Magnetic properties and structure of the Fe63.5Mn10Cu1Nb3Si13.5B9 alloy nanocrystallized under tensile stresses
- Authors: Lukshina V.A.1, Dmitrieva N.V.1, Volkova E.G.1, Shishkin D.A.1,2
-
Affiliations:
- Mikheev Institute of Metal Physics, Ural Branch, Russian Academy of Sciences
- Ural Federal University
- Issue: Vol 124, No 9 (2023)
- Pages: 811-820
- Section: ЭЛЕКТРИЧЕСКИЕ И МАГНИТНЫЕ СВОЙСТВА
- URL: https://bakhtiniada.ru/0015-3230/article/view/139481
- DOI: https://doi.org/10.31857/S0015323023601137
- EDN: https://elibrary.ru/EDKVHI
- ID: 139481
Cite item
Full Text
Abstract
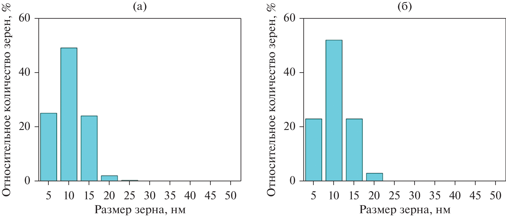
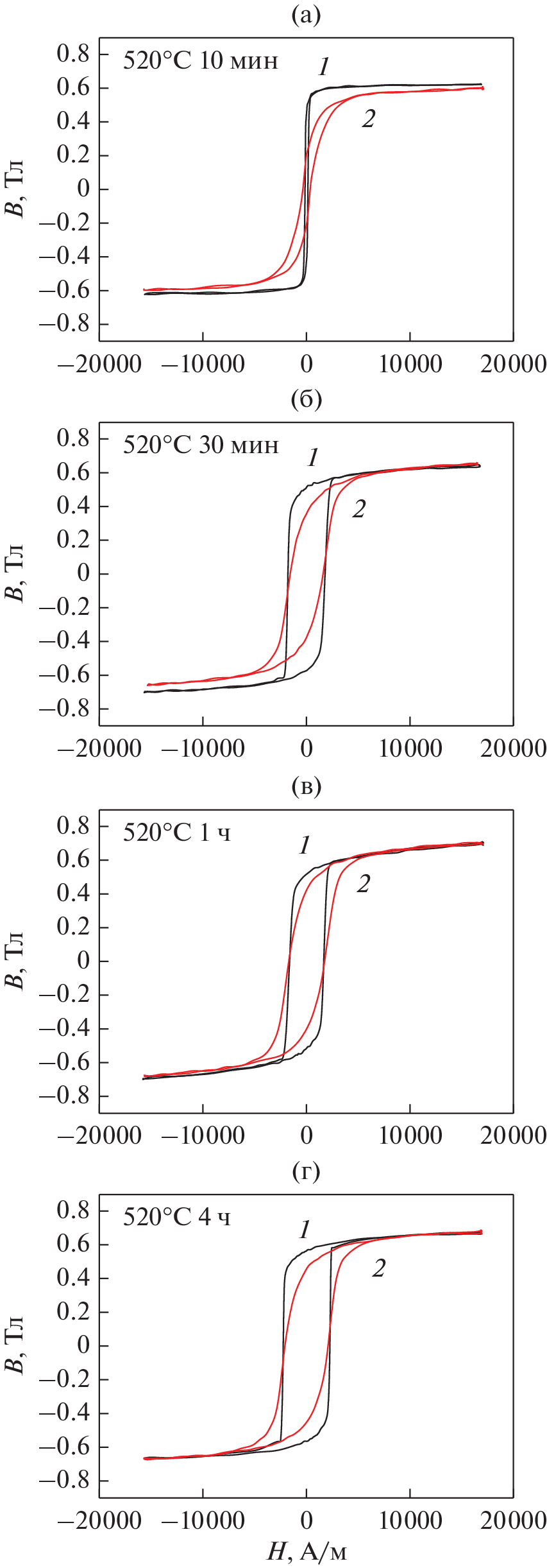
The influence of introduction of 10 at. % Mn for Fe in the classical Finemet (Fe73.5Cu1Nb3Si13.5B9) on its magnetic properties, magnetic anisotropy, and structure is studied after nanocrystallization annealing at 520°C with varying duration from 10 min to 4 h in the presence of tensile stresses (σ = 200 MPa) (SA) and without them (NA). It is established that in the Fe63.5Mn10Cu1Nb3Si13.5B9 alloy (Mn10-alloy), just as in the classical Finemet, SA results in the induction of transverse magnetic anisotropy, yet, the constant of induced magnetic anisotropy is decreased by a factor of 4. The coercivity of the Mn10-alloy grows with increasing annealing time upon both SA and NA, while that of Finemet virtually does not change. Unlike Finemet, in the Mn10-alloy, along with the α-Fe(Si, Mn) solid solution and Fe3Si phase, there form borides already after 10-min treatment. This results in the change in the volume fractions of structure components with a negative magnetostriction, α-Fe(Si, Mn) and Fe3Si, which are responsible for the induction of transverse magnetic anisotropy, and positive magnetostriction, FeB, Fe2B, Fe3B, and hence, most likely, causes decrease in the constant of IMA of the Mn10-alloy. Besides, unlike Finemet, the average grain size in the alloy with Mn increases with the time of annealing, which, together with the formation of borides, increases the coercivity.
