Фазовые переходы фрустрированной четырехвершинной модели Поттса на гексагональной решетке в магнитном поле
- Авторы: Рамазанов М.К.1, Муртазаев А.К.1, Магомедов М.А.1, Мазагаева М.К.1
-
Учреждения:
- Институт физики ДФИЦ РАН
- Выпуск: Том 124, № 5 (2023)
- Страницы: 339-346
- Раздел: ЭЛЕКТРИЧЕСКИЕ И МАГНИТНЫЕ СВОЙСТВА
- URL: https://bakhtiniada.ru/0015-3230/article/view/139423
- DOI: https://doi.org/10.31857/S0015323022601945
- EDN: https://elibrary.ru/OKIAZB
- ID: 139423
Цитировать
Полный текст
Аннотация
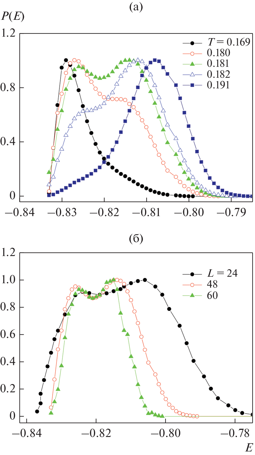
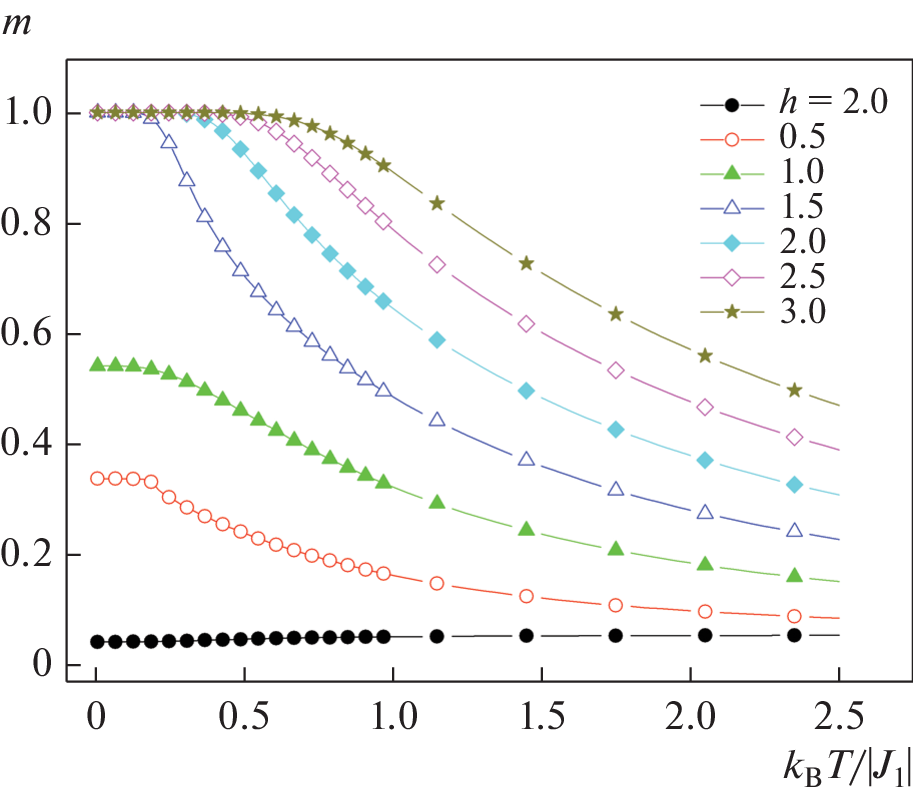
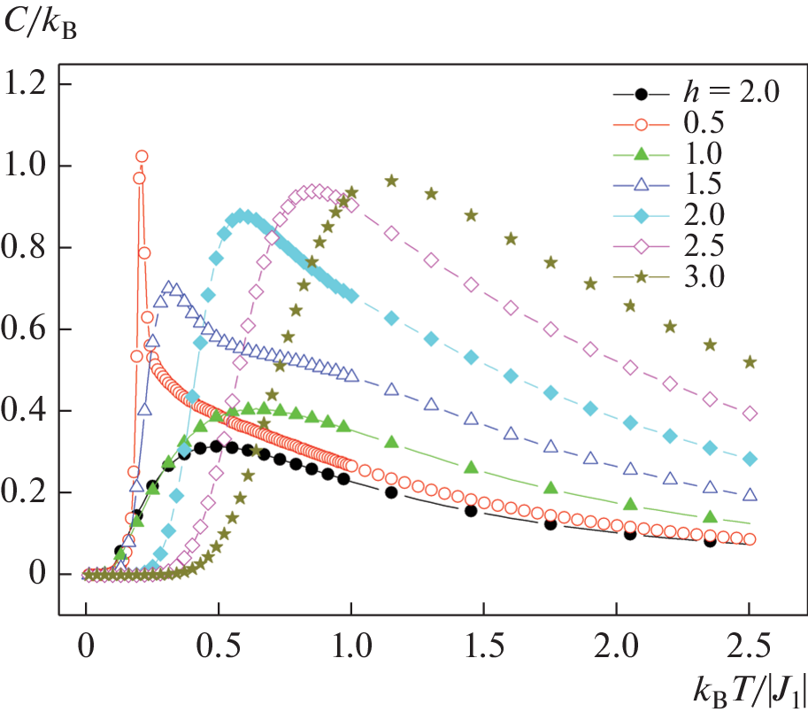
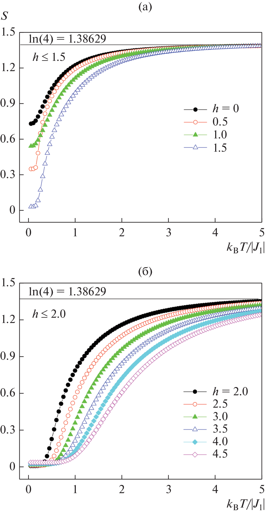
Методом Монте-Карло проведено исследование влияния магнитного поля на фазовые переходы двумерной фрустрированной модели Поттса с числом состояний спина q = 4 на гексагональной решетке. Исследования проведены для широкого интервала изменения магнитного поля. Получены магнитные структуры основного состояния в рассмотренном интервале поля. Построена зависимость намагниченности от величины магнитного поля. Обнаружено, что внешнее магнитное поле приводит к появлению фазового перехода первого рода. Показано, что сильное магнитное поле снимает вырождение основного состояния и подавляет фазовый переход в системе.
