Численное моделирование пространственного распределения магнитного поля в устройствах для магнитной седиментации наночастиц из водных сред
- Авторы: Филинкова М.С.1, Медведева И.В.1,2, Жаков С.В.1, Бахтеева Ю.А.1
-
Учреждения:
- Институт физики металлов УрО РАН
- Уральский государственный горный университет
- Выпуск: Том 124, № 10 (2023)
- Страницы: 909-915
- Раздел: ЭЛЕКТРИЧЕСКИЕ И МАГНИТНЫЕ СВОЙСТВА
- URL: https://bakhtiniada.ru/0015-3230/article/view/232644
- DOI: https://doi.org/10.31857/S0015323023600983
- EDN: https://elibrary.ru/CBVPWD
- ID: 232644
Цитировать
Полный текст
Аннотация
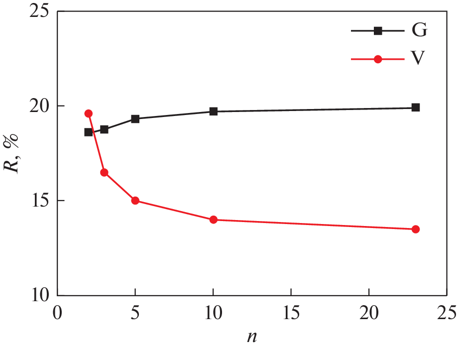
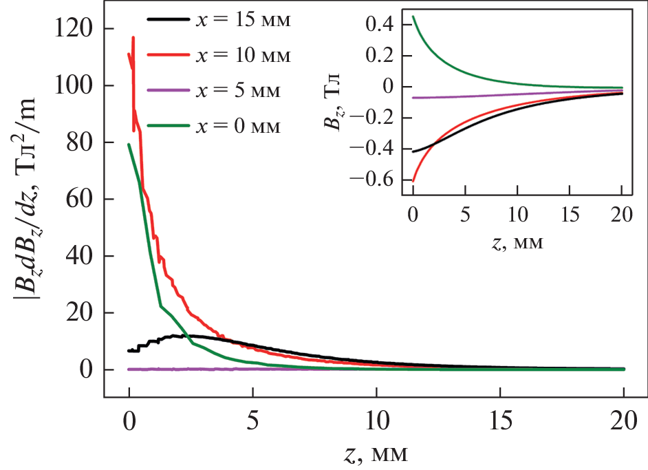
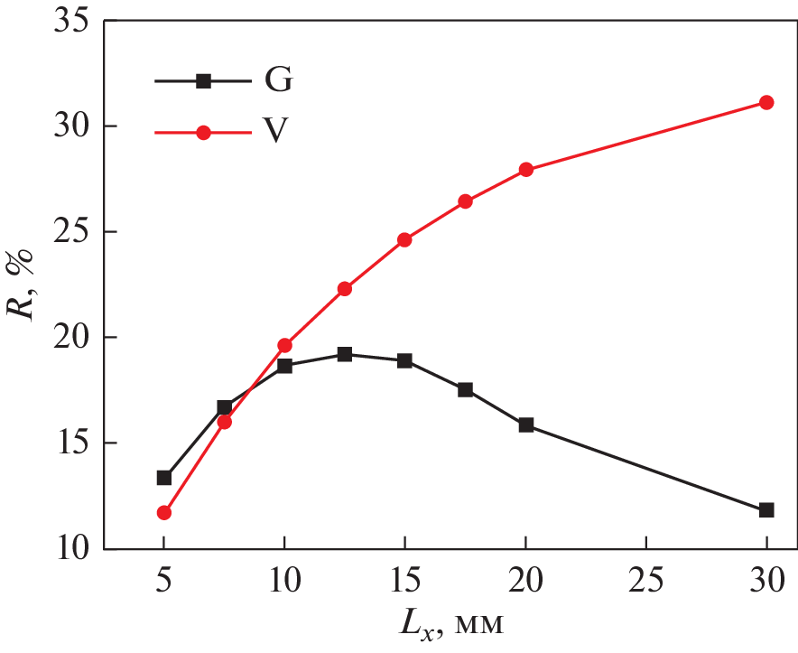
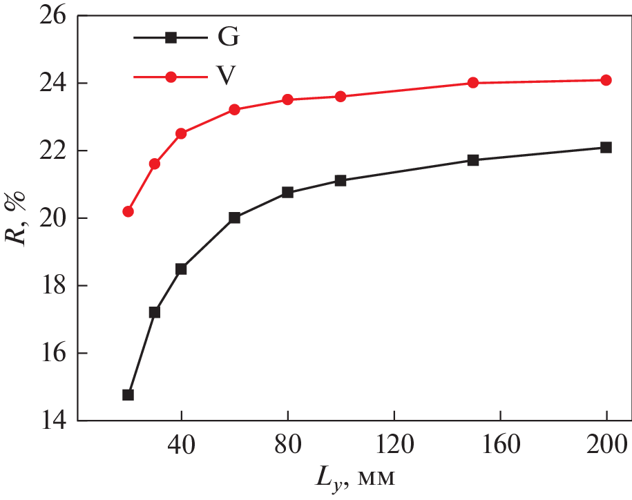
Магнитная седиментация с применением устройств на основе постоянных магнитов является перспективным энергоэффективным и безопасным методом удаления наноразмерных частиц из воды. Проведено численное моделирование распределения магнитного поля в магнитных устройствах, состоящих из комбинации чередующихся плоских постоянных магнитов и вставок из магнитомягкой стали. Рассмотрены два типа устройств с разным направлением намагниченности постоянных магнитов: вертикального (V) и горизонтального (G). Предложен критерий оценки эффективности магнитного устройства R, зависящий от эффективного объема области воды, где реализуется величина произведения \({\text{|}}{{B}_{z}}d{{B}_{z}}{\text{/}}dz{\text{|}}\) > 4 Tл2/м, где Bz – вертикальная компонента магнитной индукции. Варьировали размеры постоянных магнитов и магнитомягких вставок вдоль горизонтальной оси x, соотношение толщин магнитных и стальных пластин и число пластин. Показано, что магнитное устройство типа V позволяет создать эффективный объем, в котором реализуется максимально возможный параметр эффективности R = 31% при толщине магнитных элементов Lx = 30 мм и толщине стальных элементов Ls = 2.5 мм. Магнитное устройство типа G с такими же магнитами, намагниченными горизонтально, позволяет реализовать эффективный объем R = 19% при значениях Lx = = 12.5 мм и Ls = 10 мм. Оба магнитных устройства приемлемо эффективны при выбранных размерах магнитной системы для высоты слоя воды не более 20 мм.