Keywords
About the authors
V. A. Lukshina
Mikheev Institute of Metal Physics, Ural Branch, Russian Academy of Sciences
Email: lukshina@imp.uran.ru
Ekaterinburg, 620108 Russia
N. V, Dmitrieva
Mikheev Institute of Metal Physics, Ural Branch, Russian Academy of Sciences
Email: lukshina@imp.uran.ru
Ekaterinburg, 620108 Russia
E. G. Volkova
Mikheev Institute of Metal Physics, Ural Branch, Russian Academy of Sciences
Email: lukshina@imp.uran.ru
Ekaterinburg, 620108 Russia
D. A. Shishkin
Mikheev Institute of Metal Physics, Ural Branch, Russian Academy of Sciences; Ural Federal University
Author for correspondence.
Email: lukshina@imp.uran.ru
Ekaterinburg, 620108 Russia; Ekaterinburg, 620002 Russia
References
- Yoshizawa Y., Oguma S., Yamauchi K. New Fe-based Soft Magnetic Alloys Composed of Ultrafine Grain Structure // J. Appl. Phys. 1988. V. 64. P. 6044–6046.
- Herzer G. Nanocrystalline soft magnetic Alloys, in: K.H.J. Buschow (Ed.), Hand-book of Magnetic Materials, Vacuum-schmelze, Hanau, 1997. V. 10. P. 415.
- Fiorillo F., Bertotti G., Appino C., Pasquale M. Soft Magnetic Materials, in: Wiley Encyclopedia of Electrical and Electronics Engineering, John Wiley & Sons Inc., Hoboken, 2016. P. 1.
- Muller M., Harada H., Warlimont H. Magnetic Materials, in: H. Warlimont, W. Martienssen (Eds.), Springer Handbook of Materials Data, second ed. Springer International Publishing. New York, 2018. 753 p.
- Kolano-Burian A., Varga L.K., KolanoR., Kulik T., Szynowski J. High Frequency soft magnetic properties of finemet mobified by Co // JMMM. 2007. V. 316. P. e820–e822.
- Gercsi Zs., Mazaleyrat F., Varga L.K. High-temperature soft magnetic properties of Co-doped nanocrystalline alloys // JMMM. 2006. V. 302 (2). P. 454–458.
- Volchkov S.O., Lukshina V.A., Zakharova A.A., Potapov A.P., Volkova E.G. Structure, Magnetic Properties, and Magnetoimpedance of the Fe73.5−xCrxSi13.5B9Nb3Cu1 (x = 0 to 5) Alloys // IEEE Trans. Magn. 2014. V. 50 (11). P. 007504.
- Lukshina V.A., Dmitrieva N.V., Cerderia M.A., Potapov A.P. Stress-induced magnetic anisotropy in Fe-based nanocrystalline alloy with addition of 1–5 at. % Cr // Journal of Alloys and Compounds. 2012. V. 536S. P. S374–S376.
- Agudo P., Vázguez M. Influence of Ni on structural and magnetic properties of Fe73.5–xNixSi13.5B9Nb3Cu1 (0 ≤ x ≤ 25) alloys // J. Appl. Phys. 2005. V. 97. P. 023901.
- Duhaj P., Švec P., Sitec J., Janičkovič D. Thermodinamic, kinetic and structural aspects of the formation of nanocrystalline phases in Fe73.5–xNixCu1Nb3Si13.5B9 alloys // Mater. Sci. Eng. 2001. V. A304–306. P. 178–186.
- Катаев В.А., Стародубцев Ю.Н., Михалицына Е.А., Белозеров В.Я., Цынгалов Р.В. Магнитные свойства и индуцированная анизотропия в нанокристаллическом сплаве Fe72.5–xNixCu1.1Nb1.9Mo1.5Si14.3B8.7 // ФММ. 2017. Т. 118. № 6. С. 589–594.
- Yoshizawa Y., Fujii S., Ping D.H., Ohnuma M., Hono K. Magnetic properties of nanocrystalline FeMCuNbSiB alloys (M: Co, Ni) // Scr. Mater. 2003. V. 48. P. 863–868.
- Brzozowski R., Wasiak M., Piekarski H., Sovakc P., Uznański P., Moneta M.E. Properties of Mn-doped FINEMET // Journal of Alloys and Compounds. 2009. V. 470. P. 5–11.
