Helimagnetic and Crystallographic Growth Textures of Dysprosium Nanolayers on Co90Fe10, Nb, and β-Ta Buffer Layers
- Authors: Naumova L.I.1,2, Zavorпitsyn R.S.1,2, Milyaev M.A.1,2, Devyaterikov D.I.1, Rusalina A.S.2, Krinitsina T.P.1, Pavlova A.Y.1, Proglyado V.V.1, Ustinov V.V.1,2
-
Affiliations:
- Mikheev Institute of Metal Physics, Ural Branch, Russian Academy of Sciences
- Ural Federal University
- Issue: Vol 124, No 8 (2023)
- Pages: 692-702
- Section: ЭЛЕКТРИЧЕСКИЕ И МАГНИТНЫЕ СВОЙСТВА
- URL: https://bakhtiniada.ru/0015-3230/article/view/139479
- DOI: https://doi.org/10.31857/S0015323023600600
- EDN: https://elibrary.ru/QDWNCA
- ID: 139479
Cite item
Full Text
Abstract
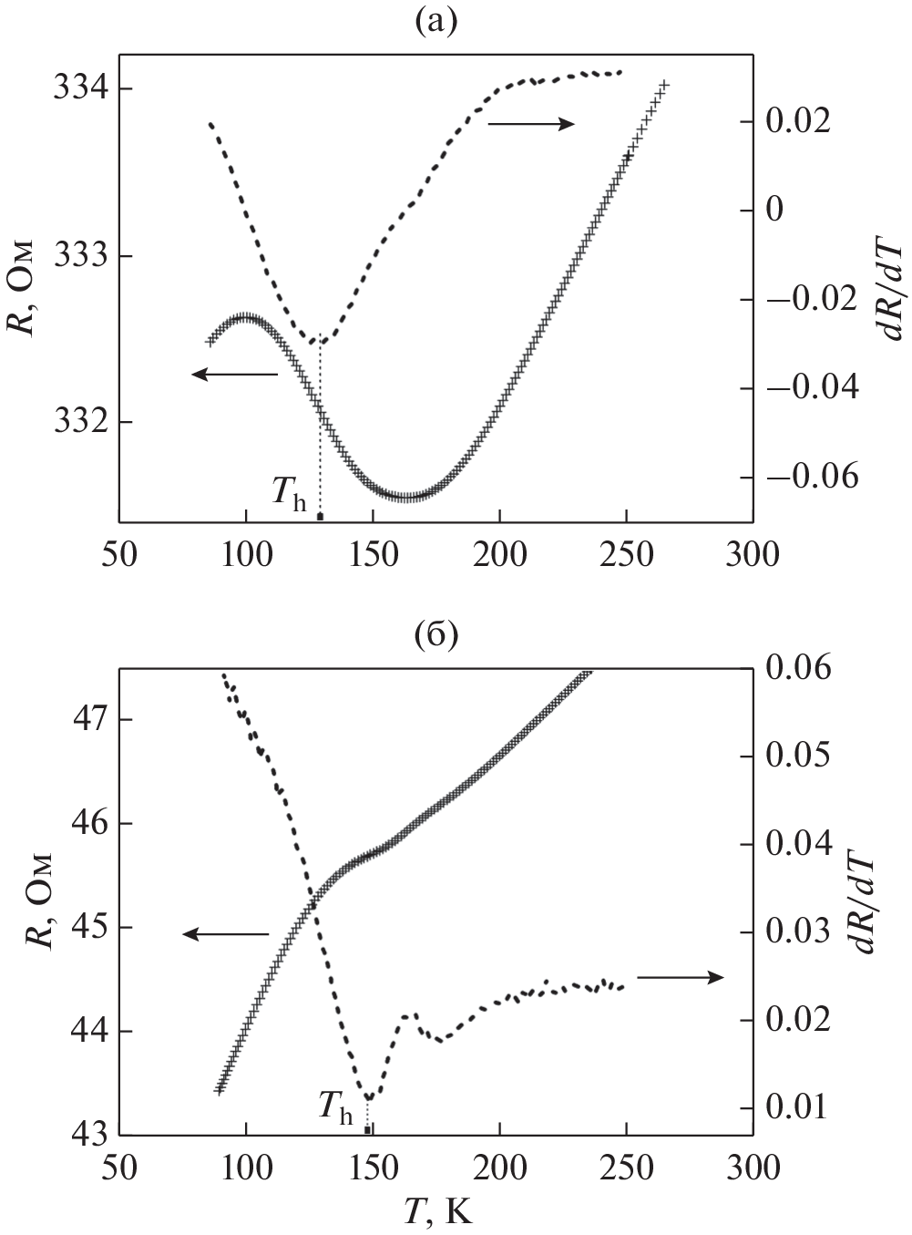
Dysprosium nanolayers of various thicknesses are made by magnetron sputtering on Al2O3 (R) substrates, as well as using buffer layers Co90Fe10, β -Ta and Nb. The correlation between the crystallographic texture and the peculiarities of the temperature dependence of the electrical resistance of polycrystalline dysprosium films was investigated. It was found that when Dy is sputtered directly on Al2O3 (R), a two-component texture is formed in the nanolayer of the rare earth metal. In one component, the hexagonal axis is parallel and in the other, it is perpendicular to the plane of the film. It has been shown that when Dy is sprayed on the buffer layer β -Ta, the microstructures of Al2O3 and Dy are matched through β -Ta, and the perfection of the two-component texture increases. In the antiferromagnetic state, the texture components become phases with different orientation of the magnetic helicoid axis, and the formation of antiferromagnetic ordering occurs at different temperatures.
About the authors
L. I. Naumova
