Наноразмерная зависимость взаимной растворимости в твердом состоянии в металлической системе Mo–Ru
- Авторы: Афашагов А.А.1, Шебзухова М.А.1, Бжихатлов К.Ч.1, Ципинова А.Х.1
-
Учреждения:
- ФГБОУ “Кабардино-Балкарский государственный университет им. Х.М. Бербекова”
- Выпуск: Том 124, № 10 (2023)
- Страницы: 939-948
- Раздел: СТРУКТУРА, ФАЗОВЫЕ ПРЕВРАЩЕНИЯ И ДИФФУЗИЯ
- URL: https://bakhtiniada.ru/0015-3230/article/view/232659
- DOI: https://doi.org/10.31857/S0015323023600740
- EDN: https://elibrary.ru/RGHTPA
- ID: 232659
Цитировать
Полный текст
Аннотация
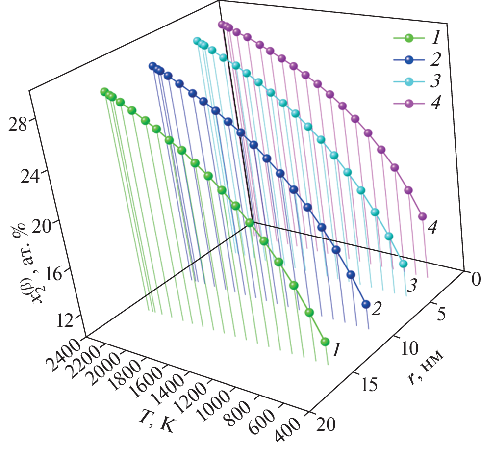
Работа посвящена построению методики расчета кривых растворимости молибдена и рутения в твердом состоянии в бинарной системе Mo–Ru c учетом наноразмерных эффектов. Подход базируется на термодинамике фазовых равновесий с учетом поверхностных явлений в рамках термодинамического метода разделяющих поверхностей Гиббса. В качестве такой разделяющей поверхности выбрана поверхность натяжения. Расчеты растворимости проводились с учетом размерных зависимостей индивидуальных характеристик металлов и параметров межчастичного взаимодействия в фазах. Наблюдается хорошее согласие полученных результатов с имеющимися экспериментальными данными для макроскопического случая.
Ключевые слова
Об авторах
А. А. Афашагов
ФГБОУ “Кабардино-Балкарский государственный университет им. Х.М. Бербекова”
Автор, ответственный за переписку.
Email: sh-madina@mail.ru
Россия, 360004, Нальчик, ул. Чернышевского, 173
М. А. Шебзухова
ФГБОУ “Кабардино-Балкарский государственный университет им. Х.М. Бербекова”
Email: sh-madina@mail.ru
Россия, 360004, Нальчик, ул. Чернышевского, 173
К. Ч. Бжихатлов
ФГБОУ “Кабардино-Балкарский государственный университет им. Х.М. Бербекова”
Email: sh-madina@mail.ru
Россия, 360004, Нальчик, ул. Чернышевского, 173
А. Х. Ципинова
ФГБОУ “Кабардино-Балкарский государственный университет им. Х.М. Бербекова”
Email: sh-madina@mail.ru
Россия, 360004, Нальчик, ул. Чернышевского, 173
Список литературы
- Родунер Э. Размерные эффекты в наноматериалах. М.: Техносфера, 2010. 352 с.
- Андриевский Р.А. Основы наноструктурного материаловедения. Возможности и проблемы. М.: Лаборатория знаний, 2020. 255 с.
- Землянов М.Г., Панова Г.Х., Сырых Г.Ф., Шиков А.А. Влияние размерного эффекта на колебательные и электронные свойства нанокомпозитов Cu–Pb // ФТТ. 2006. Т. 48. № 1. С. 128–132.
- Kosacki I., Rouleau Ch.M., Becher P.F., Bentley J., Lowndes D. Nanoscale effects on the ionic conductivity in highly textured YSZ thin films // Solid State Ionics. 2005. V. 176. P. 1319–1326.
- Андриевский Р.А., Дашевский З.М., Калинников Г.В. Проводимость и коэффициент Холла наноструктурных пленок нитрида титана // Письма в ЖТФ. 2004. Т. 30. № 22. С. 1–7.