Ключевые слова
Об авторах
М. С. Филинкова
Институт физики металлов УрО РАН
Автор, ответственный за переписку.
Email: filinkova-ms@yandex.ru
Россия, 620990, Екатеринбург, ул. С. Ковалевской, 18
И. В. Медведева
Институт физики металлов УрО РАН; Уральский государственный горный университет
Email: filinkova-ms@yandex.ru
Россия, 620990, Екатеринбург, ул. С. Ковалевской, 18; Россия, 620144, Екатеринбург, ул. Куйбышева, 30
С. В. Жаков
Институт физики металлов УрО РАН
Email: filinkova-ms@yandex.ru
Россия, 620990, Екатеринбург, ул. С. Ковалевской, 18
Ю. А. Бахтеева
Институт физики металлов УрО РАН
Email: filinkova-ms@yandex.ru
Россия, 620990, Екатеринбург, ул. С. Ковалевской, 18
Список литературы
- Медведева И.В., Медведева О.М., Студенок А.Г., Студенок Г.А., Цейтлин Е.М. Новые композитные материалы и процессы для химических, физико-химических и биохимических технологий водоочистки // Изв. вузов. Химия и химическая технология. 2022. Т. 66. № 1. С. 6–27.
- Treviño M.J.S., Zarazúa S., Płotka-Wasylka J. Nanosorbents as materials for extraction processes of environmental contaminants and others // Molecules. 2022. V. 27(3). P. 1067.
- Ningthoujam R., Singh Y.D., Babu P.J., Tirkey A., Pradhan S., Sarma M. Nanocatalyst in remediating environmental pollutants // Chem. Phys. Impact. 2022. V. 4. P. 100 064.
- Leong S.S., Ahmad Z., Low S.Ch., Camacho J., Faraudo J., Lim J.K. Unified view of magnetic nanoparticle separation under magnetophoresis // Langmuir. 2020. V. 36(28). P. 8033–8055.
- Gomez-Pastora J., Xue X., Karampelas I.H., Bringas E., Furlani E.P., Ortiz I. Analysis of separators for magnetic beads recovery: From large systems to multifunctional microdevices // Sep. Pur. Technol. 2017. V. 172. P. 16–31.
- Yeap S.P., Leong S.S., Ahmad A.L., Ooi B.S., Lim J.K. On size fractionation of iron oxide nanoclusters by low magnetic field gradient // J. Phys. Chem. C. 2014. V. 118. P. 24042–24054.