Ключевые слова
Об авторах
М. К. Рамазанов
Институт физики ДФИЦ РАН
Email: sheikh77@mail.ru
Россия, 367003, Махачкала, ул. М. Ярагского, 94
А. К. Муртазаев
Институт физики ДФИЦ РАН
Email: sheikh77@mail.ru
Россия, 367003, Махачкала, ул. М. Ярагского, 94
М. А. Магомедов
Институт физики ДФИЦ РАН
Email: sheikh77@mail.ru
Россия, 367003, Махачкала, ул. М. Ярагского, 94
М. К. Мазагаева
Институт физики ДФИЦ РАН
Автор, ответственный за переписку.
Email: sheikh77@mail.ru
Россия, 367003, Махачкала, ул. М. Ярагского, 94
Список литературы
- Dotsenko V.S. Critical phenomena and quenched disorder // Phys. Usp. 1995. V. 38. P. 457–496.
- Korshunov S.E. Phase transitions in two-dimensional systems with continuous degeneracy // Phys. Usp. 2006. V. 49. P. 225–262.
- Diep H.T. Frustrated Spin Systems. World Scientific Publishing Co. Pte. Ltd., Singapore. 2004. P. 624.
- Ramazanov M.K., Murtazaev A.K. Phase transitions and critical characteristics in the layered antiferromagnetic Ising model with next-nearest-neighbor intralayer interactions // JETP Lett. 2015. V. 101. P. 714–718.
