A Study of Residual Stresses in Steel Plates Obtained by Laser Deposition Directly on a Rigid Substrate
- Authors: Rylov S.A.1, Ivanov S.Y.2, Zemlyakov E.V.2, Babkin K.D.2, Karpov I.D.1, Em V.T.1
-
Affiliations:
- National Research Center“Kurchatov Institute”
- St. Petersburg State Marine Technical University
- Issue: Vol 124, No 5 (2023)
- Pages: 443-450
- Section: ПРОЧНОСТЬ И ПЛАСТИЧНОСТЬ
- URL: https://bakhtiniada.ru/0015-3230/article/view/139470
- DOI: https://doi.org/10.31857/S0015323023600326
- EDN: https://elibrary.ru/OLJRLO
- ID: 139470
Cite item
Full Text
Abstract
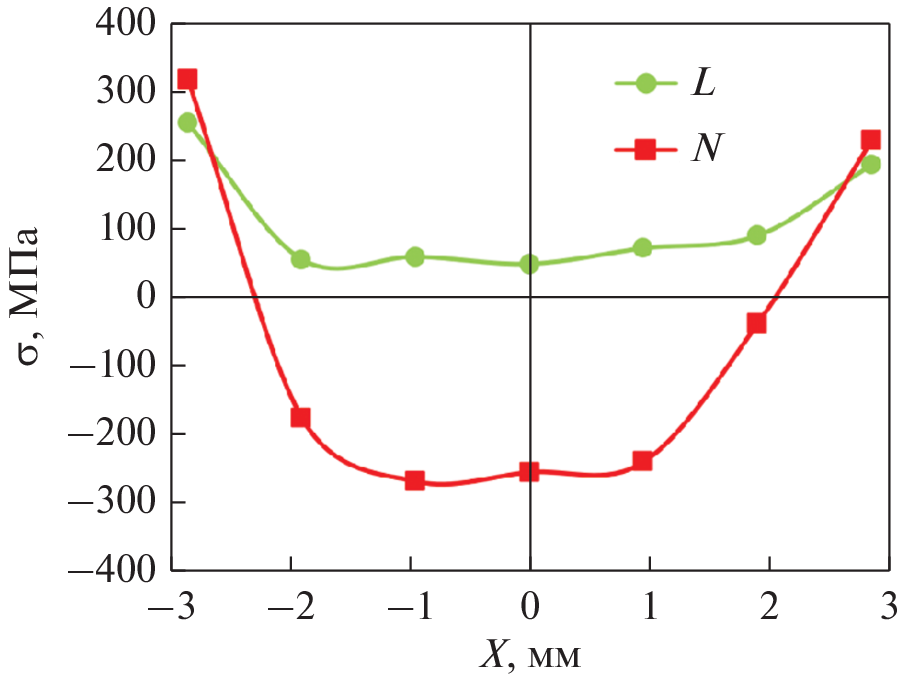
A neutron diffraction method has been used to study residual stresses in corrosion-resistant martensitic steel AISI 410 plates of the composition (wt %): 0.15 С, 13 Cr, < 1 Mn, < 1 Si, and Fe for balance obtained by direct laser deposition. The plates are deposited on rigid substrates, which are commonly used in practice in the production of large parts. It has been shown that in plates of different thicknesses (2.2 and 7.4 mm) and the same length and width (70 × 30 mm), the patterns of the stress distribution curves are very close, however, the stresses in a 7.4-mm-thick plate are lower than in a 2.2-mm-thick plate. In both plates (2.2/7.4 mm), the maximum normal tensile stresses (~450/350 MPa) are induced near lateral edges of the substrate. The maximum tensile longitudinal stresses (~400/250 MPa) are induced in the middle section of the plate near the upper edge. In the middle section of a 7.4-mm-thick plate, a stress distribution over the thickness is observed: the stresses near the side surfaces are higher than in the middle section. The thickness distribution becomes more uniform by approaching the plate edges. The stress distribution pattern in plates obtained by direct laser deposition strongly depends on the rigidity of the substrate and, to a lesser extent, on the material and deposition technology.
About the authors
S. A. Rylov
National Research Center“Kurchatov Institute”
Email: vtem9@mail.ru
Moscow, 123182 Russia
S. Yu. Ivanov
St. Petersburg State Marine Technical University
Email: vtem9@mail.ru
St. Petersburg, 190121 Russia
E. V. Zemlyakov
St. Petersburg State Marine Technical University
Email: vtem9@mail.ru
St. Petersburg, 190121 Russia
K. D. Babkin
St. Petersburg State Marine Technical University
Email: vtem9@mail.ru
St. Petersburg, 190121 Russia
I. D. Karpov
National Research Center“Kurchatov Institute”
Email: vtem9@mail.ru
Moscow, 123182 Russia
V. T. Em
National Research Center“Kurchatov Institute”
Author for correspondence.
