Структура и магнитные свойства наночастиц Gd2O3, полученных методом искрового разряда
- Авторы: Свалов А.В.1, Бекетов И.В.1,2, Максимов А.Д.2, Медведев А.И.2, Незнахин Д.С.1, Архипов А.В.1, Курляндская Г.В.1
-
Учреждения:
- Уральский федеральный университет
- Институт электрофизики УрО РАН
- Выпуск: Том 124, № 9 (2023)
- Страницы: 806-810
- Раздел: ЭЛЕКТРИЧЕСКИЕ И МАГНИТНЫЕ СВОЙСТВА
- URL: https://bakhtiniada.ru/0015-3230/article/view/139480
- DOI: https://doi.org/10.31857/S0015323023600776
- EDN: https://elibrary.ru/DOKSQF
- ID: 139480
Цитировать
Полный текст
Аннотация
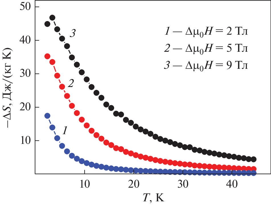
Электрофизическим методом искрового разряда получены наночастицы оксида гадолиния. Особенности их структуры, магнитные и магнитокалорические свойства сравнительно проанализированы. По данным рентгенофазового анализа синтезированные наночастицы Gd2O3 содержат две кристаллографические фазы: кубическую и моноклинную. Изменение магнитной части энтропии ΔSM было определено по данным измерений магнитных изотерм на основе соотношения Максвелла. Максимальная величина ΔSM для амплитуды изменения магнитного поля 2 Tл составила примерно 17 Дж/(кг К) и наблюдалась при температуре 2.5 K.
Об авторах
А. В. Свалов
Уральский федеральный университет
Email: andrey.svalov@urfu.ru
Россия, 620002, Екатеринбург, ул. Мира, 19
И. В. Бекетов
Уральский федеральный университет; Институт электрофизики УрО РАН
Email: andrey.svalov@urfu.ru
Россия, 620002, Екатеринбург, ул. Мира, 19; Россия, 620016, Екатеринбург, ул. Амундсена, 106
А. Д. Максимов
Институт электрофизики УрО РАН
Email: andrey.svalov@urfu.ru
Россия, 620016, Екатеринбург, ул. Амундсена, 106
А. И. Медведев
Институт электрофизики УрО РАН
Email: andrey.svalov@urfu.ru
Россия, 620016, Екатеринбург, ул. Амундсена, 106
Д. С. Незнахин
Уральский федеральный университет
Email: andrey.svalov@urfu.ru
Россия, 620002, Екатеринбург, ул. Мира, 19
А. В. Архипов
Уральский федеральный университет
Email: andrey.svalov@urfu.ru
Россия, 620002, Екатеринбург, ул. Мира, 19
Г. В. Курляндская
Уральский федеральный университет
Автор, ответственный за переписку.
Email: andrey.svalov@urfu.ru
Россия, 620002, Екатеринбург, ул. Мира, 19
Список литературы
- Пустоваров В.А., Трофимова Е.С., Кузнецова Ю.А., Зацепин А.Ф. Антистоксова люминесценция нанокристаллов Gd2O3, легированных ионами Er3+ и Yb3+ // Письма в ЖТФ. 2018. Т. 44. Вып. 14. С. 42–49.
- Fang J., Chandrasekharan P., Liu X.-L., Yang Y., Lv Y.-B., Yang C.-T., Ding J. Manipulating the surface coating of ultra-small Gd2O3 nanoparticles for improved T1-weighted MR imaging // Biomaterials. 2014. V. 35. P. 1636–1642.
- Paul R., Paramanik T., Das K., Sen P., Satpati B., Das I. Magnetocaloric effect at cryogenic temperature in gadolinium oxide nanotubes // J. Magn. Magn. Mater. 2016. V. 417. P. 182–188.
- Zeleňáková A., Hrubovčák P., Kapusta O., Zeleňák V., Franco V. Large magnetocaloric effect in fine Gd2O3 nanoparticles embedded in porous silica matrix // Appl. Phys. Lett. 2016. V. 109. P. 122412-5.
- Zeleňáková A., Hrubovčák P., Berkutova A., Šofranko O., Kučerka N., Ivankov O., Kuklin A., Girman V., Zeleňák V. Gadolinium-oxide nanoparticles for cryogenic magnetocaloric applications // Sci. Rep. 2022. V. 12. P. 2282-11.
- Yang Z.W., Qin S., Zhang J., Lu D., Zhao H., Kang C., Cui H., Long Y., Zeng Y.-J. Gadolinium oxyorthogermanate Gd2GeO5: An efficient solid refrigerant material for magnetic cryocoolers // Mater. Today Phys. 2022. V. 27. P. 100810-7.
