Исследование низкотемпературного термомеханического поведения сверхупругого сплава Ti–18Zr–15Nb в различных температурно-скоростных условиях
- Авторы: Деркач М.А.1, Шереметьев В.А.1, Коротицкий А.В.1, Прокошкин С.Д.1
-
Учреждения:
- НИТУ МИСиС
- Выпуск: Том 124, № 9 (2023)
- Страницы: 873-883
- Раздел: ПРОЧНОСТЬ И ПЛАСТИЧНОСТЬ
- URL: https://bakhtiniada.ru/0015-3230/article/view/139496
- DOI: https://doi.org/10.31857/S0015323023601216
- EDN: https://elibrary.ru/EDFOTX
- ID: 139496
Цитировать
Полный текст
Аннотация
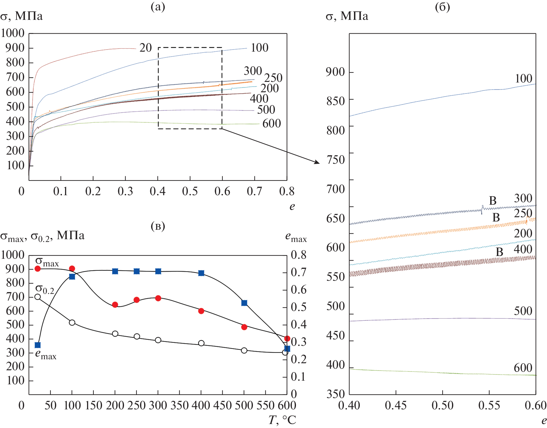
Биомедицинский сплав Ti–18Zr–15Nb (ат. %) с памятью формы подвергли осадке с истинной деформацией e = 0.7 по трем разным режимам: в диапазоне температур от 20 до 600°C при скорости деформации ξ = 0.1 с–1; при температурах 250 и 300°C со скоростями деформации ξ = 0.1, 1 и 10 с–1; деформация при температуре 300°С и скорости ξ = 0.1 с–1 после отжига при температуре 300°С разной продолжительности (τ = 10, 60, 300, 600 и 1200 с). Установлено, что с повышением температуры условный предел текучести σ0.2 непрерывно снижается, при этом в интервале температур деформаций 250–300°C наблюдается увеличение максимального напряжения σmax. В диапазоне температур от 200 до 400°С на кривых течения наблюдаются колебания, амплитуда которых увеличивается с повышением температуры. Изменение σ0.2 и σmax, а также наличие колебаний на диаграммах деформации связаны с протеканием динамического деформационного старения, сопровождающегося выделением частиц избыточной ω-фазы при температурах 200–400°С. Повышение скорости деформации при температурах 250–300°С оказывает сильное влияние на деформационное поведение сплава из-за значительного дополнительного деформационного разогрева. Так, увеличение скорости деформации до ξ = 10 с–1 приводит к скачкообразному снижению напряжения, начиная с e ≈ 0.3, после чего кривая пластического течения приобретает волнообразную форму с низкой частотой колебаний напряжения. Основной фазой после всех режимов термомеханических испытаний является ОЦК β-фаза. После отжига при 300°С с выдержкой более 300 с наблюдаются слабые линии ω-фазы, а после деформации состаренного сплава значительно уширенные линии ω-фазы наблюдаются только после длительной выдержки (1200 с).
Об авторах
М. А. Деркач
НИТУ МИСиС
Email: m144367@edu.misis.ru
Россия, 119049, Москва, Ленинский просп., 4, стр. 1
В. А. Шереметьев
НИТУ МИСиС
Email: m144367@edu.misis.ru
Россия, 119049, Москва, Ленинский просп., 4, стр. 1
А. В. Коротицкий
НИТУ МИСиС
Email: m144367@edu.misis.ru
Россия, 119049, Москва, Ленинский просп., 4, стр. 1
С. Д. Прокошкин
НИТУ МИСиС
Автор, ответственный за переписку.
Email: m144367@edu.misis.ru
Россия, 119049, Москва, Ленинский просп., 4, стр. 1
Список литературы
- Miyazaki S., Kim H.Y., Hosoda H. Development and Characterization of Ni-Free Ti-Base Shape Memory and Superelastic Alloys // Mater. Sci. Eng. A. 2006. V. 438. P. 18–24.
- Biesiekierski A., Wang J., Abdel-Hady Gepreel M., Wen C. A New Look at Biomedical Ti-Based Shape Memory Alloys // Acta Biomater. 2012. V. 8. P. 1661–1669.
- Prokoshkin S., Brailovski V., Dubinskiy S., Zhukova Y., Sheremetyev V., Konopatsky A., Inaekyan K. Manufacturing, Structure Control, and Functional Testing of Ti–Nb-Based SMA for Medical Application // Shape Mem. Superelasticity. 2016. V. 2. P. 130–144.
