Investigation of the Decomposition of Al–Sc Solid Solution during Annealing of Deformed Al–0.5% Mg–Sc Alloys
- Authors: Shadrina Y.S.1, Smirnova E.S.1, Chuvil’deev V.N.1, Kopylov V.I1, Shcherbak G.V.1, Shishulin E.O.1, Krutova O.G.1, Bobrov A.A.1, Nokhrin A.V.1, Tabachkova N.Y.2,3
-
Affiliations:
- Lobachevsky State University of Nizhny Novgorod
- MISiS National University of Science and Technology
- Prokhorov General Physics Institute of the Russian Academy of Sciences
- Issue: Vol 124, No 10 (2023)
- Pages: 923-930
- Section: СТРУКТУРА, ФАЗОВЫЕ ПРЕВРАЩЕНИЯ И ДИФФУЗИЯ
- URL: https://bakhtiniada.ru/0015-3230/article/view/232652
- DOI: https://doi.org/10.31857/S0015323022601714
- EDN: https://elibrary.ru/BOGZOZ
- ID: 232652
Cite item
Full Text
Abstract
Abstract
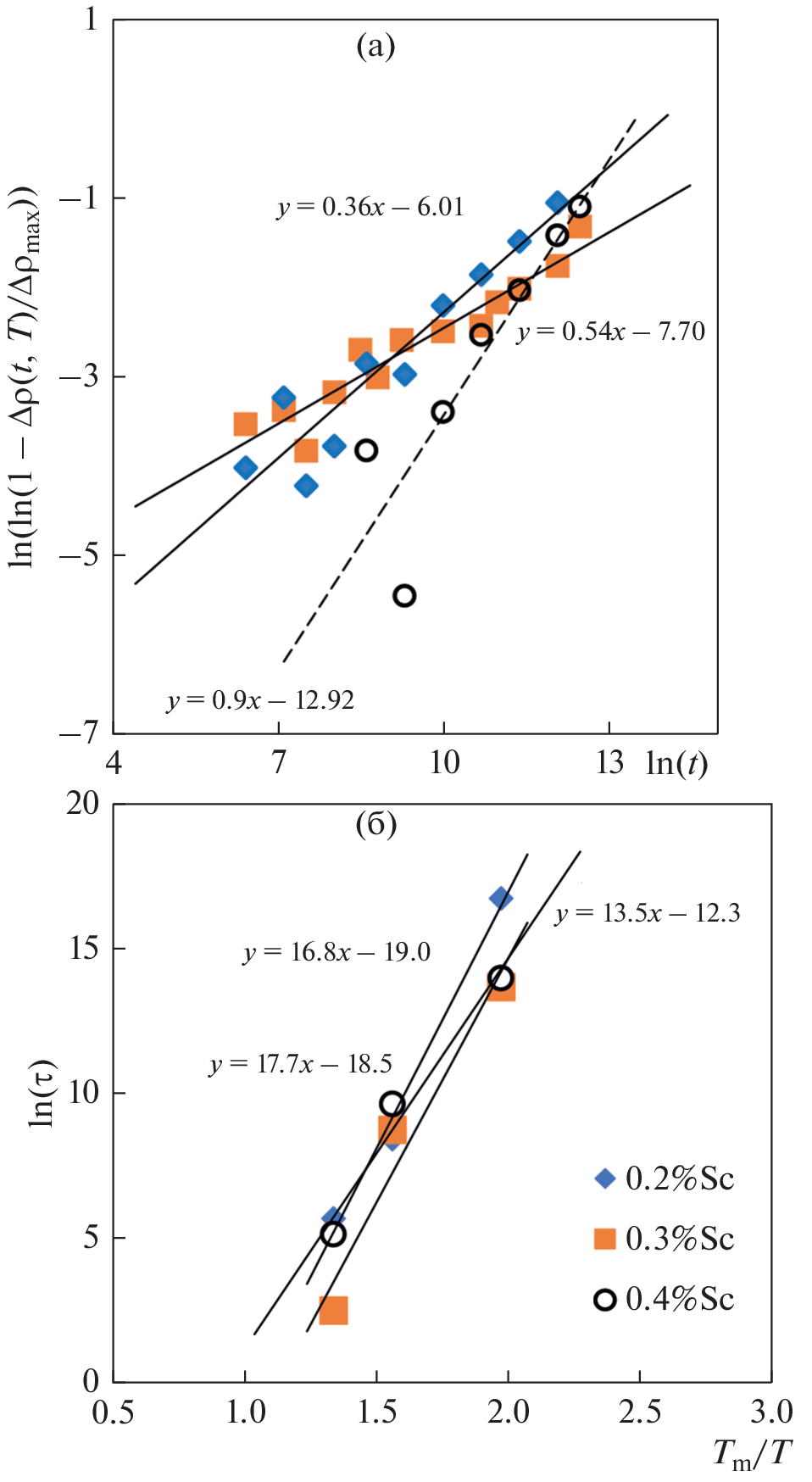
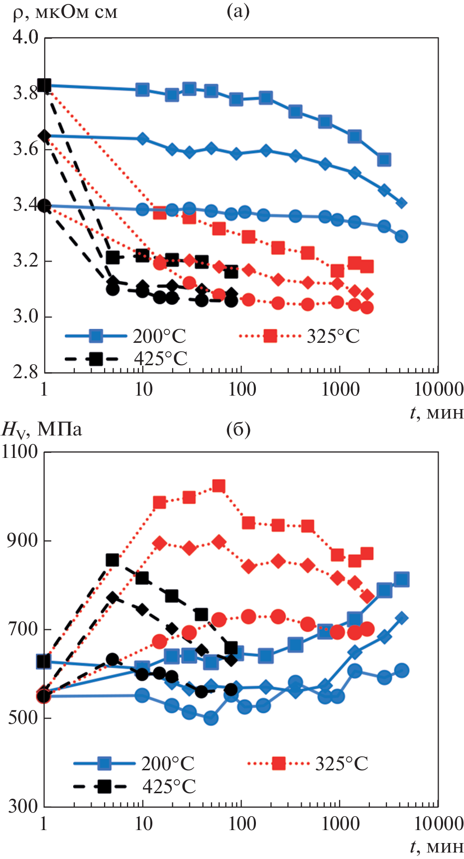
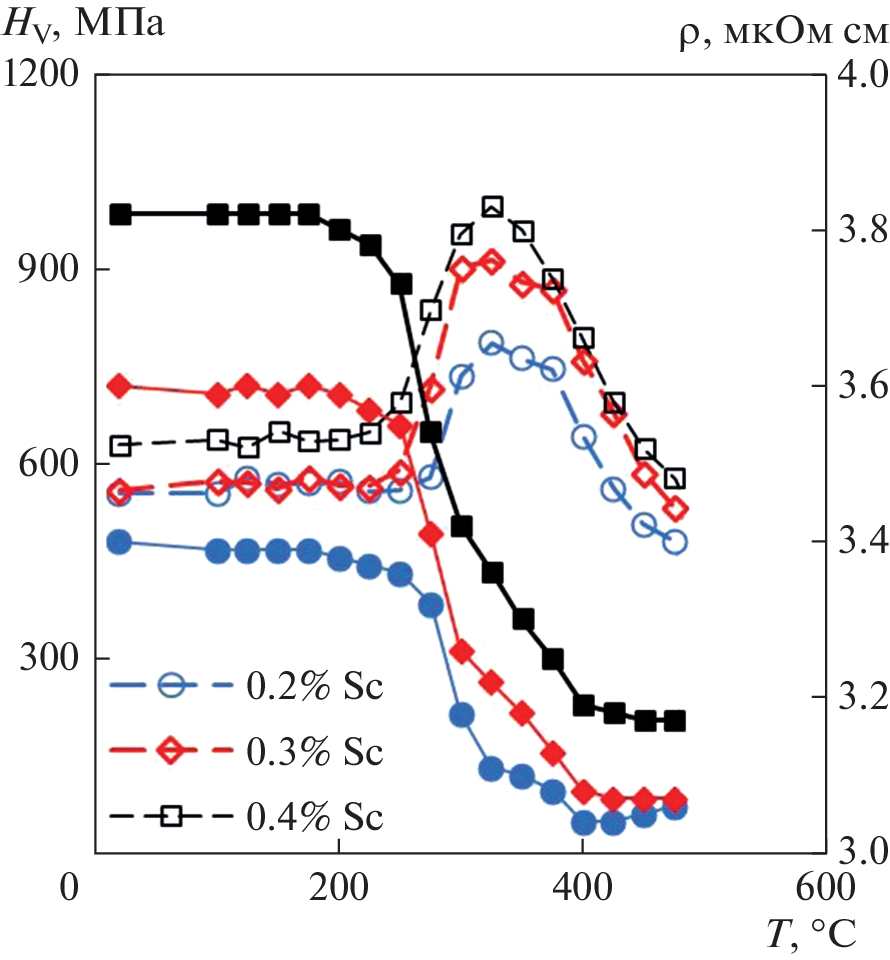
—The results of studies of the kinetics of solid solution decomposition during firing of fine-grained conductive alloys Al–0.5% Mg–Sc with different scandium content are presented. The alloys were obtained by induction casting, and the fine-grained microstructure was formed using equal-channel angular pressing. The