Обратный эффект близости в гетероструктурах сверхпроводник–ферромагнитный диэлектрик
- Авторы: Селезнев Д.В.1, Яговцев В.О.1, Пугач Н.Г.1, Туркин Я.В.1,2, Екомасов Е.Г.3,4, Львов Б.Г.1
-
Учреждения:
- Национальный исследовательский университет “Высшая школа экономики”
- Крымский федеральный университет им. В.И. Вернадского
- Уфимский университет науки и технологий
- Башкирский государственный педагогический университет им. М. Акмуллы
- Выпуск: Том 124, № 2 (2023)
- Страницы: 196-203
- Раздел: ЭЛЕКТРИЧЕСКИЕ И МАГНИТНЫЕ СВОЙСТВА
- URL: https://bakhtiniada.ru/0015-3230/article/view/139416
- DOI: https://doi.org/10.31857/S0015323022601593
- EDN: https://elibrary.ru/KYXYRR
- ID: 139416
Цитировать
Полный текст
Аннотация
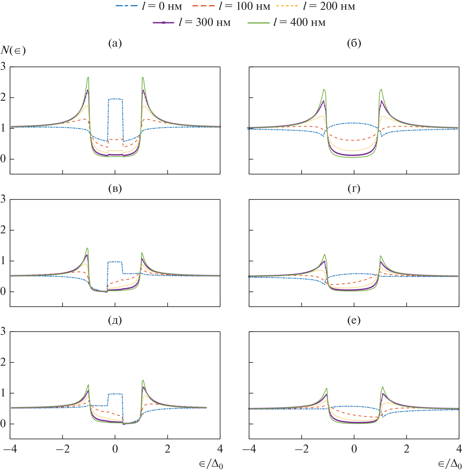
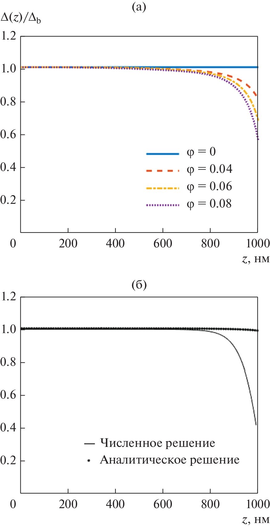
Наведенная за счет обратного эффекта близости намагниченность в сверхпроводнике исследуется в гибридных структурах, содержащих сверхпроводник и ферромагнитный изолятор. Исследование проводится в рамках метода квазиклассических функций Грина, в котором уравнения Узаделя численно решаются с граничными условиями, подходящими для сильно спин-поляризованных ферромагнитных материалов. Изучалась конверсия синглетных сверхпроводящих корреляций в триплетные в результате эффекта близости с ферромагнетиком и ее проявления в особенностях электронной плотности состояний, наведенной намагниченности и подавлении сверхпроводящего параметра порядка. Показано, что намагниченность может менять знак внутри сверхпроводящего слоя. Приведено сравнение распределения намагниченности с данными, полученными авторами в предыдущих работах.
Об авторах
Д. В. Селезнев
Национальный исследовательский университет “Высшая школа экономики”
Email: selezmsu@ya.ru
Россия, 101000, Москва, бул. Покровский, 11
В. О. Яговцев
Национальный исследовательский университет “Высшая школа экономики”
Email: selezmsu@ya.ru
Россия, 101000, Москва, бул. Покровский, 11
Н. Г. Пугач
Национальный исследовательский университет “Высшая школа экономики”
Email: selezmsu@ya.ru
Россия, 101000, Москва, бул. Покровский, 11
Я. В. Туркин
Национальный исследовательский университет “Высшая школа экономики”; Крымский федеральный университет им. В.И. Вернадского
Email: selezmsu@ya.ru
Россия, 101000, Москва, бул. Покровский, 11; Россия, 295007, Симферополь, пр. Академика Вернадского, 4
Е. Г. Екомасов
Уфимский университет науки и технологий; Башкирский государственный педагогический университет им. М. Акмуллы
Email: selezmsu@ya.ru
Россия, 450076, Уфа, ул. Заки Валиди, 32; Россия, 450008, Уфа, ул. Октябрьской революции, 3а
Б. Г. Львов
Национальный исследовательский университет “Высшая школа экономики”
Автор, ответственный за переписку.
Email: selezmsu@ya.ru
Россия, 101000, Москва, бул. Покровский, 11
Список литературы
- Žutić I., Fabian J., Sarma S.D. Spintronics: Fundamentals and applications // Rev. Mod. Phys. 2004. V. 76. № 2. P. 323–410.