- Yavuz C.T., Mayo J.T., Yu W.W., Prakash A., Falkner J.C., Yean S., Cong L., Shipley H.J., Kan A., Tomson M., Natelson D., Colvin V. Low-field magnetic separation of monodisperse Fe3O4 nanocrystals // Sci. 2006. V. 314. P. 964–967.
- Moeser G.D., Roach K.A., Green W.H., Hatton T.A., Laibinis P.E. High-gradient magnetic separation of coated magnetic nanoparticles // AIChE J. 2004. V. 50(11). P. 2836–2848.
- Ditsch A., Lindenmann S., Laibinis P.E., Wang D.I.C., Hatton T.A. High-gradient magnetic separation of magnetic nanoclusters // Ind. Eng. Chem. Res. 2005. V. 44. P. 6824–6836.
- De Las Cuevas G., Faraudo J., Camacho J. Low-gradient magnetophoresis through field-induced reversible aggregation // J. Phys. Chem. C. 2008. V. 112. P. 945– 950.
- Svoboda J. Magnetic techniques for the treatment of materials // Springer Science. 2004. P. 642.
- Munaz A., Shiddiky M.J.A., Nguyen N.-T. Recent advances and current challenges in magnetophoresis based micro magnetofluidics // Biomicrofluidics. 2018. V. 12. P. 031501.
- Lim B., Vavassori P., Sooryakumar R., Kim Ch. // J. Phys. D: Appl. Phys. 2017. V. 50. P. 033002.
- Zhang H., Ding W., Li Sh., Ya Sh., Li F., Qiu B. On-chip analysis of magnetically labeled cells with integrated cell sorting and counting techniques //Talanta. 2020. V. 220. 1. P. 121351.
- Borlido L., Azevedo A.M., Roque A.C.A., Aires-Barros M.R. Magnetic separation in biotechnology // Biotech. Adv. 2013. V. 31. P. 1374–1385.
- Medvedeva I., Bakhteeva Yu., Zhakov S., Revvo A., Byzov I., Uimin M., Yermakov A., Mysik A. Sedimentation and aggregation of magnetite nanoparticles in water by a gradient magnetic field // J. Nanopart. Res. 2013. V. 15. P. 2054.
- Bakhteeva Yu., Medvedeva I., Filinkova M., Byzov I., Uimin M., Tseitlin E Magnetic nanoparticles for monitoring microplastics pollution in the surface waters // Reliability: Theory and Applications. 2022. V. 17. P. 458–463.
- Bakhteeva I., Medvedeva I., Filinkova M., Byzov I., Minin A., Zhakov S., Uimin M., Patrakov E., Novikov S., Suntsov A., Demin A. Removal of microplastics from water by using magnetic sedimentation // Int. J. Environ. Sci. Technol. 2023.
- Fratzl M., Delshadi S., Devillers T., Bruckert F., Cugat O., Dempsey N.M., Blaire G. Magnetophoretic induced convective capture of highly diffusive superparamagnetic nanoparticles // Soft Matter. 2018. V. 14. P. 2671–2681.
- Zheng X., Wang Y., Lu D., Li X., LiS., Chu H. Comparative study on the performance of circular and elliptic cross-section matrices in axial high gradient magnetic separation: Role of the applied magnetic induction // Miner. Eng. 2017. V. 110. P. 12–19.
- Okada H., Mitsuhashi K., Ohara T., Whitby E.R., Wada H. Computational fluid dynamics simulation of high gradient magnetic separation // Sep Sci Technol. 2005. V. 40. P. 1567–1584.
- Karampelas H., Gomez-Pastora J. Novel Approaches Concerning the Numerical Modeling of Particle and Cell Separation in Microchannels: A Review // Special Issue “Particle and Cell Separation Processes in Microfluidics”. 2022. V. 10(6). P. 1226.
- Prigiobbe V., Ko S., Huh Ch., Bryant S.L. Measuring and modeling the magnetic settling of superparamagnetic nanoparticle dispersions // J. Colloid Interface Sci. 2015. V. 447. P. 58–67.
- Bakhteeva Iu.A., Medvedeva I.V., Uimin M.A., Byzov I.V., Zhakov S.V., Yermakov A.E., Shchegoleva N.N. Magnetic sedimentation and aggregation of Fe3O4@SiO2 nanoparticles in water medium // Sep. Pur. Tech. 2016. V. 159. P. 35–42.
Дополнительные файлы











