MD Simulations of Collision Cascades in α-Ti. The Residual Number of Radiation Defects, Cascade Relaxation Time and Displacement Cascade Region Morphology
- Autores: Voskoboynikov R.E.1,2
-
Afiliações:
- National Research Nuclear University “MEPhI”
- National Research Center “Kurchatov Institute”
- Edição: Volume 124, Nº 8 (2023)
- Páginas: 671-678
- Seção: ТЕОРИЯ МЕТАЛЛОВ
- URL: https://bakhtiniada.ru/0015-3230/article/view/139474
- DOI: https://doi.org/10.31857/S0015323023600478
- EDN: https://elibrary.ru/PXRDTU
- ID: 139474
Citar
Texto integral
Resumo
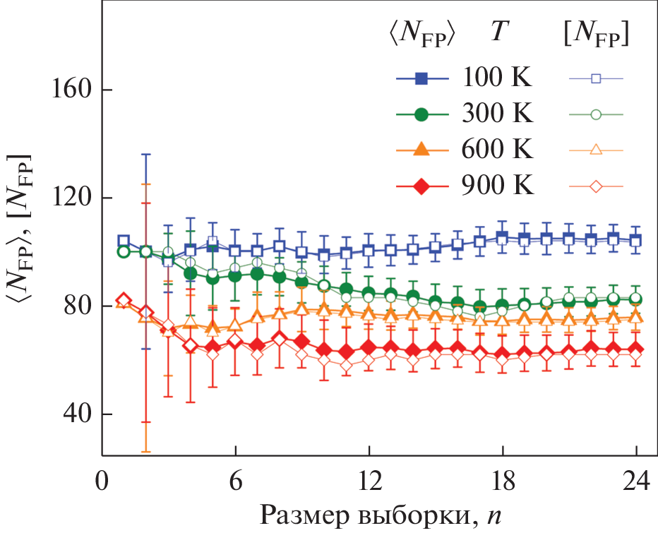
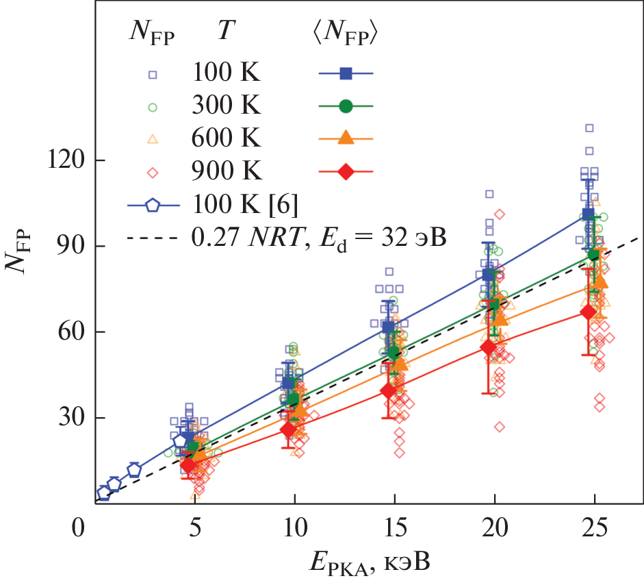
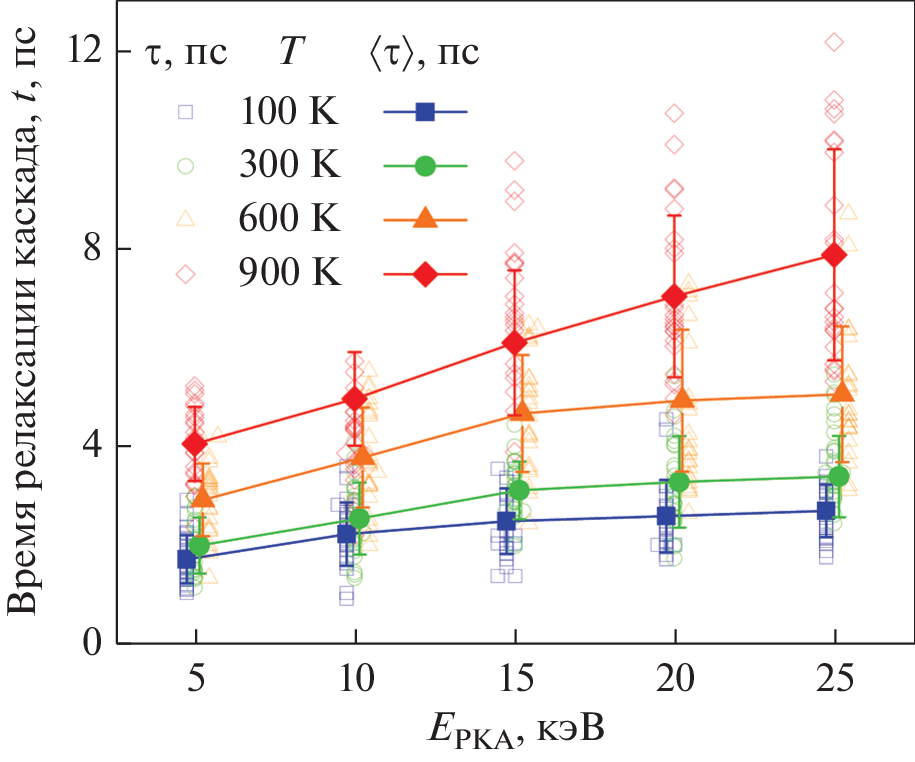
Molecular dynamics (MD) simulations were applied to study radiation damage formation in collision cascades created by the recoil of primary knock-on atoms (PKA) with PKA energies Epka = 5, 10, 15, 20 and 25 keV in α-Ti at temperatures T = 100, 300, 600 and 900 K. A series of 24 collision cascades with the same set of (Epka, T) parameters has been simulated to generate representative sampling. Sapling size was justified a posteriori. The number of Frenkel pairs Nfp and cascade relaxation time were obtained as functions of (Epka, T). It was shown that the average ⟨Nfp(Epka,T)⟩ fits within 0.3NRT, provided the threshold displacement energy is chosen in 28-40 eV range depending on the irradiation temperature. Under high PKA energy/low irradiation temperature conditions, displacement cascade region splits into subcascades expended along high-energy recoil trajectories. Cascade relaxation time does not depend on Epka in this case. Contrary, under low PKA energy/ high temperature simulation conditions, most of collision cascades possess equiaxial shape, and their relaxation time grows with PKA energy increase.
Palavras-chave
Sobre autores
R. Voskoboynikov
National Research Nuclear University “MEPhI” ; National Research Center “Kurchatov Institute”
Autor responsável pela correspondência
Email: roman.voskoboynikov@gmail.com
Moscow, 115409 Russia; Moscow, 123182 Russia
Bibliografia