kinetics of the decomposition of a solid solution has been studied using methods for measuring electrical resistivity and microhardness. The results were analyzed using the Johnson–Mel–Avrami–Kolmogorov equation. It is shown that during the firing of fine-grained alloys, the separation of Al3Sc particles along the nuclei of lattice dislocations is observed, and discontinuous precipitation of scandium in aluminum also occurs.
Keywords
About the authors
Ya. S. Shadrina
Lobachevsky State University of Nizhny Novgorod
Email: nokhrin@nifti.unn.ru
Russia, 603022, Nizhny Novgorod
E. S. Smirnova
Lobachevsky State University of Nizhny Novgorod
Email: nokhrin@nifti.unn.ru
Russia, 603022, Nizhny Novgorod
V. N. Chuvil’deev
Lobachevsky State University of Nizhny Novgorod
Email: nokhrin@nifti.unn.ru
Russia, 603022, Nizhny Novgorod
V. I Kopylov
Lobachevsky State University of Nizhny Novgorod
Email: nokhrin@nifti.unn.ru
Russia, 603022, Nizhny Novgorod
G. V. Shcherbak
Lobachevsky State University of Nizhny Novgorod
Email: nokhrin@nifti.unn.ru
Russia, 603022, Nizhny Novgorod
E. O. Shishulin
Lobachevsky State University of Nizhny Novgorod
Email: nokhrin@nifti.unn.ru
Russia, 603022, Nizhny Novgorod