- Zhong W.H., Sun Ch.Q., Li S. Size effect on the magnetism of nanocrystalline Ni films at ambient temperature // Solid State Commun. 2004. V. 130. P. 603–606.
- Rafaja D., Havela L., Kužel R., Wastin F., Colineau E., Gouder T. Real structure and magnetic properties of UN thin films // J. Alloys Compounds. 2005. V. 386. P. 87–95.
- Русанов А.И. Условие фазового равновесия растворимых наночастиц // Коллоидный журн. 2006. Т. 68. № 3. С. 368–374.
- Самсонов В.М. О проблеме фазового состояния наночастиц // Известия РАН. Серия физическая. 2005. Т. 69. № 7. С. 1036–1038.
- Кузамишев А.Г., Шебзухова М.А., Шебзухов А.А. Влияние размера на температуру плавления наночастиц // Известия РАН. Серия физическая. 2021. Т. 85. № 9. С. 1263–1266.
- Цюй Я.Д, Лян С.Л., Кун С.Ц., Чжан В.Ц. Размерные зависимости энергии когезии, температуры плавления и температуры Дебая сферических металлических частиц // ФММ. 2017. Т. 118. № 6. С. 558–564.
- Цю Я., Лью В., Чжан В., Чжай Ч. Теоретическое изучение влияния размерного фактора на энтропию и энтальпию плавления для наночастиц олова, серебра, меди и индия // ФММ. 2019. Т. 120. № 5. С. 451–456.
- Кузамишев А.Г., Шебзухова М.А., Бжихатлов К.Ч., Шебзухов А.А. Размерные зависимости теплофизических свойств наночастиц. Поверхностное натяжение // ТВТ. 2022. Т. 60. № 3. С. 343–349.
- Афашагов А.А., Шебзухова М.А., Шебзухов А.А. Термодинамические характеристики границ раздела конденсированных фаз в бинарных и металлических сплавах // ФТТ. 2022. Т. 64. № 10. С. 1585–1590.
- Гладких Н.Т., Дукаров С.В., Крышталь А.П., Ларин В.И., Сухов В.Н. Капиллярные свойства островковых пленок и малых частиц. Х.: ХНУ имени В.Н. Каразина, 2015. 212 с.
- Чижик С.П., Гладких Н.Т., Григорьева Л.К., Куклин Р.Н., Степанова С.В., Чмель С.В. Смещение границ растворимости в высокодисперсных системах // Изв. АН СССР. Металлы. 1985. № 2. С. 175–181.
- Миненков А.А., Крышталь А.П. Влияние характерного размера на твердофазную растворимость в пленочной системе Ag–Ge // Физич. инженерия поверхности. 2015. Т.13. № 2. С. 259–263.
- Палатник Л.С., Бойко Б.Т. О диаграмме состояния сплавов Al–Cu в тонких пленках // ФММ. 1961. Т. 11. № 1. С. 123–127.
- Кошкин В.М., Слезов В.В. Легирование наночастиц // ЖТФ. 2004. Т. 30. № 9. С. 38–43.
- Львов П.Е., Светухин В.В. Влияние наноразмерных эффектов на фазовый состав // Письма в ЖТФ. 2009. Т. 35. № 22. С. 33–39.
- Львов П.Е., Светухин В.В., Обухов А.В. Термодинамика фазового равновесия бинарных сплавов, содержащих наноразмерные преципитаты // ФТТ. 2011. Т. 53. № 2. С. 394–399.
- Львов П.Е., Светухин В.В. Термодинамика фазового равновесия многокомпонентных твердых растворов, содержащих наноразмерные выделения второй фазы // ФТТ. 2013. Т. 55. № 11. С. 2256–2261.
- Novy S., Pareige P., Pareige C. Atomic scale analysis and phase separation understanding in a thermally aged Fe–20% Cr alloy // J. Nuclear Mater. 2009. V. 384. № 2. P. 96–102.
- Шебзухова М.А., Шебзухов А.А. Межфазная сегрегация на искривленных границах в бинарных системах // Изв. РАН. Сер. физическая. 2007. Т. 71. № 5. С. 755–757.
- Шебзухова М.А., Шебзухов А.А. Межфазное натяжение на границе двух конденсированных фаз в бинарной системе с учетом наноразмерных эффектов // Известия РАН. Серия физическая. 2016. Т. 80. № 6. С. 789–792.