Mikheev Institute of Metal Physics, Ural Branch, Russian Academy of Sciences; Ural Federal University
Email: naumova@imp.uran.ru
Ekaterinburg, 620108 Russia; Ekaterinburg, 620002 Russia
R. S. Zavorпitsyn
Mikheev Institute of Metal Physics, Ural Branch, Russian Academy of Sciences; Ural Federal University
Email: naumova@imp.uran.ru
Ekaterinburg, 620108 Russia; Ekaterinburg, 620002 Russia
M. A. Milyaev
Mikheev Institute of Metal Physics, Ural Branch, Russian Academy of Sciences; Ural Federal University
Email: naumova@imp.uran.ru
Ekaterinburg, 620108 Russia; Ekaterinburg, 620002 Russia
D. I. Devyaterikov
Mikheev Institute of Metal Physics, Ural Branch, Russian Academy of Sciences
Email: naumova@imp.uran.ru
Ekaterinburg, 620108 Russia
A. S. Rusalina
Ural Federal University
Email: naumova@imp.uran.ru
Ekaterinburg, 620002 Russia
T. P. Krinitsina
Mikheev Institute of Metal Physics, Ural Branch, Russian Academy of Sciences
Email: naumova@imp.uran.ru
Ekaterinburg, 620108 Russia
A. Yu. Pavlova
Mikheev Institute of Metal Physics, Ural Branch, Russian Academy of Sciences
Email: naumova@imp.uran.ru
Ekaterinburg, 620108 Russia
V. V. Proglyado
Mikheev Institute of Metal Physics, Ural Branch, Russian Academy of Sciences
Email: naumova@imp.uran.ru
Ekaterinburg, 620108 Russia
V. V. Ustinov
Mikheev Institute of Metal Physics, Ural Branch, Russian Academy of Sciences; Ural Federal University
Author for correspondence.
Email: naumova@imp.uran.ru
Ekaterinburg, 620108 Russia; Ekaterinburg, 620002 Russia
References
- Fust S., Mukherjee S., Paul N., Stahn J., Kreuzpaintner W., Böni P., Paul A. Realizing topological stability of magnetic helices in exchange- coupled multilayers for all spin-based system // Sci. Reports. 2016. V. 6. P. 1–14.