O. G. Krutova
Lobachevsky State University of Nizhny Novgorod
Email: nokhrin@nifti.unn.ru
Russia, 603022, Nizhny Novgorod
A. A. Bobrov
Lobachevsky State University of Nizhny Novgorod
Email: nokhrin@nifti.unn.ru
Russia, 603022, Nizhny Novgorod
A. V. Nokhrin
Lobachevsky State University of Nizhny Novgorod
Author for correspondence.
Email: nokhrin@nifti.unn.ru
Russia, 603022, Nizhny Novgorod
N. Yu. Tabachkova
MISiS National University of Science and Technology; Prokhorov General Physics Institute of the Russian Academy of Sciences
Email: nokhrin@nifti.unn.ru
Russia, 119049, Moscow; Russia, 119991, Moscow
References
- Матвеев Ю.А., Гаврилова В.П., Баранов В.В. Легкие проводниковые материалы для авиапроводов // Кабели и провода. 2006. № 5(300). С. 22–24.
- Телешов В.В., Захаров В.В., Запольская В.В. Развитие алюминиевых сплавов для термостойких проводов с повышенной прочностью и высокой удельной электропроводимостью // Технология легких сплавов. 2018. № 1. С. 15–27.
- Барков Р.Ю., Яковцева О.А., Мамзурина О.И., Логинова И.С., Медведева С.В., Просвиряков А.С., Михайловская А.В., Поздняков А.В. Влияние Yb на структуру и свойства электропроводного сплава Al–Y–Sc // ФММ. 2020. Т. 121. Вып. 6. С. 667–672.
