Применение активированного измельчения порошков при изготовлении магнитов Nd–Fe–B методом PLP
- Авторы: Головня О.А.1,2, Кручинина К.А.1,2, Протасов А.В.1,2, Колодкин Д.А.1,2, Шитов А.В.1, Сташкова Л.А.1, Огурцов А.В.3, Таранов Д.В.3
-
Учреждения:
- Институт физики металлов УрО РАН
- Уральский федеральный университет
- ПОЗ-Прогресс
- Выпуск: Том 124, № 5 (2023)
- Страницы: 347-356
- Раздел: ЭЛЕКТРИЧЕСКИЕ И МАГНИТНЫЕ СВОЙСТВА
- URL: https://bakhtiniada.ru/0015-3230/article/view/139425
- DOI: https://doi.org/10.31857/S0015323022602008
- EDN: https://elibrary.ru/OKKOWW
- ID: 139425
Цитировать
Полный текст
Аннотация
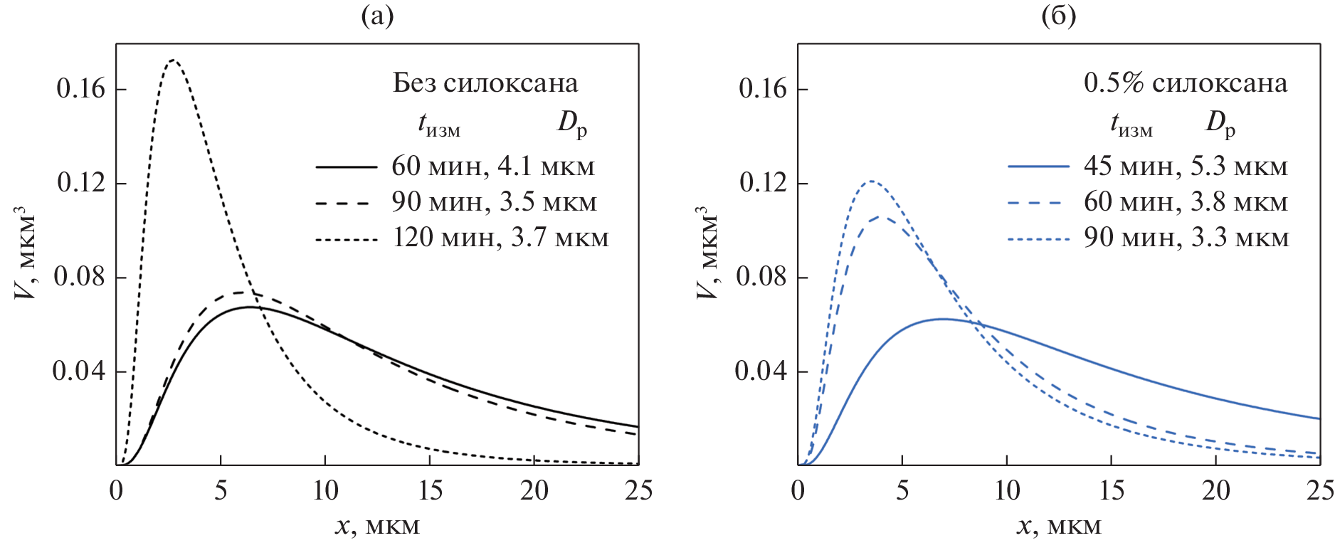
Выполнено детальное исследование гранулометрического состава порошков Nd–Fe–B, измельченных в вибрационной мельнице в течение различного времени как без добавки, так и с добавкой силоксана. Спеченные магниты изготовляли методом порошковой металлургии, исключающим прессование порошков. Установлена связь между распределением частиц по размерам в исходных порошках, микроструктурой спеченных магнитов и их магнитными гистерезисными свойствами. Продемонстрирована разница в методиках оценки размера частиц порошка. Показано, что распределения частиц порошка и зерен магнита бимодальны и описываются суперпозицией двух логнормальных распределений.
Об авторах
О. А. Головня
Институт физики металлов УрО РАН; Уральский федеральный университет
Email: golovnya@imp.uran.ru
Россия, 620108, Екатеринбург, ул. С. Ковалевской, 18; Россия, 620002, Екатеринбург, ул. Мира, 19
К. А. Кручинина
Институт физики металлов УрО РАН; Уральский федеральный университет
Email: golovnya@imp.uran.ru
Россия, 620108, Екатеринбург, ул. С. Ковалевской, 18; Россия, 620002, Екатеринбург, ул. Мира, 19
А. В. Протасов
Институт физики металлов УрО РАН; Уральский федеральный университет
Email: golovnya@imp.uran.ru
Россия, 620108, Екатеринбург, ул. С. Ковалевской, 18; Россия, 620002, Екатеринбург, ул. Мира, 19
Д. А. Колодкин
Институт физики металлов УрО РАН; Уральский федеральный университет
Email: golovnya@imp.uran.ru
Россия, 620108, Екатеринбург, ул. С. Ковалевской, 18; Россия, 620002, Екатеринбург, ул. Мира, 19
А. В. Шитов
Институт физики металлов УрО РАН
Email: golovnya@imp.uran.ru
Россия, 620108, Екатеринбург, ул. С. Ковалевской, 18
Л. А. Сташкова
Институт физики металлов УрО РАН
Email: golovnya@imp.uran.ru
Россия, 620108, Екатеринбург, ул. С. Ковалевской, 18
А. В. Огурцов
ПОЗ-Прогресс
Email: golovnya@imp.uran.ru
Россия, 624092, Свердловская область, В. Пышма, ул. Петрова 59
Д. В. Таранов
ПОЗ-Прогресс
Автор, ответственный за переписку.