- Пугач Н.Г., Cафончик M.O., Хайм Д.М., Яговцев В.О. Сверхпроводящие спиновые вентили на основе спиральных магнетиков // ФТТ. 2018. Т. 60. № 11. С. 2196–2202.
- Gusev N.A., Dgheparov D.I., Pugach N.G., Belotelov V.I. Magnonic control of the superconducting spin valve by magnetization reorientation in a helimagnet // Appl. Phys. Lett. 2021. V. 118. № 23. P. 232601.
- Pugach N. G., Safonchik M., Champel T., Zhitomirsky M.E., Lähderanta E., Eschrig M., Lacroix C. Superconducting spin valves controlled by spiral re-orientation in B20-family magnets // Appl. Phys. Lett. 2017. V. 111. № 16. P. 162 601.
- Yagovtsev V.O., Gusev N.A., Pugach N.G., Eschrig M. The inverse proximity effect in strong ferromagnet–superconductor structures // Supercond. Sci. Tech. 2021. V. 34. № 2. P. 025003.
- Pugach N.G., Safonchik M.O., Belotelov V.I., Ziman T., Champel T. Superconducting spin valve under magnonic control // arXiv prep. 2021. arXiv:2110.00369.
- Linder J., Robinson J.W. Superconducting spintronics // Nat. Phys. 2015. V. 11. № 4. P. 307–315.
- Blamire M.G., Robinson J.W.A. The interface between superconductivity and magnetism: understanding and device prospects // J. Phys. Cond. Matt. 2014. V. 26. № 45. P. 453 201.
- Buzdin A.I. Proximity effects in superconductor-ferromagnet heterostructures // Rev. Mod. Phys. 2005. V. 77. № 3. P. 935–976.
- Eschrig M. Spin-polarized supercurrents for spintronics: a review of current progress // Rep. Prog. Phys. 2015. V. 78. № 10. P. 104501.
- Bergeret F.S., Volkov A.F., Efetov K.B. Odd triplet superconductivity and related phenomena in superconductor-ferromagnet structures // Rev. Mod. Phys. 2005. V. 77. № 4. P. 1321–1373.
- Heim D.M., Pugach N.G., Kupriyanov M.Y., Goldobin E., Koelle D., Kleiner R. Ferromagnetic planar Josephson junction with transparent interfaces: a φ junction proposal // J. Phys. Cond. Matt. 2013. V. 25. № 21. P. 215 701.
- Heim D.M., Pugach N.G., Kupriyanov M.Y., Goldobin E., Koelle D., Kleiner R., Ruppelt N., Weides M., Kohlstedt H. The effect of normal and insulating layers on 0-π transitions in Josephson junctions with a ferromagnetic barrier // New J. Phys. 2015. V. 17. № 11. P. 113022.
- Stoutimore M.J.A., Rossolenko A.N., Bolginov V.V., Oboznov V.A., Rusanov A.Y., Baranov D.S., Pugach N., Frolov S.M., Ryazanov V.V., Van Harlingen D.J. Second-harmonic current-phase relation in Josephson junctions with ferromagnetic barriers // Phys. Rev. Lett. 2018. V. 121. № 17. P. 177702.
- Pugach N.G., Kupriyanov M.Yu., Vedyayev A.V., Lacroix C., Goldobin E., Koelle D., Kleiner R., Sidorenko A.S. Ferromagnetic Josephson junctions with steplike interface transparency // Phys. Rev. B. 2009. V. 80. № 13. P. 134 516.
- Klenov N., Kornev V., Vedyayev A., Ryzhanova N., Pugach N., Rumyantseva T. Examination of logic operations with silent phase qubit // J. Phys. Conf. Ser. 2008. V. 97. № 1. P. 012037.
- Gaifullin R.R., Deminov R.G., Aliyev M.N., Tagirov L.R. Superconducting spin-valves in spintronics // Magn. Res. Sol. 2019. V. 21. № 3.
- Devizorova Z., Buzdin A. Superconductivity-driven helical magnetic structure in EuRbFe4As4 ferromagnetic superconductor // Phys. Rev. B. 2019. V. 100. № 10. P. 104 523.
- Leksin P.V., Kamashev A.A., Schumann J., Kataev V.E., Thomas J., Büchner B., Garifullin I.A. Boosting the superconducting spin valve effect in a metallic superconductor/ferromagnet heterostructure // Nano Res. 2016. V. 9. № 4. P. 1005–1011.
- Tokuyasu T., Sauls J.A., Rainer D. Proximity effect of a ferromagnetic insulator in contact with a superconductor // Phys. Rev. B. 1988. V. 38. № 13. P. 8823–8833.
- Fazio R., Lucheroni C. Local density of states in superconductor-ferromagnetic hybrid systems // EPL 1999. V. 45. № 6. P. 707–713.