- Поздняков А.В., Осипенкова А.А., Попов Д.А., Махов С.В., Напалков В.И. Влияние малых добавок Y, Sm, Gd, Hf и Er на структуру и твердость сплава Al–0.2% Zr–0.1% Sc // МИТОМ. 2016. № 9(735). С. 25–30.
- Yang C., Masquellier N., Gandiolle C., Sauvage X. Multifunctional properties of composition graded Al wires // Scripta Mater. 2020. V. 189. P. 21–24.
- Sauvage X., Nasedkina Y., Bobruk E.V., Murashkin M.Y., Enikeev N.A., Valiev R.Z. Optimization of electrical conductivity and strength combination by structure design at the nanoscale in Al–Mg–Si alloys // Acta Mater. 2015. V. 98. P. 355–366.
- Захаров В.В., Фисенко И.А. Влияние небольших добавок переходных металлов на структуру и свойства малолегированного сплава Al–Sc // Технология легких сплавов. 2020. № 3. С. 11–19.
- Захаров В.В. Перспективы создания экономнолегированных скандием алюминиевых сплавов // МИТОМ. 2018. № 3(753). С. 40–44.
- Segal V.M., Beyerlein I.J., Tome C.N., Chuvil’deev V.N., Kopylov V.I. Fundamentals and Engineering of Severe Plastic Deformation. N.Y.: Nova Science Publishers, 2010. 542 p.
- Сегал В.М., Резников В.И., Копылов В.И., Павлик Д.А., Малышев В.Ф. Процессы пластического структурообразования металлов. Минск: Наука и техника, 1994. 230 с.
- Орлова Т.С., Латынина Т.А., Мурашкин М.Ю., Казыханов В.У. Влияние дополнительной интенсивной пластической деформации при повышенных температурах на микроструктуру и функциональные свойства ультрамелкозернистого сплава Al–0.4Zr // ФТТ. 2019. Т. 61. № 12. С. 2477–2487.
- Чувильдеев В.Н., Шадрина Я.С., Нохрин А.В., Копылов В.И., Бобров А.А., Грязнов М.Ю., Шотин С.В., Табачкова Н.Ю., Пискунов А.В., Чегуров М.К., Мелехин Н.В. Исследование термической стабильности структуры и механических свойств субмикрокристаллических алюминиевых сплавов Al–0.5% Mg–Sc // Металлы. 2021. № 1. С. 10–28.
- Gryaznov M., Shotin S., Nokhrin A., Chuvil’deev V., Likhnitskii C., Kopylov V., Chegurov M., Tabachkova N., Shadrina I., Smirnova E., Pirozhnikova O. Investigation of effect of preliminary annealing on superplasticity of ultrafine-grained conductor aluminum alloys Al–0.5% Mg–Sc // Materials. 2022. V. 15. № 1. P. 176.
- Чувильдеев В.Н., Нохрин А.В., Шадрина Я.С., Пискунов А.В., Копылов В.И., Берендеев Н.Н., Чепеленко В.Н. Исследование термической стабильности структуры и механических свойств мелкозернистых проводниковых алюминиевых сплавов Al–Mg–Zr–Sc(Yb) // Металлы. 2020. № 5. С. 64–76.
- Чувильдеев В.Н., Нохрин А.В., Смирнова Е.С., Копылов В.И. Исследование механизмов распада твердого раствора в литых и микрокристаллических сплавах системы Al–Sc. III. Анализ экспериментальных данных // Металлы. 2012. № 6. С. 82–91.
- Шматко О.А., Усов Ю.В. Структура и свойства металлов и сплавов. Электрические и магнитные свойства металлов. Киев: Наукова думка, 1987. 325 с.
- Чувильдеев В.Н., Смирнова Е.С., Копылов В.И. Исследование механизмов распада твердого раствора в литых и микрокристаллических сплавах системы Al–Sc. II. Модель распада твердого раствора при образовании когерентных частиц второй фазы // Металлы. 2012. № 4. С. 70–84.
- Чувильдеев В.Н., Нохрин А.В., Смирнова Е.С., Копылов В.И. Исследование механизмов распада твердого раствора в литых и микрокристаллических сплавах системы Al–Sc. IV. Влияние распада твердого раствора на механические свойства сплавов // Металлы. 2013. № 5. С. 52–67.
Supplementary files








