ATOMISTIC SIMULATION OF SELF- DIFFUSION AND DIFFUSION Co ALONG SYMMETRIC TILT GRAIN BOUNDARIES [2¯1 ¯1 0] IN α-Ti
- Авторлар: Urazaliev M.G.1, Stupak M.E.1, Popov V.V.1
-
Мекемелер:
- Mikheev Institute of Metal Physics, Ural Branch, Russian Academy of Sciences
- Шығарылым: Том 124, № 9 (2023)
- Беттер: 861-872
- Бөлім: СТРУКТУРА, ФАЗОВЫЕ ПРЕВРАЩЕНИЯ И ДИФФУЗИЯ
- URL: https://bakhtiniada.ru/0015-3230/article/view/139493
- DOI: https://doi.org/10.31857/S0015323023601253
- EDN: https://elibrary.ru/EDDYKR
- ID: 139493
Дәйексөз келтіру
Толық мәтін
Аннотация
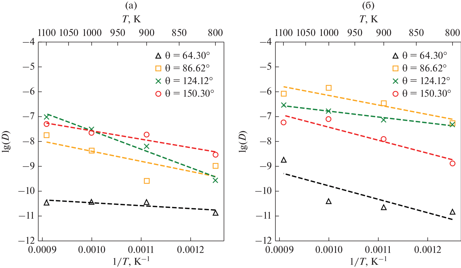
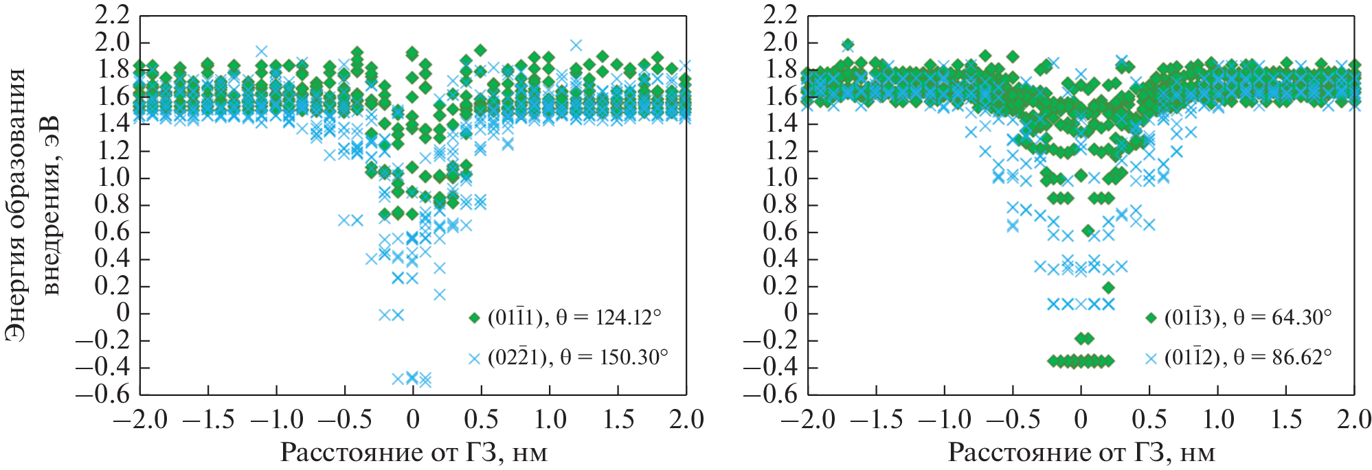
The structure, point defects, self-diffusion, and diffusion of Co for four energetically preferred grain boundaries (GB) with the tilt axis [21 1 0] in α-Ti are being investigated by computer modeling methods. The structure and energies of the boundaries and the energies of the formation of point defects in GB, were calculated by molecular static modeling. The dependencies of point defect formation energies on the distance from the grain boundary plane are demonstrated. The coefficients of grain boundary self-diffusion are calculated by the method of molecular dynamics. The results of self-diffusion modeling are compared with the available experimental data. The simulation of grain boundary diffusion of the impurity Co in titanium is also performed. It is shown that the structure of GB affects the parameters of grain-boundary diffusion both in the case of self-diffusion and in the case of impurity diffusion, and the coefficients of grain-boundary diffusion may differ by several orders of magnitude depending on the structure.
Негізгі сөздер
Авторлар туралы
M. Urazaliev
Mikheev Institute of Metal Physics, Ural Branch, Russian Academy of Sciences
Email: urazaliev@imp.uran.ru
Ekaterinburg, 620108 Russia
M. Stupak
Mikheev Institute of Metal Physics, Ural Branch, Russian Academy of Sciences
Email: urazaliev@imp.uran.ru
Ekaterinburg, 620108 Russia
V. Popov
Mikheev Institute of Metal Physics, Ural Branch, Russian Academy of Sciences
Хат алмасуға жауапты Автор.
Email: urazaliev@imp.uran.ru
Ekaterinburg, 620108 Russia
Әдебиет тізімі
- Sutton A.P., Balluffi R.W. Interfaces in Crystalline Materials. Clarendon Press, New York: Oxford University Press, 1995. 819 p.