- Шебзухова М.А., Шебзухов А.А. Влияние наноразмерных эффектов на состав сосуществующих фаз в бинарной системе с искривленными границами // ФТТ. 2017. Т. 59. № 7. С. 1368–1378.
- Шебзухова М.А., Шебзухов А.А. Фазовая диаграмма состояния и межфазные характеристики в бинарной системе // ФТТ. 2018. Т. 60. № 1. С. 180–186.
- Шебзухова М.А., Шебзухов А.А. Фазовое равновесие и поверхностные характеристики в бинарной системе, содержащей наноразмерные частицы // ФТТ. 2018. Т. 60. № 2. С. 390–395.
- Русанов А.И. Фазовые равновесия и поверхностные явления. Л.: Химия, 1967. 388 с.
- Шебзухова М.А., Шебзухов А.А. Размерные зависимости межфазного натяжения на границе твердое тело-жидкость и температуры плавления металлических наночастиц // Изв. РАН. Сер. физическая. 2012. Т. 76. № 7. С. 863–867.
- Коган В.Б. Гетерогенные равновесия. Л.: Химия, 1968. 432 с.
- Tanaka T. Prediction of phase diagrams in nano-sized binary alloys // Mater. Sci. Forum. 2010. V. 653. P. 55–75.
- Смирнов А.А. Молекулярно-кинетическая теория металлов. М.: Наука, 1966. 488 с.
- Кауфман Л., Бернстейн Х. Расчет диаграмм состояния с помощью ЭВМ. М.: Мир, 1972. 326 c.
- Okamoto H. Mo-Ru (Molybdenum-Ruthenium) // J. Phase Equilibria 2000. V. 21. № 6. P. 572.
- Лякишев Н.П. Диаграммы состояния двойных металлических систем. Т. 3. Кн. 1. М.: Машиностроение, 2001. 872 c.
- Попель С.И. Поверхностные явления в расплавах. М.: Металлургия, 1994. 440 с.
- Frenkel A.I., Yevick A., Cooper Ch., Vasic R. Modeling the Structure and Composition of Nanoparticles by Extended X-Ray Absorption Fine-Structure Spectroscopy // Annual Review of Analytical Chemistry. 2011. V. 4. P. 23–39.
- Шебзухова М.А., Шебзухов З.А., Шебзухов А.А. Параметр Толмена, автоадсорбция и поверхностное натяжение на плоских и искривленных поверхностях жидких металлов // Изв. РАН. Сер. физическая. 2010. Т. 74. № 5. С. 729–736.
- Русанов А.И. Лекции по термодинамике. СПб.: Лань, 2013. 240 с.
- Байдов В.В., Кунин Л.Л. К вопросу о связи скорости звука с поверхностным натяжением металлов / В кн.: Поверхностные явления в расплавах и возникающих из них твердых фазах под ред. С.Н. Задумкина. Нальчик: Кабардино-Балкарское книжн. изд-во, 1965. С. 89–93.
- Шебзухов З.А., Шебзухова М.А., Шебзухов А.А. Поверхностное натяжение и поверхностная энергия металлических наночастиц // Изв. Кабардино-Балкарского гос. ун-та. 2010. № 1. С. 17–58.
- Jiang Q., Lu H.M. Size dependent interface energy and its applications // Surf. Sci. Rep. 2008. V. 63. P. 427–464.
- Магомедов М.Н. Изучение межатомного взаимодействия, образования вакансий и самодиффузии в кристаллах. М.: Физматлит, 2010. 544 с.
- Шебзухов А.А., Осико Т.П., Кожокова Ф.М., Мозговой А.Г. Поверхностное натяжение жидких щелочных металлов и их сплавов / В кн.: Обзоры по теплофизическим свойствам веществ № 5(31). М.: ИВТАН, 1981. 142c.
- Шебзухова М.А., Шебзухов З.А., Шебзухов А.А. Межфазное натяжение кристаллической наночастицы в жидкой материнской фазе в однокомпонентной металлической системе // ФТТ. 2012. Т. 54. № 1. С. 173–181.
- Новикова С.И. Тепловое расширение твердых тел. М.: Наука, 1974. 294 с.
- Скрипов В.П., Файзуллин М.З. Фазовые переходы кристалл–жидкость–пар и термодинамическое подобие. М.: Физматлит, 2003. 160 с.
Дополнительные файлы