- Moneta M.E., Brzozowski R., Wasiak M., Uznański P. Properties of FINEMET with Fe partially replaced by Mn // Nuclear Instruments and Methods in Physics Research B. 2009. V. 267. P. 411–414.
- Gomez-Polo C., Pérez-Landazábal J.I., Recarte V., Mendoza Zélis P., Li Y.F., Vazquez M. Magnetic properties of Mn-doped finemet nanocrystalline alloy // J. Magn. Magn. Mater. 2005. V. 290–291. P. 1517–1519.
- Bayri N., Izgi T., Gencer H., Sovak P., Gunes M., Atalay S. Crystallization kinetics of Fe73.5–xMnxCu1Nb3Si13.5B9 (x = 0, 1, 3, 5, 7) amorphous alloys // Journal of Non-Crystalline Solids. 2009. V. 355. P. 12–16.
- Дмитриева Н.В., Лукшина В.А., Волкова Е.Г., Клейнерман Н.М., Сериков В.В., Потапов А.П. Наведенная магнитная анизотропия и структура нанокристаллических сплавов Fe–Co–Cu–Nb–Si–B с различным содержанием Co. Часть 1. Магнитная анизотропия, наведенная отжигом под нагрузкой, и ее термическая стабильность // ФММ. 2009. Т. 107. № 4. С. 376–382.
- Клейнерман Н.М., Сериков В.В., Лукшина В.А., Волкова Е.Г., Дмитриева Н.В., Потапов А.П. Наведенная магнитная анизотропия и структура нанокристаллических сплавов Fe-Co-Cu-Nb-Si-B с различным содержанием Co. Часть 2. Структура сплавов c наведенной магнитной анизотропией // ФММ. 2009. Т. 107. № 5. С. 482–489.
- Лукшина В.А., Дмитриева Н.В., Волкова Е.Г., Шишкин Д.А. Магнитные свойства сплава Fe63.5Ni10Cu1Nb3Si13.5B9, нанокристаллизованного в присутствии растягивающих напряжений // ФММ. 2019. Т. 120. № 4. С. 346–351.
- Лукшина В.А., Дмитриева Н.В., Волкова Е.Г., Шишкин Д.А. Структура сплава Fe63.5Ni10Cu1Nb3Si13.5B9, нанокристаллизованного в присутствии растягивающих напряжений // ФММ. 2019. Т. 120. № 12. С. 1243–1249.
- Лукшина В.А., Дмитриева Н.В., Волкова Е.Г., Шишкин Д.А. Магнитные свойства и структура сплава Fe63.5Ni10Cu1Nb3Si13.5B9 с наведенной магнитной анизотропией // ФММ. 2021. Т. 122. № 6. С. 574–580.
- Yoshizawa Y., Yamauchi K. Fe-based soft magnetic alloys composed of ultrafine grain structure // Mater. Trans. JIM. 1990. V. 31. P. 307–314.
- Глазер А.А., Клейнерман Н.М., Лукшина В.А., Потапов А.П., Сериков В.В. Термомеханическая обработка нанокристаллического сплава Fe73.5Cu1Nb3Si13.5B9 // ФММ. 1991. № 12. С. 56–61.
- Shiskin D.A. // Mater. Res. Express. 2019. V. 6. P. 025201.
- Noh T.H., Lee M.B., Kim H.J., Kang I.K. Relationship between crystallization process and magnetic properties of Fe(CuNb)SiB amorphous alloys // J. Appl. Phys. 1990. V. 67 (9). P. 5568–5570.
- Ohnuma M., Hono K., Yanai T., Nakano M., Fukunaga H., Yoshizawa Y. Origin of the magnetic anisotropy induced by stress annealing in Fe-based nanocrystalline alloy // Appl. Phys. Lett. 2005. V. 86. P. 152513(1–3).
- Ершов Н.В., Лукшина В.А., Федоров В.И., Дмитриева Н.В., Черненков Ю.П., Потапов А.П. Влияние термомагнитной и термомеханической обработки на магнитные свойства и структуру магнитомягкого нанокристаллического сплава Fe81Si6Nb3B9Cu1 // ФТТ. 2013. Т. 55. № 3. С. 460–470.
- Сериков В.В., Клейнерман Н.М., Волкова Е.Г., Лукшина В.А., Потапов А.П., Свалов А.В. Структура и магнитные свойства нанокристаллических сплавов системы FeCuNbSiB после термомеханической обработки // ФММ. 2006. Т. 102. № 3. С. 290–295.
- Черненков Ю.П., Ершов Н.В., Федоров В.И., Лукшина В.А., Потапов А.П. Рентгенодифракционные исследования структуры нанокристаллов в магнитомягких сплавах Fe63.5 Ni10Cu1Nb3Si13.5B9 до и после термомеханической обработки // ФТТ. 2010. Т. 52. № 3. С. 514–519.
Supplementary files