Email: vtem9@mail.ru
Moscow, 123182 Russia
References
- Туричин Г., Климова О., Земляков Е., Бабкин К., Сомонов В., Шамрай Ф., Травянов А., Петровский П. Технологические основы высокоскоростного прямого лазерного выращивания изделий методом гетерофазной порошковой металлургии // Фотоника. 2015. № 4. С. 68–83.
- Ma N., Murakawa H., Ueda U. Welding Deformation and Residual Stress Prevention. first ed., Butterworth-Heinemann. 2012. 292 p. https://doi.org/10.1016/C2011-0-06199-9
- Köhler H., Partes K., Kornmeier J.R., Vollertsen F. Residual stresses in steel specimens induced by laser cladding and their effect on fatigue strength // Phys. Procedia. 2012. V. 39. P. 354–361. https://doi.org/10.1016/j.phpro.2012.10.048
- Zhaia Y., Galarraga H., Lados D.A. Microstructure Evolution, Tensile Properties, and Fatigue Damage Mechanisms in Ti-6Al-4V Alloys Fabricated by Two Additive Manufacturing Techniques // Procedia Eng. 2015. V. 114. P. 658–666. https://doi.org/10.1016/j.proeng.2015.08.007
- Spierings A.B., Starr T.L., Wegener K. Fatigue performance of additive manufactured metallic parts // Rapid Prototyping J. 2013. V. 19. P. 88–94. https://doi.org/10.1108/13552541311302932
- Pratt P., Felicelli S.D., Wang L., Hubbard C.R. Residual stress measurement of laser-engineered net shaping AISI 410 thin plates using neutron diffraction // Metal. Mater. Trans. A. 2008. V. 39A. P. 3155–3163. https://doi.org/10.1007/s11661-008-9660-9
- Wang L., Felicelli S.D., Pratt P. Residual stresses in LENS-deposited AISI 410 stainless steel plates // Mater. Sci. Eng. A. 2008. V. 496. P. 234–241. https://doi.org/10.1016/j.msea.2008.05.044
- Rangaswamy P., Holden T.M., Rogge R.B., Griffith M.L. Residual stresses in components formed by the laser engineered net shaping (LENS) process // J. Strain Analysis. 2003. V. 38. P. 519–527.
- Rangaswamy P., Griffth M.L., Prime M.B., Holden T.M., Rogge R.B., Edwards J.M., Sebring R.J. Residual stresses in LENS components using neutron diffraction and contour method // Mater. Sci. Eng. A. 2005. V. 399. P. 72–83. https://doi.org/10.1016/j.msea.2005.02.019
- Szost B.A., Terzi S., Martina F., Boisselier D., Prytuliak A., Pirling T, Hofmann M., Jarvis D.J. A comparative study of additive manufacturing techniques: Residual stress and microstructural analysis of CLAD and WAAM printed Ti–6Al–4V components // Mater. Des. 2016. V. 89. P. 559–567. https://doi.org/10.1016/j.matdes.2015.09.115
- Luzin V., Hoye N. Stress in thin wall structures made by layer additive manufacturing // Materials Res. Proceedings. 2016. V. 2. P. 497–502. https://doi.org/10.21741/9781945291173-84
- Colegrove P.A., Coules H.E., Fairman J., Martina F., Kashoob T., Mamash H., Cozzolino L.D. Microstructure and residual stress improvement in wire and arc additively manufactured parts through high-pressure rolling // J. Mater. Process. Technol. 2013. V. 213. P. 1782–1791. https://doi.org/10.1016/j.jmatprotec.2013.04.012
- Wang Z., Denlinger E., Michaleris P., Stoica A.D., Ma D., Beese A.M. Residual stress mapping in Inconel 625 fabricated through additive manufacturing: Method for neutron diffraction measurements to validate thermomechanical model predictions // Mater. Des. 2017. V. 113. P. 169–177. https://doi.org/10.1016/j.matdes.2016.10.003
- Sochalski-Kolbus L.M., Payzant E.A., Cornwell P.A., Watkins T.R., Babu S.S., Dehoff R.R., Lorenz M., Ovchinnikova O., Duty C. Comparison of residual stresses in Inconel 718 simple parts made by electron beam melting and direct laser metal sintering // Metal. Mater. Trans. A. 2015. V. 46A. P. 1419–1432. https://doi.org/10.1007/s11661-014-2722-2
- Em V.T., Ivanov S.Y., Karpov I.D., Rylov S.A., Zemlyakov E.V., Babkin K.D. Residual stress measurement of laser metal deposited Ti-6Al-4V parts using neutron diffraction // J. Phys.: Conf. Series. 2018. V. 1109. P. 012 049.