- Ушков С.С., Кожевников О.А. Опыт применения и значение титановых сплавов для развития атомной энергетики России // Вопросы материаловедения. 2009. Т. 59. № 3. С. 172–187.
- Орыщенко А.С., Кудрявцев А.С., Михайлов В.И., Леонов В.П. Титановые сплавы для морской техники и атомной энергетики // Вопросы материаловедения. 2011. Т. 65. № 1. С. 60–74.
- Горынин И.В., Рыбин В.В., Ушков С.С., Кожевников О.А. Титановые сплавы как перспективные реакторные материалы / Радиационное материаловедение и конструктивная прочность реакторных материалов: Юбилейный сборник, посвященный 100-летию акад. И.В. Курчатова и А.П. Александрова. СПб.: ФГУП ЦНИИ КМ “Прометей”. 2002. С. 37–45.
- Cai W., Li J., Uberuaga B.P., Yip S. 1.18 – Molecular Dynamics / Comprehensive Nuclear Materials (Second Edition). Elsevier, Amsterdam. 2020. V. 1. P. 573–594.
- Stoller R.E., Zarkadoula E. 1.20 – Primary Radiation Damage Formation in Solids / Comprehensive Nuclear Materials (Second Edition). Elsevier, Amsterdam. 2020. V. 1. P. 620–662.
- Wooding S.J., Bacon D.J., Phythian W.J. A computer simulation study of displacement cascades in α-titanium // Philos. Mag. A. 1995. V. 72. № 5. P. 1261–1279.
- Voskoboinikov R.E. A Study of Primary Damage Formation in Collision Cascades in Titanium // Inorg. Mater. Appl. Res. 2022. V. 13. P. 1736–1745.
- Воскобойников Р.Е. Моделирование каскадов столкновений в α-Ti. Статистика и закономерности образования кластеров точечных дефектов. // ФММ. 2023. Т. 124. № 8. С. 679–686.
- Zope R.R., Mishin Y. Interatomic potentials for atomistic simulations of the Ti–Al system // Phys. Rev. B. 2003. V. 68. P. 024102-1-14.
- Daw M.S., Baskes M.I. Embedded-atom method: Derivation and application to impurities, surfaces, and other defects in metals // Phys. Rev. B. 1984. V. 29. P. 6443–6453.
- Gärtner K., Stock D., Weber B., Betz G., Hautala M., Hobler G., Hou M., Sarite S., Eckstein W., Jiménez-Rodríguez J. J., Pérez-Martín A. M. C., Andribet E. P., Konoplev V., Gras-Marti A., Posselt M., Shapiro M. H., Tombrello T. A., Urbassek H.M., Hensel H., Yamamura Y., and Takeuchi W. Round robin computer simulation of ion transmission through crystalline layers // Nucl. Instr. Meth. Phys. Res. B. 1995. V. 102. P. 183–197.