- Malakis A., Kalozoumis P., Tyraskis N. Monte Carlo studies of the square Ising model with next-nearest-neighbor interactions // Eur. Phys. J. B. 2006. V. 50. P. 63–67.
- Сосин С.С., Прозорова Л.А., Смирнов А.И. Новые магнитные состояния в кристаллах // УФН. 2005. Т. 175. С. 92–99.
- Kassan-Ogly F.A., Proshkin A.I. Frustrations and Ordering in Magnetic Systems of Various Dimensions // Phys. Solid State. 2018. V. 60. P. 1090–1097.
- Kazuaki M., Yukiyasu O. Dynamical scaling analysis of symmetry breaking for the antiferromagnetic triangular Heisenberg model in a uniform magnetic field // Phys. Rev. B. 2020. V. 101. P. 184427-1–184427-7.
- Гехт Р.С. Магнитные состояния и фазовые переходы во фрустрированных антиферромагнетиках с треугольной решеткой // УФН. 1989. Т. 159. С. 261–296.
- Муртазаев А.К., Мазагаева М.К., Рамазанов М.К., Магомедов М.А., Муртазаева А.А. Фазовая диаграмма модели Поттса с числом состояний спина q = 4 на гексагональной решетке // ФТТ. 2021. Т. 63. Вып. 5. С. 622–627.
- Schreiber N., Cohen R., Haber S. Ferromagnetic Potts models with multisite interaction // Phys. Rev. E. 2018. V. 97. P. 032 106.
- Foster D.P., Gérard C. Critical behavior of the fully frustrated q-state Potts piled-up-domino model // Phys. Rev. B. 2004. V. 70. P. 014411.
- Puha I., Diep H.T. Phase transition of Potts model on a frustrated 3D lattice // J. Appl. Phys. 2000. V. 87. P. 5905.
- Nauenberg. M, Scalapino D.J. Singularities and Scaling Functions at the Potts-Model Multicritical Point // Phys. Rev. Lett. 1980. V. 44. P.837–840.
- Cardy J.L., Nauenberg M., Scalapino D.J. Scaling theory of the Potts-model multicritical point // Phys. Rev. B. 1980. V. 22. P. 2560–2568.
- Ramazanov M.K., Murtazaev A.K., Magomedov M.A. Phase diagrams and ground-state structures of the Potts model on a triangular lattice // Physica A. 2019. V. 521. P. 543–550.
- Wu F.Y. The Potts model // Rev. Mod. Phys.1982. V. 54. P. 235–268.
- Feldmann H., Guttmann A.J., Jensen I., Shrock R., Tsai S.-H. Study of the Potts model on the honeycomb and triangular lattices: Low-temperature series and partition function zeros // J. Phys. A. 1998. V. 31. P. 2287–2310.
- Рамазанов М.К., Муртазаев А.К., Магомедов М.А., Мазагаева М.К. Фазовые переходы и магнитные свойства модели Поттса с числом состояний спина q = 4 на гексагональной решетке в слабых магнитных полях // Письма в ЖЭТФ. 2021. Т. 114. Вып. 11–12. С. 762–767.
- Рамазанов М.К., Муртазаев А.К. Фазовые переходы и критические свойства в антиферромагнитной модели Гейзенберга на слоистой кубической решетке // Письма в ЖЭТФ. 2017. Т. 106. Вып. 2. С. 72–77.
- Рамазанов М.К., Муртазаев А.К., Магомедов М.А., Мазагаева М.К. Исследование фазовых переходов и термодинамических свойств модели Поттса с q = 4 на гексагональной решетке с взаимодействиями вторых ближайших соседей // ФТТ. 2020. Т. 62. Вып. 3. С. 442–446.
- Муртазаев А.К., Магомедов М.А., Рамазанов М.К. Фазовая диаграмма и структура основного состояния антиферромагнитной модели Изинга на объемно-центрированной кубической решетке // Письма в ЖЭТФ. 2018. Т. 107. Вып. 4. С. 265–269.
