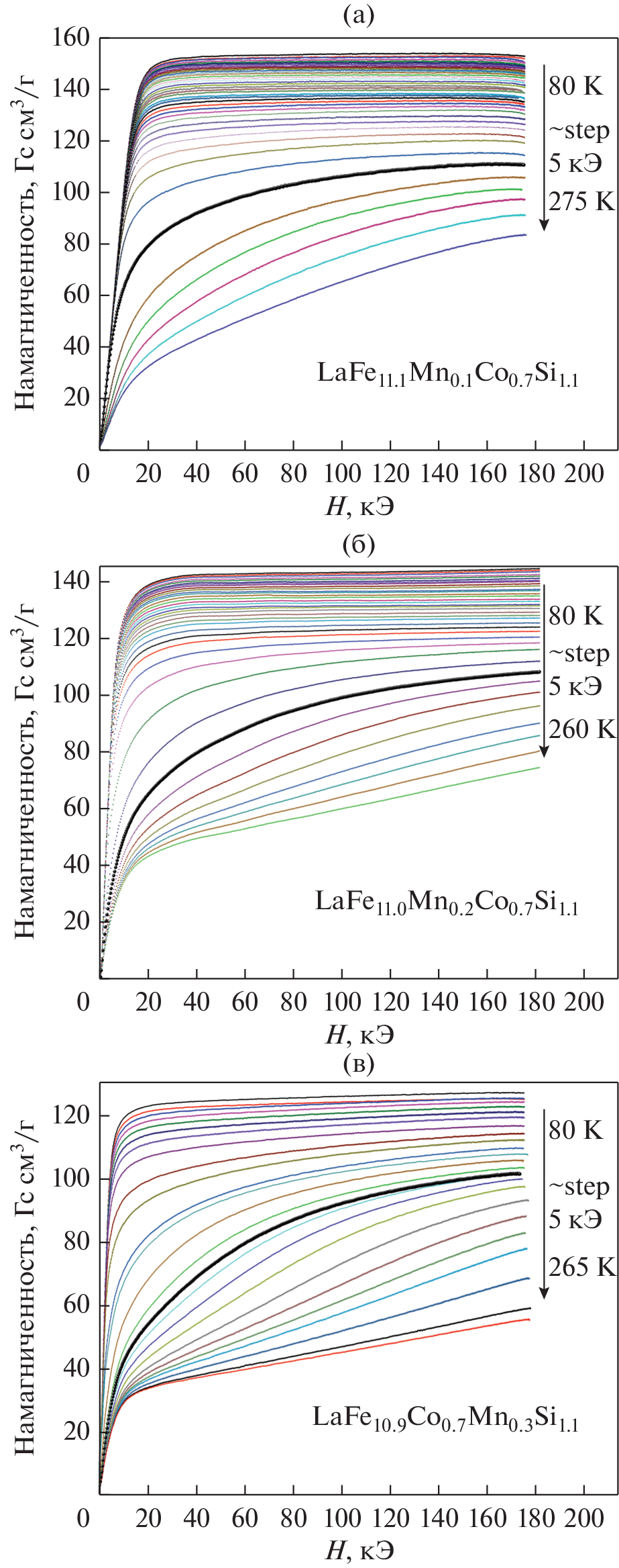
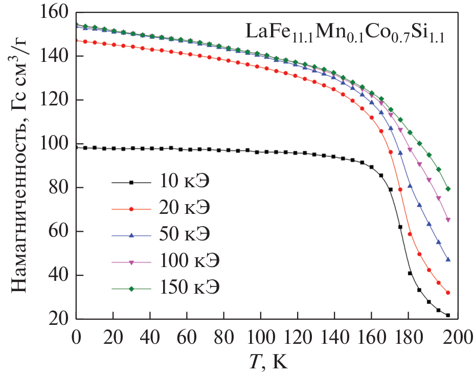
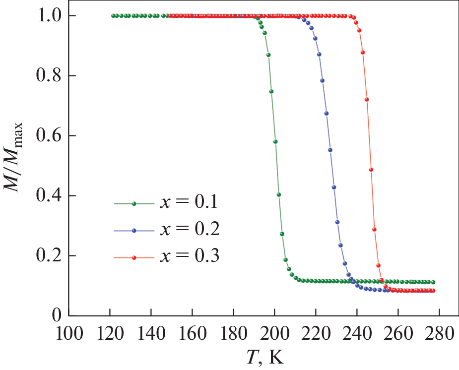
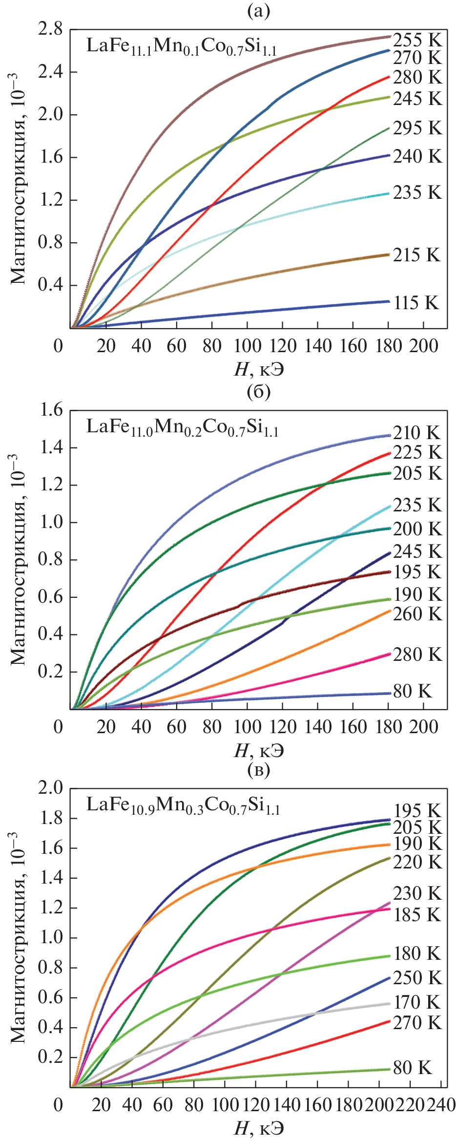
The magnetization and magnetostriction of polycrystalline alloys LaFe11.2 – хMnxCo0.7Si1.1 (x = = 0.1, 0.2, 0.3) were measured in pulsed magnetic fields up to 180 kOe in the temperature range 80–270 K. The replacement of Fe atoms by Mn atoms shifts the TC towards low temperatures and does not affect the value of saturation magnetization. The observed field dependence of the magnetization M(H) near the TC is characteristic of second-order phase transitions, while the temperature dependence of the magnetization M(T) above the TC in strong magnetic fields indicates a first-order magnetic phase transition. The magnetic volume effect ΔV/V reaches 0.81% in a field of 180 kOe. The asymmetry of magnetostriction relative to the temperature of the maximum effect, manifested in strong magnetic fields, and the magnetic field hysteresis of magnetostriction bear signs of a first-order phase transition
Keywords
About the authors
N. Z. Abdulkadirova
Amirkhanov Institute of Physics, DFRC RAS
Author for correspondence.
Email: nnurizhat@mail.ru
Russia, 367003, Makhachkala
A. G. Gamzatov
Amirkhanov Institute of Physics, DFRC RAS
Email: nnurizhat@mail.ru
Russia, 367003, Makhachkala
A. B. Batdalov
