DECOMPOSITION OF THE METASTABLE BETA PHASE IN HIGH-STRENGTH TITANIUM ALLOYS VST5553, Ti–10V–2Fe–3Al, and BETA-21S
- Authors: Kalienko M.S.1,2, Zhelnina A.V.1,2, Popov A.A.1,2,3
-
Affiliations:
- Public Stock Company "VSMPO-AVISMA Corporation"
- Ural Federal University
- Mikheev Institute of Metal Physics, Ural Branch, Russian Academy of Sciences
- Issue: Vol 124, No 9 (2023)
- Pages: 854-860
- Section: СТРУКТУРА, ФАЗОВЫЕ ПРЕВРАЩЕНИЯ И ДИФФУЗИЯ
- URL: https://bakhtiniada.ru/0015-3230/article/view/139491
- DOI: https://doi.org/10.31857/S0015323023601198
- EDN: https://elibrary.ru/YYTIKR
- ID: 139491
Cite item
Full Text
Abstract
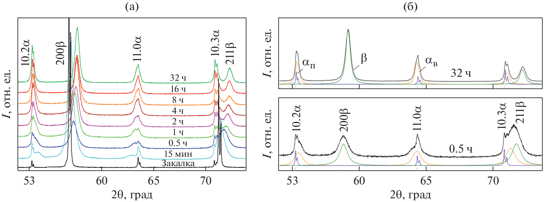
In this paper the decomposition and evolution of microstructures of the metastable β-phase during aging of Ti10V2Fe3Al, VST5553, and Beta-21S alloys were studied. A comparative study of the evolution of the microstructure and crystal lattice of phases in alloys during aging has been carried out. Features of the nucleation and growth of the secondary α-phase formed during aging were observed using scanning electron microscopy. The concomitant diffusion redistribution of alloying elements between the phases was studied using the method of full-profile X-ray diffraction analysis. It has been established that during aging, the change in the periods of crystal lattices in the studied alloys has a general pattern, which is associated with the common nature of the process of diffusion redistribution of alloying elements between phases. The morphology formed during the decomposition of the secondary α-phase differs between alloys and is determined by the stability of the β-phase after quenching.
Keywords
About the authors
M. S. Kalienko
Public Stock Company "VSMPO-AVISMA Corporation"; Ural Federal University
Email: kamak@yandex.ru
Verkhnaya Salda, Sverdlovsk region, 624760 Russia; Ekaterinburg, 620002 Russia
A. V, Zhelnina
Public Stock Company "VSMPO-AVISMA Corporation"; Ural Federal University
Email: kamak@yandex.ru
Verkhnaya Salda, Sverdlovsk region, 624760 Russia; Ekaterinburg, 620002 Russia
A. A. Popov
Public Stock Company "VSMPO-AVISMA Corporation"; Ural Federal University; Mikheev Institute of Metal Physics, Ural Branch, Russian Academy of Sciences
Author for correspondence.
Email: kamak@yandex.ru
Verkhnaya Salda, Sverdlovsk region, 624760 Russia; Ekaterinburg, 620002 Russia; Ekaterinburg, 620108 Russia
References
- Полькин И.С. Упрочняющая термическая обработка титановых сплавов. М.: Металлургия, 1984. 96 с.
- Ильин А.А. Механизм и кинетика фазовых и структурных превращений в титановых сплавах. М.: Наука, 1994. 304 с.
- Цвиккер У. Титан и его сплавы. М.: Мир, 1979. 512 с.
- Ильин А.А., Колачев Б.А., Полькин И.С. Титановые сплавы. Состав, структура, свойства / Справочник. М.: ВИЛС, 2009. 520 с.
- Полькин И.С., Егорова Ю.Б., Давыденко Л.В. Статистическая оценка свойств титановых сплавов // Технология легких сплавов. 2015. № 1. С. 27–36.
- Wang C.Y., Yang L.W., Cui Y.W., Pérez-Prado M.T. High throughput analysis of solute effects on the mechanical behavior and slip activity of beta titanium alloys // Mater. Des. 2018. V. 137. P. 371–383.