- Ivanov S., Zemlyakov E., Babkin K., Turichin G., Karpov I., Em V., Rylov S. Stress distribution in laser metal deposited multi-layer thick-walled parts of Ti–6Al–4V // Procedia Manufacturing. 2019. V. 36. P. 240–248.
- Ivanov S., Artinov A., Zemlyakov E., Karpov I., Rylov S., Em V. Spatiotemporal Evolution of Stress Field during Direct Laser Deposition of Multilayer Thin Wall of Ti–6Al–4V// Materials. 2022. V. 15. P. 263. https://doi.org/10.3390/ma15010263
- Hutchings M.T., Withers P.J., Holden T.M., Lorentzen T. Introduction to the characterization of residual stress by neutron diffraction. 1st ed. CRC Press, 2005. 420 p.
- Fitzpatrick M.E., Lodini A. Analysis of Residual Stress by Diffraction using Neutron and Synchrotron Radiation. Taylor & Francis, 2003. 368 p. https://doi.org/10.1201/9780203608999
- ISO 21432:2019 Non-destructive testing – Standard test method for determining residual stresses by neutron diffraction. ISO. Geneva. Switzerland. 2019. 45 p.
- Эм В.Т., Балагуров А.М., Глазков В.П., Карпов И.Д., Микула П., Мирон Н.Ф., Соменков В.А., Сумин В.В., Шароун Я., Шушунов М.Н. Двойной монохроматор для нейтронной стресс-дифрактометрии // ПТЭ. 2017. № 4. С. 75–81. https://doi.org/10.7868/S003281621704004
- Em V.T., Karpov I.D., Somenkov V.A., Glazkov V.P., Balagurov A.M., Sumin V.V., Mikula P., Šaroun J. Residual stress instrument with double-crystal monochromator at research reactor IR-8 // Physica B: Condensed Matter. 2018. V. 551. P. 413–416. https://doi.org/10.1016/j.physb.2018.02.042
- An K., Yuan L., Dial L., Spinelli I., Stoica A.D., GaoY. Neutron residual stress measurement and numerical modeling in a curved thin-walled structure by laser powder bed fusion additive manufacturing // Mater. Des. 2017. V. 135. P. 122–132. https://doi.org/10.1016/j.matdes.2017.09.018
- Mishurova T., Cabeza S., Thiede T., Nadammal N., Kromm A., Klaus M., Genzel C., Haberland C., Bruno G. The influence of the support structure on residual stress and distortion in SLM inconel 718 parts // Metall. Mater. Trans. A Phys. Metall. Mater. Sci. 2018. V. 49. P. 3038–3046. https://doi.org/10.1007/s11661-018-4653-9
- Liu L., Yang Y., Wang D. A study on the residual stress during selective laser melting (SLM) of metallic powder // Int. J. Adv. Manuf. Technol. 2016. V. 87. P. 647–656. https://doi.org/10.1007/s00170-016-8466-y
- Bartlett J.L., Li X., Aydinöz M.E., Brenne F., Schaper M., Schaak C., Tillmann W., Nellesen J., Niendorf T., Gusarov A.V., Pavlov M., Smurov I., Yasa E., Deckers J., Kruth J.-P., Mei X., Wang X., Peng Y., Gu H., Zhong G., Yang S., Aggarangsi P., Beuth J.L. An overview of residual stresses in metal powder bed fusion // Mater. Sci. Eng. A. 2019. V. 669. P. 185–191. https://doi.org/10.1016/j.msea.2016.05.089
- Pant P., Proper S., Luzin V., Sjöström S., Simonsson K., Moverare J., Hosseini S., Pacheco V., Peng R.L. Mapping of residual stresses in as-built Inconel 718 fabricated by laser powder bed fusion: A neutron diffraction study of build orientation influence on residual stresses // Addit. Manuf. 2020. V. 36. P. 101501.
- Карпов И.Д, Эм В.Т., Рылов С.А., Сульянова Е.А., Сухов Д.И., Ходырев Н.А. Нейтрон-дифракционное исследование влияния направления выращивания на распределение остаточных напряжений в призмах из аустенитной стали, полученных методом селективного лазерного сплавления // ФMM. 2022. Т. 123. № 6. С. 665–672.
Supplementary files