Amirkhanov Institute of Physics, DFRC RAS
Email: nnurizhat@mail.ru
Russia, 367003, Makhachkala
K. I. Kamilov
Amirkhanov Institute of Physics, DFRC RAS; Lomonosov Moscow State University, Faculty of Physics
Email: nnurizhat@mail.ru
Russia, 367003, Makhachkala; Belarus, 119991, Moscow
A. M. Aliev
Amirkhanov Institute of Physics, DFRC RAS
Email: nnurizhat@mail.ru
Russia, 367003, Makhachkala
P. Gebara
Institute of Physics, Czȩstochowa University of Technology
Email: nnurizhat@mail.ru
Poland, 42-200, Czȩstochowa,
References
- Соколовский В.В., Мирошкина О.Н., Бучельников В.Д., Марченков В.В. Магнитокалорический эффект в металлах и сплавах // ФММ. 2022. Т. 123. № 4. С. 339–343.
- Соколовский В.В., Мирошкинаa О.Н., Бучельников В.Д. Обзор современных теоретических методов исследования магнтокалорических материалов // ФММ. 2022. Т. 123. № 4. С. 344–402.
- Abdulkadirova N.Z., Gamzatov A.G., Kamilov K.I., Kadirbardeev A.T., Aliev A.M., Popov Y.F., Vorob’ev G.P., Gebara P. Magnetostriction and magnetocaloric properties of LaFe11.1Mn0.1Co0.7Si1.1 alloy: Direct and indirect measurements // J. Alloys Comp. 2022. V. 929. P. 167 348.
- Аникин М.С., Тарасов Е.Н., Незнахин Д.С., Сёмкин М.А., Андреев С.В., Селезнёва Н.В., Рагозина М.В., Потапов Е.В., Зинин А.В. Магнитные и магнитотепловые свойства соединений TM1 – xYx(Co0.84Fe0.16)2 // ФММ. 2022. Т. 123. № 4. С. 436–442.