Email: golovnya@imp.uran.ru
Россия, 624092, Свердловская область, В. Пышма, ул. Петрова 59
Список литературы
- Sugimoto S. Current status and recent topics of rare-earth permanent magnets // J. Phys. D: Appl. Phys. 2011. V. 44. № 6.
- Hono K., Sepehri-Amin H. Strategy for high-coercivity Nd–Fe–B magnets // Scripta Mater. 2012. V. 67. № 6. P. 530–535.
- Dong Shengzhi, Chen Hongsheng, Li Wei, Han Rui. The status of Chinese permanent magnet industry and R&D activities // AIP ADVANCES. 2017. V. 7. P. 056237 (6 pages).
- Nakamura H. The current and future status of rare earth permanent magnets // Scripta Mater. 2018. V. 154. P. 273–276.
- Kaneko Y. Highest performance of Nd–Fe–B magnet over 55 MGOe // IEEE Trans. Mag. 2000. V. 36. P. 3275–3278.
- Uestuener K., Katter M., Rodewald W. Dependence of the Mean Grain Size and Coercivity of Sintered Nd–Fe–B Magnets on the Initial Powder Particle Size // IEEE Trans. Mag. 2006. V. 10. P. 2897–2899.
- Matsuura Y., Hoshijima J., Ishii R. Relation between Nd2Fe14B grain alignment and coercive force decrease ratio in NdFeB sintered magnets // J. Magn. Magn. Mater. 2013. V. 336. P. 88–92.
- Hu Bo-Ping, Niu E., Zhao Yu-Gang, Chen Guo-An, Chen Zhi-An, Jin Guo-Shun, Zhang Jin, i RaoXiao-Le, Wang Zhen-Xi. Study of sintered Nd–Fe–B magnet with high performance of Hcj (kOe) + (BH)max (MG Oe) > 75 // AIP Advances. 2013. V. 3. P. 042136 (17 pages).
- Mo W., Zhang L., Liu Q., Shan A., Wu J., Komuro M. Dependence of the crystal structure of the Nd-rich phase on oxygen content in an Nd–Fe–B sintered magnet // Scripta Mater. 2008. V. 59. № 2. P. 179–182.
- Vial F., Joly F., Nevalainen E., Sagawa M., Hiraga K., Park K.T. Improvement of coercivity of sintered NdFeB permanent magnets by heat treatment // J. Magn. Magn. Mater. 2002. V. 242–245. P. 1329–1334.
- Shinba Y., Konno T.J., Ishikawa K., Hiraga K., Sagawa M. Transmission electron microscopy study on Nd-rich phaseand grain boundary structure of Nd–Fe–B sintered magnets // J. Appl. Phys. 2005. V. 97. № 5. P. 053 504.
- Sepehri-Amin H., Ohkubo T., Shima T., Hono K. Grain boundary and interface chemistry of an Nd–Fe–Bbased sintered magnet // Acta Mater. 2012. V. 60. № 3. P. 819–830.
- Sasaki T.T., Ohkubo T., Hono K. Structure and chemical compositions of the grain boundary phase in Nd–Fe–B sintered magnets // Acta Mater. 2016. V. 115. P. 269–277.
- Sasaki T.T., Ohkubo T., Hono K. Microstructure of Nd–Fe–B sintered magnets-structure of grain boundaries and interface // Nippon Kinzoku Gakkaishi / J. Japan Institute of Metals. 2017. V. 81. № 1. P. 2–10.
- Sagawa M., Une Y. A new process for producing Nd–Fe–B sintered magnets with small grain size // Proc. 20th Int. Workshop on Rare Earth Permanent Magnets and Their Applications (Knossos"Crete, 2008). P. 103–105.
- Li W.F., Ohkubo T., Hono K., Sagawa M. The origin of coercivity decrease in fine grained Nd–Fe–B sintered magnets // J. Magn. Magn. Mater. 2009. V. 321. P. 1100–1105.
- Sagawa M. Development and prospect of the Nd–Fe–B sintered magnets // Proc. of 21st Int. Workshop on REPM and their Applications (Bled, Slovenia, 2010). P. 183–410.
- Попов А.Г., Кудреватых Н.В., Вяткин В.П., Василенко Д.Ю., Братушев Д.Ю., Пузанова Т.З., Герасимов Е.Г. Получение высокоэнергоемких постоянных магнитов из пластинчатых сплавов Nd–Fe–B // ФММ. 2010. Т. 109. № 3. С. 257–266.