- Sheremetyev V., Petrzhik M., Zhukova Y., Kazakbiev A., Arkhipova A., Moisenovich M., Prokoshkin S., Brailovski V. Structural, Physical, Chemical, and Biological Surface Characterization of Thermomechanically Treated Ti–Nb-Based Alloys for Bone Implants // J. Biomed. Mater. Res. – Part B Appl. Biomater. 2020. V. 108. P. 647–662.
- Kim H.Y., Fu J., Tobe H., Kim J.Il., Miyazaki S. Crystal Structure, Transformation Strain, and Superelastic Property of Ti–Nb–Zr and Ti–Nb–Ta Alloys // Shape Mem. Superelasticity. 2015. V. 1. P. 107–116.
- Kudryashova A., Sheremetyev V., Lukashevich K., Cheverikin V., Inaekyan K., Galkin S., Prokoshkin S., Brailovski V. Effect of a Combined Thermomechanical Treatment on the Microstructure, Texture and Superelastic Properties of Ti–18Zr–14Nb Alloy for Orthopedic Implants // J. Alloys Compd. 2020. V. 843. P. 156066.
- Lukashevich K.E., Sheremetyev V.A., Kudryashova A.A., Derkach M.A., Andreev V.A., Galkin S.P., Prokoshkin S.D., Brailovski V. Effect of Forging Temperature on the Structure, Mechanical and Functional Properties of Superelastic Ti–Zr–Nb Bar Stock for Biomedical Applications // Lett. Mater. 2022. V. 12. P. 54–58.
- Sheremetyev V., Dubinskiy S., Kudryashova A., Prokoshkin S., Brailovski V. In Situ XRD Study of Stress- and Cooling-Induced Martensitic Transformations in Ultrafine- and Nano-Grained Superelastic Ti–18Zr–14Nb Alloy // J. Alloys Compd. 2022. V. 902. P. 163704.
- Lukashevich K., Sheremetyev V., Komissarov A., Cheveri-kin V., Andreev V., Prokoshkin S., Brailovski V. Effect of Cooling and Annealing Conditions on the Microstructure, Mechanical and Superelastic Behavior of a Rotary Forged Ti–18Zr–15Nb (at %) Bar Stock for Spinal Implants // J. Funct. Biomater. 2022. V. 13. P. 259.
- Sheremetyev V., Lukashevich K., Kreitcberg A., Kudryashova A., Tsaturyants M., Galkin S., Andreev V., Prokoshkin S., Brailovski V. Optimization of a Thermomechanical Treatment of Superelastic Ti–Zr–Nb Alloys for the Production of Bar Stock for Orthopedic Implants // J. Alloys Compd. 2022. V. 928. P. 167143.
- Hickman B.S. The Formation of Omega Phase in Titanium and Zirconium Alloys: A Review // J. Mater. Sci. 1969. V. 4. P. 554–563.
- Ng H.P., Douguet E., Bettles C.J., Muddle B.C. Age-Hardening Behaviour of Two Metastable Beta-Titanium Alloys // Mater. Sci. Eng. A. 2010. V. 527. P. 7017–7026.
- Ballor J., Li T., Prima F., Boehlert C.J., Devaraj A. A Review of the Metastable Omega Phase in Beta Titanium Alloys: The Phase Transformation Mechanisms and Its Effect on Mechanical Properties // Int. Mater. Rev. 2022. V. 68. P. 1–20.
- Lee C.M., Ju C.P., Lin J.H.C. Structure – Property Relationship of Cast Ti–Nb Alloys // J. Oral Rehabil. 2002. V. 29. P. 314–322.
- Hon Y.-H., Wang J.-Y., Pan Y.-N. Composition/Phase Structure and Properties of Titanium–Niobium Alloys // Mater. Trans. 2003. V. 44. P. 2384–2390.
- Niinomi M. Improvement in Mechanical Performance of Low-Modulus β-Ti–Nb–Ta–Zr System Alloys by Microstructural Control via Thermomechanical Processing // Int. J. Mod. Phys. B. 2008. V. 22. P. 2787–2795.
- Niinomi M. Fatigue Performance and Cyto-Toxicity of Low Rigidity Titanium Alloy, Ti–29Nb–13Ta–4.6Zr // Biomaterials. 2003. V. 24. P. 2673–2683.
- Málek J., Hnilica F., Veselý J., Smola B., Bartáková S., Vaněk J. The Influence of Chemical Composition and Thermo-Mechanical Treatment on Ti–Nb–Ta–Zr Alloys // Mater. Des. 2012. V. 35. P. 731–740.
- Al-Zain Y., Kim H.Y., Koyano T., Hosoda H., Miyazaki S. A Comparative Study on the Effects of the ω and α Phases on the Temperature Dependence of Shape Memory Behavior of a Ti–27Nb Alloy // Scr. Mater. 2015. V. 103. P. 37–40.