- Zhang Y., Tang B., Kou H., Wang H., Wang J., Xu D., Lin D. Revealing the local lattice strains and strengthening mechanisms of Ti alloys // Comput. Mater. Sci. 2018. V. 152. P. 169–177.
- Pan Y., Sun Q., Xiao L., Ding X., Juan L. Plastic deformation behavior and microscopic mechanism of metastable Ti–10V–2Fe–3Al alloy single crystal pillars orientated to 〈011〉β in submicron scales Part II: Phase transformation dependence of size effect and deformation mechanism // Mater. Sci. Eng. A. 2019. V. 743. P. 804–810.
- Желнина А.В., Калиенко М.С., Щетников Н.В., Водолазский Ф.В. Эволюция структурно-фазового состояния в закаленном титановом сплаве Ti–10V–2Fe–3Al при старении // Неорганические материалы. 2021. Т. 57. № 4. С. 449–456.
- Желнина А.В., Калиенко М.С., Илларионов А.Г., Щетников Н.В. Трансформация структуры, параметров фаз при старении сплава титана Ti–10V–2Fe–3Al и их связь упрочнением // Физика металлов и металловедение. 2020. Т. 121. № 12. С. 1324–1330.
- Bein S., Bechet J. Phase transformation kinetics and mechanisms in titanium alloys Ti-6.2. 4.6, β-CEZ and Ti-10.2. 3 // Le Journal de Physique IV. 1996. V. 6. № 1. P. 99–108.
- Калиенко М.С., Желнина А.В., Илларионов А.Г. Влияние скорости нагрева до температуры старения на структуру и упрочнение титанового сплава TI–10V–2FE–3AL с разным содержанием углерода // Физика металлов и металловедение. 2022. Т. 123. № 6. С. 621–629.
- Maeda T., Flower H.M. Element Partitioning Behavior in Commercial β Titanium Alloys / Proceedings of the 11th World Conference on Titanium, Kyoto, Japan, 2007. P. 443–446.
- Malinov S., Sha W., Markovsky P. Experimental study and computer modelling of the β → α+ β phase transformation in β21s alloy at isothermal conditions // J. Alloys Compd. 2003. V. 348. № 1–2. P. 110–118.
- Jones N.G., Dashwood R.J., Jackson M., Dye D. β Phase decomposition in Ti–5Al–5Mo–5V–3Cr // Acta Mater. 2009. V. 57. № 13. P. 3830–3839.
- Goetz M., Dehmas M., Appolaire B., Aeby-Gautier E., Andrieu S., Billot T. Decomposition of the β phase at intermediate temperature in β-metastable Ti-5553 alloy // MATEC Web of Conferences. EDP Sciences, 2020. V. 321. P. 12024.
- Cotton J.D., Briggs R.D., Boyer R.R., Tamirisakandala S., Russo P., Shchetnikov N., Fanning J.C. State of the Art in Beta Titanium Alloys for Airframe Applications // JOM. 2015. V. 67. P. 1281–1303.
- Bignon M., Bertrand E., Rivera-Díaz-Del-Castillo P.E., Tancret F. Martensite formation in titanium alloys: Crystallographic and compositional effects // J. Alloys Compd. 2021. V. 872. P. 159636.
- Fitzner A., Thomas M., Fonseca J.Q.D., Zhang S.Y., Kelleher J., Preuss M. The effect of aluminium on deformation and twinning in alpha titanium: the ND case / Proceedings of the 13th World Conference on Titanium. Hoboken, NJ, USA: John Wiley & Sons, Inc., 2016. P. 1051–1055.
- Aurelio G., Guillermet A.F., Cuello G.J., Campo J. Metastable Phases in the Ti–V System: Part I. Neutron Diffraction Study and Assessment of Structural Properties // Metall. Mater. Trans. A. 2002. V. 33. P. 1307–1317.
- Huang S., Zhang J., Ma Y., Zhang S., Youssef S.S., Qi M., Yang R. Influence of thermal treatment on element partitioning in α + β titanium alloy // J. Alloys Compd. 2019. V. 791. P. 575–585.
Supplementary files