- Василенко Д.Ю., Шитов А.В., Власюга А.В., Попов А.Г., Кудреватых Н.В., Печищева Н.В. Микроструктура и свойства сплавов Nd–Fe–B, полученных методом “strip casting”, и изготовленных из них постоянных магнитов // Металловедение и термич. обр. металлов. 2014. Т. 613. № 11. С. 10–16.
- Василенко Д.Ю., Шитов А.В., Братушев Д.Ю., Подкорытов К.И., Гавико В.С., Головня О.А., Попов А.Г., Магнитные гистерезисные свойства и микроструктура высокоэнергоемких магнитов (Nd,Dy)–Fe–B с низким содержанием кислорода // ФММ. 2021. Т. 122. № 12. С. 1261–1270.
- Василенко Д.Ю., Шитов А.В., Власюга А.В., Попов А.Г., Гавико В.С., Братушев Д.Ю., Подкорытов К.И., Головня О.А. Магнитные гистерезисные свойства и микроструктура высококоэрцитивных магнитов (Nd,Dy)–Fe–B с концентрацией Dy до 10 вес. % и низким содержанием кислорода // ФММ. 2022. Т. 123. № 2. С. 158–168.
- Богаткин А.Н., Тарасов Е.Н., Андреев С.В., Попов А.Г., Кудреватых Н.В. Совершенствование технологии получения постоянных магнитов из сплавов Nd–Fe–B // Металлы. 1996. № 2. P. 86–90.
- Menushenkov V.P., Savchenko A.G. Annealing behavior of coercivity in (Nd,Dy)–Fe–B based sintered magnets // Phys. Met. Metallogr. 2001. V. 91. № Suppliment 1. P. S249–S253.
- Menushenkov V.P., Savchenko A.G. Effects of post-sintering annealing on magnetic properties of Nd–Fe–B sintered magnets // J. Magn. Magn. Mater. 2003. V. 258–259. P. 558–560.
- Попов А.Г., Пузанова Т.З., Гавико В.С., Василенко Д.Ю., Вяткин В.П. Особенности формирования высококоэрцитивного состояния в спеченных магнитах Nd–Fe–B–Ga при термоциклической обработке // ФММ. 2006. V. 101. № 6. С. 589–597.
- Пискорский В.П., Бурханов Г.С., Мельников С.А., Паршин А.П., Валеев Р.А., Терешина И.С., Иванов С.И. Влияние содержания неодима на свойства нано структурированных материалов (NdPr)–Fe–В, полученных по бинарной технологии // Перспективные материалы. 2010. № 9.
- Лукин А.А., Кольчугина Н.Б., Бурханов Г.С., Клюева Н.Е., Скотницева К. Роль добавок гидрида тербия в формировании микроструктуры и магнитных свойств спеченных магнитов системы Nd–Pr–Dy–Fe–B // Физика и xимия обр. материалов. 2012. № 1. P. 70–73.
- Попов А.Г., Герасимов Е.Г., Терентьев П.Б., Гавико В.С., Шуняев К.Ю., Михайлова Т.Л., Васьковский В.О., Кулеш Н.А. Влияние добавки стеарата цинка на свойства спеченных магнитов Nd–Fe–B // ФММ. 2013. V. 114. № 4. С. 314–324.
- Popov A.G., Gaviko V.S., Shchegoleva N.N., Golovnia O.A., Gorbunova T.I., Hadjipanayis G.C. Effect of addition of esters of fatty acids on the microstructure and properties of sintered Nd–Fe–B magnets produced by PLP // J. Magn. Magn. Mater. 2015. V. 383. P. 226–231.
- Попов А.Г., Шитов А.В., Герасимов Е.Г., Василенко Д.Ю., Говорков М.Ю., Братушев Д.Ю., Вяткин В.П., Шуняев К.Ю., Михайлова Т.Л. Получение спеченных магнитов Nd–Fe–B без процесса прессования порошков // ФММ. 2012. Т. 113. № 4. С. 352–362.
- Popov A.G., Golovnia O.A., Bykov V.A. Pressless process in route of obtaining sintered Nd–Fe–B magnets // J. Magn. Magn. Mater. 2015. V. 383. P. 226–231.
- Popov A.G., Golovnia O.A., Protasov A.V. Enhanced method of magnetic powder alignment for production of PLP Nd–Fe–B magnets // J. Magn. Magn. Mater. 2017. V. 428. P. 424–430.
- Allen, T. Particle Size Measurement. 1997.
- Davies B.E., Williams A.J., Harris I.R. The use of contact dilatometry to assessthe effect to rare-earth content on the sintering characteristics of NdFeB magnets // Proc. 18th Int. Work. High Perform. Magnets Their Appl. 2004. P. 103–105.
- Soundararajan B., Sofia D., Barletta D., Poletto M. Review on modeling techniques for powder bed fusion processes based on physical principles // Additive Manufacturing. 2021. V. 47. P. 102336.
Дополнительные файлы