- Li S., Choi M.-Seon, Nam T.-Hyun. Role of Fine Nano-Scaled Isothermal Omega Phase on the Mechanical and Superelastic Properties of a High Zr-Containing Ti–Zr–Nb–Sn Shape Memory Alloy // Mater. Sci. Eng. A. 2020. V. 782. P. 139278.
- Lin Z., Wang L., Xue X., Lu W., Qin J., Zhang D. Microstructure Evolution and Mechanical Properties of a Ti–35Nb–3Zr–2Ta Biomedical Alloy Processed by Equal Channel Angular Pressing (ECAP) // Mater. Sci. Eng. C. 2013. V. 33. P. 4551–4561.
- Gunderov D., Prokoshkin S., Churakova A., Sheremetyev V., Ramazanov I. Effect of HPT and Accumulative HPT on Structure Formation and Microhardness of the Novel Ti18Zr15Nb Alloy // Mater. Lett. 2021. V. 283. P. 128819.
- Sheremetyev V., Churakova A., Derkach M., Gunderov D., Raab G., Prokoshkin S. Effect of ECAP and Annealing on Structure and Mechanical Properties of Metastable Beta Ti–18Zr–15Nb (at. %) Alloy // Mater. Lett. 2021. V. 305. P. 130760.
- Singh A.K., Mohan M., Divakar C. Pressure-Induced Alpha-Omega Transformation in Titanium: Features of the Kinetics Data // J. Appl. Phys. 1983. V. 54. P. 5721–5726.
- Errandonea D., Meng Y., Somayazulu M., Häusermann D. Pressure-Induced → ω Transition in Titanium Metal: A Systematic Study of the Effects of Uniaxial Stress // Phys. B. Condens. Matter. 2005. V. 355. P. 116–125.
- Ivanisenko Y., Kilmametov A., Rösner H., Valiev R.Z. Evidence of α → ω Phase Transition in Titanium after High Pressure Torsion. Int // J. Mater. Res. 2008. V. 99. P. 36–41.
- Wang Y.B., Zhao Y.H., Lian Q., Liao X.Z., Valiev R.Z., Ringer S.P., Zhu Y.T., Lavernia E.J. Grain Size and Reversible Beta-to-Omega Phase Transformation in a Ti Alloy // Scr. Mater. 2010. V. 63. P. 613–616.
- Xie K.Y., Wang Y., Zhao Y., Chang L., Wang G., Chen Z., Cao Y., Liao X., Lavernia E.J., Valiev R.Z., Sarrafpour B., Zoellner H., Ringer S.P. Nanocrystalline β-Ti Alloy with High Hardness, Low Young’s Modulus and Excellent in Vitro Biocompatibility for Biomedical Applications // Mater. Sci. Eng. C. 2013. V. 33. P. 3530–3536.
- Cottrell A.H. Theory of Dislocations // Prog. Met. Phys. 1949. V. 1. P. 77–126.
- Caillard D. Dynamic Strain Ageing in Iron Alloys: The Shielding Effect of Carbon // Acta Mater. 2016. V. 112. P. 273–284.
- Banerjee S., Naik U.M. Plastic Instability in an Omega Forming Ti–15% Mo Alloy // Acta Mater. 1996. V. 44. P. 3667–3677.
- Gunderov D., Kim K., Gunderova S., Churakova A., Lebedev Y., Nafikov R., Derkach M., Lukashevich K., Sheremetyev V., Prokoshkin S. Effect of High-Pressure Torsion and Annealing on the Structure, Phase Composition, and Microhardness of the Ti–18Zr–15Nb (at %) Alloy // Mater. 2023. V. 16. P. 1754.
- Humphreys F.J., Hatherly M. Recrystallization and Related Annealing Phenomena // Elsevier. 2012. 520 p.
- Rodriguez P. Serrated Plastic Flow // Bull. Mater. Sci. 1984. V. 6. P. 653–663.
- Avalos M., Alvarez-Armas I., Armas A.F. Dynamic Strain Aging Effects on Low-Cycle Fatigue of AISI 430F // Mater. Sci. Eng. A. 2009. V. 513–514. P. 1–7.
- Tjong S.C., Zhu S.M. Tensile Deformation Behavior and Work Hardening Mechanism of Fe–28Mn–9Al–0.4C and Fe–28Mn–9Al–1C Alloys // Mater. Trans. JIM. 1997. V. 38. P. 112–118.
- Choudhary B.K., Samuel E.I., Sainath G., Christopher J., Mathew M.D. Influence of Temperature and Strain Rate on Tensile Deformation and Fracture Behavior of P92 Ferritic Steel // Metall. Mater. Trans. A. Phys. Metall. Mater. Sci. 2013. V. 44. P. 4979–4992.
Дополнительные файлы