- Korneva M.A., Starikov S.V., Zhilyaev A.P., Akhatov I.S., Zhilyaev P.A. Atomistic Modeling of Grain Boundary Migration in Nickel // Adv. Eng. Mater. 2020. V. 22. P. 2000115. https://doi.org/10.1002/adem.202000115
- He H., Ma S., Wang S. Survey of Grain Boundary Energies in Tungsten and Beta-Titanium at High Temperature // Materials. 2022. V. 15. P. 156. https://doi.org/10.3390/ma15010156
- He H., Ma S., Wang S. Molecular dynamics investigation on tilt grain boundary energies of beta-titanium and tungsten at high temperature // Mater. Res. Express. 2021. V. 8. P. 116509. https://doi.org/10.1088/2053-1591/ac3606
- Tschopp M.A., McDowell D.L. Structures and energies of Σ3 asymmetric tilt grain boundaries in copper and aluminium // Phil. Mag. 2007. V. 87. № 22. P. 3147–3173. https://doi.org/10.1080/14786430701255895
- Frolov T., Olmsted D.L., Asta M., Mishin Y. Structural phase transformations in metallic grain boundaries // NATURE COMMUNICATIONS. 2013. V. 4. P. 1899. https://doi.org/10.1038/ncomms2919
- Zhang L., Lu C., Tieu. K. A review on atomistic simulation of grain boundary behaviors in face-centered cubic metals // Comp. Mater. Sci. 2016. V. 118. P. 180–191. https://doi.org/10.1016/j.commatsci.2016.03.021
- Liu Z.-H., Feng Y.-X., Shang J.-X Characterizing twist grain boundaries in BCC Nb by molecular simulation: Structure and shear deformation // Applied Surface Science. 2016. V. 370 P. 19–24. https://doi.org/10.1016/j.apsusc.2016.02.097
- Frolov T., Setyawan W., Kurtz R.J., Marian J., Oganov A.R., Rudd R.E., Zhu Q. Grain boundary phases in bcc metals // Nanoscale. 2018. V. 10(17). P. 8253–8268. https://doi.org/10.1039/C8NR00271A
- Wang J., Beyerlein I.J. Atomic Structures of [010] Symmetric Tilt Grain Boundaries in Hexagonal Close-Packed (hcp) Crystals // Metall. Mater. Trans. A. 2012. V. 43. P. 3556–3569. https://doi.org/10.1007/s11661-012-1177-610.1007/s11661-012-1177-6
- Liu P., Xie J., Wang A., Ma D., Mao Z. Molecular dynamics simulation on the deformation mechanism of monocrystalline and nano-twinned TiN under nanoindentation // Mater. Chem. Phys. 2020. V. 252. P. 123263. https://doi.org/10.1016/j.matchemphys.2020.123263
- Barrett C., Martinez J., Nitol M. Faceting and Twin–Twin Interactions in {1121} and {1122} Twins in titanium // Metals. 2022. V. 12. P. 895. https://doi.org/10.3390/met12060895
- Wang J., Beyerlein. I.J. Atomic structures of symmetric tilt grain boundaries in hexagonal close packed (hcp) crystals // Modelling Simul. Mater. Sci. Eng. 2012. V. 20. P. 024002. https://doi.org/10.1088/0965-0393/20/2/024002
- Bhatia M.A., Solanki K.N. Energetics of vacancy segregation to symmetric tilt grain boundaries in hexagonal closed pack materials // J. Appl. Phys. 2013. V. 114. P. 244309. https://doi.org/10.1063/1.4858401
- Wang J., Yadav S.K., Hirth J.P., Tomé C.N., Beyerlein I.J. Pure-Shuffle Nucleation of Deformation Twins in Hexagonal-Close-Packed Metals// Materials Research Letters. 2013. V. 1. № 3. P. 126–132. https://doi.org/10.1080/21663831.2013.792019
- Ma Shang-Yi, Wang Shao-Qing. The formation and anisotropic/isotropic diffusion behaviors of vacancy in typical twin boundaries of α-Ti: An ab initio study// Comp. Mater. Sci. 2019. V. 159. P. 257–264. https://doi.org/10.1016/j.commatsci.2018.12.030
- Уразалиев М.Г., Ступак М.Е., Попов В.В. Атомистическое моделирование специальных границ наклона в α-Ti: структура, энергия, точечные дефекты, зернограничная самодиффузия // ФММ. 2022. Т. 123. № 6. С. 614–620.
- Urazaliev M.G., Stupak M.E., Popov V.V. Energetically favorable configurations of symmetric tilt grain boundaries in HCP titanium // AIP Conference Proceedings. 2022. V. 2466. P. 030047.