- Tamion A., Ott F., Berche P.-E., Talbot E., Bordel C., Blavette D. Magnetization depth profile of (Fe/Dy) multilayers // JMMM. 2008. V. 320. P. 2650–2659.
- Svalov A.V., Kurlyandskaya G.V., Vas’kovskiy V.O. Thermo-sensitive spin valve based on layered artificial ferrimagnet // Appl. Phys. Lett. 2016. V. 108. P. 063504.
- Svalov A.V., Vas’kovskiy V.O., Kurlyandskaya G.V. Influence of the Size and Structural Factors on the Magnetism of Multilayer Films Based on 3d and 4f Metals // Phys. Met. Metal. 2017. V. 118. № 13. P. 1263–1299.
- Ali Akbar, Murtaza Saleem, Shahid Atiq, Muhammad Sabieh Anwar. Magnetic Dynamics and All-Optical Switching in 5 nm Dy–Fe Nanostructures // IEEE Trans. on Magn. 2018. V. 54. P. 2–11.
- Kim M., Hupalo M., Tringides M.C., Thiel P.A., Hoand K-M., Wang C-Z. Controlling selective nucleation and growth of dysprosium islands on graphene by metal intercalation // Phys. Rev. Mater. 2022. V. 6. P. 094003 (1–8).
- Белов К.П., Левитин Р.З., Никитин С.А. Ферро- и антиферромагнетизм редкоземельных металлов // УФН. 1964. Т. 82. № 3. С. 449–498.
- Wilkinson M.K., Koehler W.C., Wollan E.O., Cable J.W. Neutron diffraction investigation of magnetic ordering in dysprosium // J. Appl. Phys. 1961. V. 32. P. 48–49.
- Dumesnil K., Dufour C., Mangin Ph., Marchal G. Magnetic structure of dysprosium in epitaxial Dy films and in Dy/Er superlattices // Phys. Rev. B. 1996. V. 54. P. 6407–6420.
- Заворницын Р.С., Наумова Л.И., Миляев М.А., Макарова М.В., Криницина Т.П., Проглядо В.В., Устинов В.В. Неколлинеарное магнитное упорядочение в слое диспрозия и магнитотранспортные свойства спинового клапана, содержащего структуру CoFe/Dy/CoFe //ФММ. 2020. Т. 121. С. 688–694.
- Scheunert G., Ward C., Hendren W.R., Lapicki A.A., Hardeman R., Mooney M., Gubbins M. and Bowman R.M. Influence of strain and polycrystalline ordering on magnetic properties of high moment rare earth metals and alloys // J. Phys. D: Appl. Phys. 2014. V. 47. № 1. P. 415 005 (13 pp.).
- Девятериков Д.И., Кравцов Е.А., Проглядо В.В., Жакетов В.Д., Никитенко Ю.В. Исследование гелимагнетизма в тонких пленках Dy и Ho методом нейтронной рефлектометрии // Поверхность. Рентгеновские, синхротронные и нейтронные исследования. 2021. Т. 6. С. 3–9.
- Девятериков Д.И., Васьковский В.О., Жакетов В.Д., Кравцов Е.А., Макарова М.В., Проглядо В.В., Степанова Е.А., Устинов В.В. Магнитные свойства тонких пленок Dy, выращенных на подложках Al2O3 с различной кристаллографической ориентацией //ФММ. 2020. Т. 121. С. 1229–1233.
- Rhyne J.J., McGuire T.R. Magnetism of Rare-Earth Elements, Alloys, and Compounds // IEEE Trans. on Magn. 1972. V. Mag-8. P. 105–130.
- Hall P.M., Legvold S. and Spedding F.H. Electrical Resistivity of Dysprosium Single Crystals // Phys.Rev. 1960. V. 117. P. 971–973.
- Boys D.W., Legvold S. Thermal Conductivities and Lorenz Functions of Dy, Er, and Lu Single Crystals // Phys. Rev. 1968. V. 174. P. 377–384.
- Вонсовский С.В., Изюмов Ю.А. Электронная теория переходных металлов I // УФН. 1962. Т. LXXVII. С. 377–446.