- Ziegler J.F., Biersack J.P., Littmark U. The stopping and range of ions in solids. Vol. 1. Pergamon, Oxford, 1985. 321 p.
- Shirley C.G., Chaplin R.L. Evaluation of the Threshold Energy for Atomic Displacements in Titanium // Phys. Rev. B. 1972. V. 5. P. 2027–2029.
- Sattonnay G., Rullier-Albenque F., Dimitrov O. Determination of displacement threshold energies in pure Ti and in γ-TiAl alloys by electron irradiation // J. Nucl. Mater. 1999. V. 275. P. 63–73.
- Фок В.А. Начала квантовой механики. М.: Наука. 1976. 376 с.
- Russell A.M., Cook B.A. Coefficient of thermal expansion anisotropy and texture effects in ultra-thin titanium sheet // Scripta Mater. 1997. V. 37. № 10. P. 1461–1467.
- http://www.srim.org/SRIM/SRIM-2013-Std.e.
- Paul H. Nuclear stopping power and its impact on the determination of electronic stopping power // AIP Conf. Proc. 2013. V. 1525. P. 309–313.
- Allen M.P., Tildesley D.J. Computer Simulation of Liquids. Clarendon, Oxford, 1987. 408 p.
- Marqués L.A., Rubio J.E., Jaraíz M., Enríquez L., Barbolla J. An improved molecular dynamics scheme for ion bombardment simulations // Nucl. Instr. Meth. Phys. Res. B. 1995. V. 102. P. 7–11.
- Voskoboinikov R.E., Osetsky Yu.N., Bacon D.J. Statistics of primary damage creation in high-energy displacement cascades in copper and zirconium // Nucl. Instr. Meth. Phys. Res. B. 2006. V. 242. P. 68–70.
- Воскобойников Р.Е. Радиационные дефекты в алюминии. Моделирование первичных повреждений в объеме материала // ФММ. 2019. Т. 120. № 1. С. 3–10.
- Voskoboinikov R. A contribution of L10 ordered crystal structure to the high radiation tolerance of γ-TiAl intermetallics // Instr. Meth. Phys. Res. B. 2019. V. 460. P. 92–97.
- Voskoboinikov R. An insight into radiation resistance of D019 Ti3Al intermetallics // J. Nucl. Mater. 2019. V. 519. P. 239–246.
- Voskoboinikov R. MD simulations of primary damage formation in L12 Ni3Al intermetallics // J. Nucl. Mater. 2019. V. 522. P. 123–135.
- Lindemann P. Über die Berechnung molekularer Eigenfrequenzen // Physikalische Zeitschrift. 1910. V. 11. P. 609–612.
- Nordlund K., Averback R.S. Point defect movement and annealing in collision cascades // Phys. Rev. B. 1997. V. 56. P. 2421–2431.
- Voskoboinikov R.E., Osetsky Yu.N., Bacon D.J. Computer simulation of primary damage creation in displacement cascades in copper. I. Defect creation and cluster statistics // J. Nucl. Mater. 2008. V. 377. P. 385–395.
- Nordlund K., Sand A.E., Granberg F., Zinkle S.J., Stoller R., Averback R.S., Suzudo T., Malerba L., Banhart F., Weber W.J., Willaime F., Dudarev S., Simeone D. Primary Radiation Damage in Materials: Review of Current Understanding and Proposed New Standard Displacement Damage Model to Incorporate In-cascade Mixing and Defect Production Efficiency Effects // OECD Nuclear Energy Agency, Paris. 2015. 87 p.
- Bacon D.J., Osetsky Yu.N., Stoller R., Voskoboinikov R.E. MD description of damage production in displacement cascades in copper and α-iron // J. Nucl. Mater. 2003. V. 323. P. 152–162.
- Norgett L.K., Robinson M.T., and Torrens I.M. A proposed method for calculating displacement dose rates // Nucl. Eng. Design. 1975. V. 33. P. 50–54.
- Bacon D.J., Gao F., Osetsky Yu.N. The primary damage state in fcc, bcc and hcp metals as seen in molecular dynamics simulations // J. Nucl. Mater. 2000. V. 276. P. 1–12.
- Воскобойников Р.Е. Моделирование первичных радиационных повреждений в никеле // ФММ. 2020. Т. 121. № 1. С. 18–24.
- Араманович И.Г., Левин В.И. Уравнения математической физики. М.: Наука, 1969. 288 с.
Arquivos suplementares