- Абдулкадирова Н.З., Гамзатов А.Г., Алиев А.М., Gebara P. Теплофизический и магнитокалорические свойства сплава LaFe11.1Mn0.1Co0.7Si1.1 // ФММ. 2022. Т. 123. № 4. С. 443–447.
- Hu F.X., Shen B.G., Sun J.R., Sun J., Cheng Z. H. Influence of negative lattice expansion and metamagnetic transition on magnetic entropy change in the compound LaFe11.4Si1.6 // Appl. Phys. Letters. 2001. V. 78. P. 3675.
- Shao Y., Liu J., Zhang M., Yan A., Skokov K.P., Karpenkov D.Yu., Gutfleisch O. High-performance solid-state cooling materials: Balancing magnetocaloric and non-magnetic properties in dual phase La–Fe–Si // Acta Mater. 2017. V. 125. P. 506.
- Fujita A., Fukamichi K., Yamada M., Goto T. Influence of pressure on itinerant electron metamagnetic transition in compound // Journal of Applied Physics. 2003. V. 93. P. 7263.
- Fujita A., Fukamichi K., Wang J.-T., Kawazoe Y. Large magnetovolume effects and band structure of itinerant electron metamagnetic La(FexSi1.1 – x)13 compounds // Phys. Rev. B. 2003. V. 68. P. 104431.
- Sun S., Ye R., Long Y. Influence of the substitution of Ni for Fe on the microstructure evolution and magnetic phase transition in La(Fe1 – xNix)11.5Si1.5 compounds // Mater. Sci. Eng. B. 2013. V. 178. P. 60–64.
- Krautz M., Skokov K., Gottschall T., Teixera C.S., Waske A., Liu J., Schultz L., Gutfleisch O. Systematic investigation of Mn substituted La(Fe,Si)13 alloys and their hydrides for room-temperature magnetocaloric application // J. AlloComp. 2014. V. 598. P. 27.
- Fujita A., Fujieda S., Hasegawa Y., Fukamichi K. Itinerant-electron metamagnetic transition and large magnetocaloric effects in La(FexSi1.1 – x)13 compounds and their hydrides // Phys. Rev. B. 2003. V. 67. P. 104416.
- Gutfleisch O., Willard M.A., Brück E., Chen C.H., Sankar S.G., Liu J.P. Magnetic materials and devices for the 21st century: stronger, lighter, and more energy efficient // Advanced Mater. 2011. V. 23(7). P. 821–842.
- Liu Ya., Fu X., Yu Qi., Zhang M., Liu J. Significant reduction of phase-transition hysteresis for magnetocaloric (La1 – xCex)2Fe11Si2Hy alloys by microstructural manipulation // Acta Mater. 2021. V. 207. P. 116687.
- Gębara P., Kovac J. Magnetocaloric effect of the LaFe11.2Co0.7Si1.1 modified by partial substitution of La by Pr or Ho // Mater. & Design. 2017. V. 129. P. 111–115.
- Gębara P., Cesnek M., Bednarcik J.Anomalous behavior of thermal expansion of α-Fe impurities in the La(Fe, Co, Si)13-based alloys modified by Mn or selected lanthanides (Ce, Pr, Ho) // Current Appl. Phys. 2019. V. 19. P. 188.
- Gebara P., Margin J. Influence of Partial Substitution of Fe by Mn on the Thermomagnetic Properties of Magnetocaloric LaFe11.2Co0.7Si1.1 Alloy // Acta Phys. Polonica A. 2018. V. 133. P. 648.
- Pathak A.K., Basnyat P., Dubenko I., Stadler S., Ali N. Magnetic, magnetocaloric and magnetoelastic properties of compounds // J. Appl. Phys. 2009. V. 106. P. 063 917.
- Hu Feng-xia, Shen Bao-gen, Sun Ji-rong, Wang Guang-jun, Cheng Zhao-hua. Very large magnetic entropy change near room temperature in LaFe11.2Co0.7Si1.1 // Appl. Phys. Letters. 2001. V. 80. P. 826.
- Zavareh M.G., Skourski Y., Skokov K.P., Karpenkov D.Y., Zvyagina L., Waske A., Gutfleisch O. Direct measurement of the magnetocaloric effect in La(Fe,Si,Co)13 compounds in pulsed magnetic fields // Phys. Rev. Appl. 2017. V. 8(1). P. 014037.
- Lovell E., Pereira A.M. Dynamics of the First-Order Metamagnetic Transition in Magnetocaloric La(Fe,Si)13: Reducing Hysteresis // Adv. Energy Mater. 2014. P.1401639.
Supplementary files