- Naumova L.I., Milyaev M.A., Zavornitsyn R.S., Krinitsina T.P., Proglyado V.V., Ustinov V.V. Spin valve with a composite dysprosium-based pinned layer as a tool for determining Dy nanolayer helimagnetism // Current Appl. Phys. 2019. V. 19. P. 1252–1258.
- Ustinov V.V., Bebenin N.G., Yasyulevich I.A. Spin current polarization and electrical conductivity in metal helimagnets // J. Phys.: Conf. Ser. 2019. V. 1389. P. 012 151.
- Ustinov V.V., Yasyulevich I.A. Electrical magnetochiral effect and kinetic magnetoelectric effect induced by chiral exchange field in helical magnetics // Phys. Rev.B. 2020. V. 102. P. 134421.
- Ustinov V.V., Yasyulevich I.A. Chirality-dependent spin-transfer torque and current-induced spin rotation in helimagnets // Phys. Rev. B. 2022. V. 106. P. 64417–64428.
- Scheunert G., Hendren W.R., Lapicki A.A., Jesudoss P., Hardeman R., Gubbins M., Bowman R.M. Improved magnetization in sputtered dysprosium thin films // J. Phys. D: App. Phys. 2013. V. 46. P. 152001.
- Наумова Л.И., Миляев М.А., Заворницын Р.С., Криницина Т.П., Чернышова Т.А., Проглядо В.В., Устинов В.В. Магнитотранспортные свойства псевдо спиновых клапанов в условиях интердиффузии слоев диспрозия и ферромагнитного сплава CoFe // ФММ. 2019. Т. 120. № 5. С. 464–470.
- Zuo J.D., Wang Y.Q., Wu K., Zhang J.Y., Liu G., Sun J. Phase tailoring of Ta films via buffer layer-thicknesses controlling // Scripta Mater. 2022. V. 212. P. 114582.
- Magnuson M., Greczynski G., Eriksson F., Hultman L., Högberg H. Electronic Structure of b-Ta Films from X-ray Photoelectron Spectroscopy and First-principles Calculations // Appl. Sulf. Sci. 2019. V. 470. P. 607–612.
- Ellis Elizabeth A.I., Chmielus M., Baker Shefford P. Effect of sputter pressure on Ta thin films: Beta phase formation, texture, and stresses // Acta Mater. 2018. V. 150. P. 317–326.
- Никитин С.А. Магнитные свойства редкоземельных металлов и их сплавов. М.: Изд-во МГУ, 1989. 248 с.
- Белов К.П., Катаев Г.И., Левитин Р.З., Никитин С.А., Соколов В.И. Гигантская магнитострикция // УФН. 1983. Т. 140. № 2. С. 271–313.
- Lee E.W., Alberts L. The Magnetostriction of Dysprosium Metal // Proc. Phys. Soc. 1962. V. 79. P. 977–980.
- Legvold S., Alstad J., and Rhyne J. Giant magnetostriction in dysprosium and holmium single crystals // Phys. Rev. Let. 1963. V. 10. P. 509–511.
- Samudrala G.K., Tsoi G.M., Weir S.T., Vohra Y.K. Magnetic ordering temperatures in rare earth metal dysprosium under ultrahigh pressures // High Pressure Research: An International J. 2014. V. 34. P. 266–272.
- Greenough R.D., Isci C., Palmer S.B. The influence of internal strain on the neel temperature of rare earth metals // Physica. 1977. V. 86–88B. P. 61–62.
- Yoshida H., Abe S., Kaneko T. and Kamigaki K. Pressure effect on the Neel temperature of GdCu, GdAg, TbCu and TbAg // JMMM. 1987. V. 70. P. 275–276.
- Dumesnil K., Dufour C., Mangin P., Marchal G., Hennion M. Magnetoelastic and Exchange Contributions to the Helical-Ferromagnetic Transition in Dysprosium Epitaxial Films // Europhys. Lett. 1995. V. 31. P. 43–48.
Supplementary files