- Муртазаев А.К., Рамазанов М.К., Мазагаева М.К., Магомедов М.А. Фазовая диаграмма антиферромагнитной модели Поттса с числом состояний спина q = 4 на гексагональной решетке // ФММ. 2021. Т. 122. № 5. С. 460–465.
- Рамазанов М.К., Муртазаев А.К., Магомедов М.А., Мазагаева М.К., Муртазаева А.А. Исследование влияния сильных магнитных полей на фазовые переходы фрустрированной модели Поттса с числом состояний спина q = 4 // ФММ. 2022. Т. 123. № 3. С. 313–319.
- Gangat A.A., Kao Y.-J. Phase boundary location with information-theoretic entropy in tensor renormalization group flows // Phys. Rev. B. 2019. V. 100. P. 094 430.
- Муртазаев А.К., Кассан-Оглы Ф.А., Рамазанов М.К., Муртазаев К.Ш. Исследование фазовых переходов в антиферромагнитной модели Гейзенберга на объемно-центрированной кубической решетке методом Монте-Карло // ФММ. 2020. Т. 121. № 4. С. 346–351.
- Рамазанов М.К., Муртазаев А.К. Фазовая диаграмма антиферромагнитной модели Гейзенберга на кубической решетке // Письма в ЖЭТФ. 2019. Т. 109. Вып. 9. С. 610–614.
- Муртазаев А.К., Рамазанов М.К., Мазагаева М.К., Магомедов М.А. Фазовые переходы и термодинамические свойства модели Поттса с числом состояний спина q = 4 на гексагональной решетке // ЖЭТФ. 2019. Т. 156. Вып. 3. С. 502–506.
- Муртазаев А.К., Кассан-Оглы Ф.А., Рамазанов М.К., Муртазаев К.Ш. Исследование фазовых переходов в антиферромагнитной модели Гейзенберга на объемно-центрированной кубической решетке методом Монте-Карло // ФММ. 2020. Т. 121. № 4. С. 346–351.
- Mitsutake A., Sugita Y., Okamoto Y. Generalized-ensemble algorithms for molecular simulations of biopolymers // Biopolymers (Peptide Science). 2001. V. 60. P. 96–123.
- Wang F., Landau D.P. Determining the density of states for classical statistical models: a random walk algorithm to produce a flat histogram // Phys. Rev. E. 2001. V. 64. P. 056101-1–056101-16.
- Wang F., Landau D.P. Efficient, Multiple-Range Random Walk Algorithm to Calculate the Density of States // Phys. Rev. Lett. 2001. V. 86. P. 2050–2053.
- Курбанова Д.Р., Муртазаев А.К., Рамазанов М.К., Магомедов М.А. Фазовая диаграмма четырехвершинной модели Поттса с конкурирующими обменными взаимодействиями // Письма в ЖЭТФ. 2022. Т. 115. Вып. 8. С. 505–511.
- Kassan-Ogly F.A., Filippov B.N., Murtazaev A.K., Ramazanov M.K., Badiev M.K. Influence of field on frustrations in low-dimensional magnets // J. Mag. Mag. Mater. 2012. V. 24. P. 3418–3421.
- Kassan-Ogly F.A., Murtazaev A.K., Zhuravlev A.K., Ramazanov M.K., Proshkin A.I. Ising model on a square lattice with second-neighbor and third-neighbor interactions // J. Mag. Mag. Mater. 2015. V. 384. P. 247–254.
- Proshkin A.I., Kassan-Ogly F.A. Frustration and Phase Transitions in Ising Model on Decorated Square Lattice // Phys. Met. Metal. 2019. V. 120. P. 1366–1372.
- Kassan-Ogly F.A., Proshkin A.I. Ising Model on Planar Decorated Lattices. Frustrations and Their Influence on Phase Transitions // Phys. Met. Metal. 2019. V. 120. P. 1359–1365.
Дополнительные файлы