- Taskaev S., Khovaylo V., Karpenkov D., Radulov I., Ulyanov M., Bataev D., Dyakonov A., Gunderov D., Skokov K., Gutfleisch O. Plastically deformed Gd-X (X = Y, In, Zr, Ga, B) solid solutions for magnetocaloric regenerator of parallel plate geometry // J. Alloys Compd. 2018. V. 754. P. 207–214.
- Соколовский В.В., Мирошкина О.Н., Бучельников В.Д., Марченков В.В. Магнитокалорический эффект в металлах и сплавах // ФММ. 2022. Т. 123. № 4. С. 339–343.
- Doblas D., Moreno-Ramírez L.M., Franco V., Conde A., Svalov A.V., Kurlyandskaya G.V. Nanostructuring as a procedure to control the field dependence of the magnetocaloric effect // Mater. Des. 2017. V. 114. P. 214–219.
- Franco V., Conde A. Magnetic refrigerants with continuous phase transitions: Amorphous and nanostructured materials // Scr. Mater. 2012. V. 67. P. 594–599.
- Li L., Yan M. Recent progresses in exploring the rare earth based intermetallic compounds for cryogenic magnetic refrigeration // J. Alloys Compd. 2020. V. 823. P. 153810–15.
- Hazarika S., Morozkin A.V., Gururaj K., Nama R., Pradeep K.G., Nirmala R. Magnetic and magnetocaloric properties of rare-earth substituted Gd2O3 nanorods // AIP Advances. 2022. V. 12. P. 035208-6.
- Pfeiffer T.V., Feng J., Schmidt-Ott A. New developments in spark production of nanoparticles // Adv. Powder Technol. 2014. V. 25. P. 56–70.
- Kurlyandskaya G.V., Portnov D.S., Beketov I.V., Larrañaga A., Safronov A.P., Orue I., Medvedev A.I., Chlenova A.A., Sanchez-Ilarduya M.B., Martinez-Amesti A., Svalov A.V. Nanostructured materials for magnetic biosensing // Biochim. Biophys. Acta. 2017. V. 1861. P. 1494–1506.
- Beketov I.V., Safronov A.P., Medvedev A.I., Alonso J., Kurlyandskaya G.V., Bhagat S.M. Iron oxide nanoparticles fabricated by electric explosion of wire: focus on magnetic nanofluids // AIP Advances. 2012. V. 2. P. 022154-24.
- Hazarika S., Suchismita Behera P., Mohanta D., Nirmala R. Magnetocaloric effect of Gd2O3 nanorods with 5% Eu-substitution // Appl. Surf. Sci. 2019. V. 491. P. 779–783.
- Babić-Stojić B., Jokanović V., Milivojević D., Požek M., Jagličić Z., Makovec D., Arsikin K., Paunović V. Gd2O3 nanoparticles stabilized by hydrothermally modified dextrose for positive contrast magnetic resonance imaging // J. Magn. Magn. Mater. 2016. V. 403. P. 118–126.
- Miller A.E., Jelinek F.J., Gschneidner K.A., Gerstein B.C. Low-temperature magnetic behavior of several oxides of gadolinium // J. Chem. Phys. 1971. V. 55. P. 2647–2648.
- Svalov A.V., Vas’kovskiy V.O., Kurlyandskaya G.V. Influence of the size and structural factors on the magnetism of multilayer films based on 3d and 4f metals // Phys. Met. Metallogr. 2017. V. 118. P. 1263–1299.
- Trepka K., Tao Y. Magnetic characterization of rare-earth oxide nanoparticles // Appl. Phys. Lett. 2020. V. 117. P. 122410-5.
- Jia J.-H., Ke Y.-J., Zhang X.-X., Wang J.-F., Su L., Wu Y.-D., Xia Z.-C. Giant magnetocaloric effect in the antiferromagnet GdScO3 single crystal // J. Alloys Compd. 2019. V. 803. P. 992–997.
- Taskaev S., Skokov K., Karpenkov D., Khovaylo V., Ulyanov M., Bataev D., Dyakonov A., Fazlitdinova A., Gutfleisch O. The effect of plastic deformation on magnetic and magnetocaloric properties of Gd-B alloys // J. Magn. Magn. Matter. 2017. V. 442. P. 360–363.
- Каманцев А.П., Коледов В.В., Шавров В.Г., Бутвина Л.Н., Головчан А.В., Вальков В.И., Тодрис Б.М., Таскаев С.В. Магнитокалорический эффект и намагниченность гадолиния в квазистационарных и импульсных магнитных полях до 40 кЭ // ФММ. 2022. Т. 123. № 4. С. 448–452.
Дополнительные файлы