- Herzig C., Willecke R., Vieregge K. Self-diffusion and fast cobalt impurity diffusion in the bulk and in grain boundaries of hexagonal titanium // Phil. Mag. A. 1991. V. 63. № 5. P. 949–958. https://doi.org/10.1080/01418619108213927
- Herzig C., Wilger T., Przeorski T., Hisker F., Divinski S. Titanium tracer diffusion in grain boundaries of α-Ti. α2-Ti3Al. and γ-TiAl and in α2/γ interphase boundaries // Intermetallics. 2001. V. 9. P. 431–442. https://doi.org/10.1016/S0966-9795(01)00022-X
- Fiebig J., Divinski S., Rösner H., Estrin Y., Wilde G. Diffusion of Ag and Co in ultrafine-grained α-Ti deformed by equal channel angular pressing // J. Appl. Phys. 2011. V. 110. P. 083514. https://doi.org/10.1063/1.3650230
- Fernández J.R., Monti A.M., Pasianott R.C., Vitek V. An atomistic study of formation and migration of vacancies in (1121) twin boundaries in Ti and Zr // Phil. Mag. A. 2000. V. 80. № 6. P. 1349–1364. https://doi.org/10.1080/01418610008212123
- Oh S.-H., Seol D., Lee B.-J. Second nearest-neighbor modified embedded-atom method interatomic potentials for the Co-M (M = Ti, V) binary systems // Calphad. 2020. V. 70. P. 101791. https://doi.org/10.1016/j.calphad.2020.101791
- NIST Interatomic Potentials Repository: https:// www.ctcms.nist.gov/potentials.
- Kittel C., McEuen P. Introduction to Solid State Physics. V. 8. Wiley. New York, 1996.
- Fisher E.S., Renken C.J. Single-Crystal Elastic Moduli and the hcp → bcc Transformation in Ti, Zr, and Hf // Phys. Rev. 1964. V. 135. I.2A. P. 482. https://doi.org/10.1103/PhysRev.135.A482
- Hashimoto E., Smirnov E.A., Kino T. Temperature dependence of the Doppler-broadened lineshape of positron annihilation in α-Ti // J. Phys. F: Met. Phys. 1984. V. 14. P L215. https://doi.org/10.1088/0305-4608/14/10/004
- Tyson W.R., Miller W.A. Surface free energies of solid metals. Estimation from liquid surface tension measurements // Surf. Sci. 1977. V. 62. I. 1. P. 267–276. https://doi.org/10.1016/0039-6028(77)90442-3
- Plimpton S. Fast Parallel Algorithms for Short-Range Molecular Dynamics // J. Comp. Phys. 1995. V. 117. № 1. P. 1–19.https://doi.org/10.1006/jcph.1995.1039
- Hirel P. Atomsk: A tool for manipulating and converting atomic data files // Comput. Phys. Comm. 2015. V. 197. P. 212–219. https://doi.org/10.1016/j.cpc.2015.07.012
- Stukowski. A. Visualization and analysis of atomistic simulation data with OVITO – the Open Visualization Tool // Modelling Simul. Mater. Sci. Eng. 2010. V. 18. P. 015012. https://doi.org/10.1088/0965-0393/18/1/015012
- Suzudo T., Yamaguchi M., Hasegawa A. Stability and mobility of rhenium and osmium in tungsten: first principles study // Modelling Simul. Mater. Sci. Eng. 2014. V. 22. P. 075006. https://doi.org/10.1088/0965-0393/22/7/075006
- Nosé S. A unified formulation of the constant temperature molecular dynamics methods // J. Chem. Phys. 1984. V. 81. P. 511. https://doi.org/10.1063/1.447334
- Faken D., Jónsson H. Systematic Analysis of Local Atomic Structure Combined with 3D Computer Graphics // Comput. Mater. Sci. 1994. V. 2. P. 279–286. https://doi.org/10.1016/0927-0256(94)90109-0
- Suzuki A., Mishin Y. Atomistic Modeling of Point Defects and Diffusion in Copper Grain Boundaries // Interface Sci. 2003. V. 11. P. 131–148. https://doi.org/10.1023/A:1021599310093
- Starikov S., Mrovec M., Drautz R. Study of grain boundary self-diffusion in iron with different atomistic models // Acta Mater. 2020. V. 188. P. 560–569. https://doi.org/10.1016/j.actamat.2020.02.027
- Popov V.V. Mossbauer spectroscopy of interfaces in metals // Phys. Met. Metal. 2012. V. 113. № 13. P. 1257–1289. https://doi.org/10.1134/S0031918X12130029
- Grigoriev I.S., Meilikhov E.Z. Handbook of Physical Values. Energoatomizdat, Moscow, 1991.
- Ступак М.Е., Уразалиев М.Г., Попов В.В. Структура и энергия симметричных границ наклона 〈110〉 в поликристаллическом W // ФММ. 2020. Т. 121. № 8. С. 877–883. https://doi.org/10.31857/S0015323020080112
- Уразалиев М.Г., Ступак М.Е, Попов В.В. Структура и энергия симметричных границ наклона с осью 〈110〉 в Ni и энергии образования вакансий в границах зерен // ФММ. 2021. Т. 122. № 7. С. 713–720. https://doi.org/10.1134/S0031918X21070139
- Hallil A., Metsu A., Bouhattate J., Feaugas X. Correlation between vacancy formation and Σ3 grain boundary structures in nickel from atomistic simulations // Phil. Mag. 2016. V. 96. № 20. P. 2088–2114. https://doi.org/10.1080/14786435.2016.1189616
Қосымша файлдар