- Bergeret F.S., Volkov A.F., Efetov K.B. Induced ferromagnetism due to superconductivity in superconductor-ferromagnet structures // Phys. Rev. B. 2004. V. 69. № 17. P. 174504.
- Champel T., Eschrig M. Effect of an inhomogeneous exchange field on the proximity effect in disordered superconductor-ferromagnet hybrid structures // Phys. Rev. B. 2005 V. 72. № 5. P. 054523.
- Linder J., Yokoyama T., Sudbø A. Theory of superconducting and magnetic proximity effect in S/F structures with inhomogeneous magnetization textures and spin-active interfaces // Phys. Rev. B. 2009. V. 79. № 5. P. 054 523.
- Bergeret F.S., Verso A., Volkov A.F. Spin-polarized Josephson and quasiparticle currents in superconducting spin-filter tunnel junctions // Phys. Rev. B. 2012. V. 86. № 6. P. 060506.
- Bergeret F.S., Verso A., Volkov A.F. Electronic transport through ferromagnetic and superconducting junctions with spin-filter tunneling barriers // Phys. Rev. B. 2012. V. 86. № 21. P. 214516.
- Pugach N.G., Buzdin A.I. Magnetic moment manipulation by triplet Josephson current // Appl. Phys. Lett. 2012. V. 101. № 24. P. 242602.
- Ouassou J.A., Pal A., Blamire M., Eschrig M., Linder J. Triplet Cooper pairs induced in diffusive s-wave superconductors interfaced with strongly spin-polarized magnetic insulators or half-metallic ferromagnets // Sci. Rep. 2017. V. 7. № 1. P. 1–16.
- Eschrig M., Cottet A., Belzig W., Linder J. General boundary conditions for quasiclassical theory of superconductivity in the diffusive limit: application to strongly spin-polarized systems // New J. Phys. 2015. V. 17. № 8. P. 083037.
- Kiwi M. Origin of the magnetic proximity effect // MRS Online Proc. Lib. 2002. 746.
- Giazotto F., Solinas P., Braggio A., Bergeret F. S. Ferromagnetic-insulator-based superconducting junctions as sensitive electron thermometers // Phys. Rev. App. 2015. V. 4. № 4. P. 044016.
- Pal A., Blamire M.G. Large interfacial exchange fields in a thick superconducting film coupled to a spin-filter tunnel barrier // Phys. Rev. B. 2015. V. 92. № 18. P. 180510.
- Li B., Roschewsky N., Assaf B.A., Eich M., Epstein–Martin M., Heiman D., Münzenberg M., Moodera J.S. Superconducting spin switch with infinite magnetoresistance induced by an internal exchange field // Phys. Rev. Lett. 2013. V. 110. № 9. P. 097001.
- Wolf M.J., Sürgers C., Fischer G., Beckmann D. Spin-polarized quasiparticle transport in exchange-split superconducting aluminum on europium sulfide // Phys. Rev. B. 2014. V. 90. № 14. P. 144509.
- Boden K.M., Pratt Jr. W.P., Birge N.O. Proximity-induced density-of-states oscillations in a superconductor/strong-ferromagnet system // Phys. Rev. B. 2011. V. 84. № 2. P. 020510.
- Knežević M., Trifunovic L., Radović Z. Signature of the long-range triplet proximity effect in the density of states // Phys. Rev. B. 2012. V. 85. № 9. P. 094517.
- Alidoust M., Halterman K., Valls O.T. Zero-energy peak and triplet correlations in nanoscale superconductor/ferromagnet/ferromagnet spin valves // Phys. Rev. B. 2015. V. 92. № 1. P. 014508.
- Яговцев В.О., Пугач Н.Г. Намагниченность, наведенная в сверхпроводнике из-за эффекта близости с ферромагнитным диэлектриком // ФММ. 2020. Т. 121. № 3. С. 277–282.
- Alexander J.A.X., Orlando T.P., Rainer D., Tedrow P.M. Theory of Fermi-liquid effects in high-field tunneling // Phys. Rev. B. 1985. V. 31. № 9. P. 5811–5825.
- Яговцев В.О., Пугач Н.Г., Екомасов Е.Г., Львов Б.Г. Намагниченность в бислоях сверхпроводник–ферромагнитный металл, вызванная обратным эффектом близости // ФММ. 2021. Т. 122. № 9. С. 908–916.
- Bakurskiy S.V., Neilo A.A., Klenov N.V., Soloviev I.I., Golubov A.A., Kupriyanov M.Y. Density of states and current–voltage characteristics in SIsFS junctions // Supercond. Sci. Tech. 2021. V. 34. № 8. P. З085007.
- Li B., Miao G.X. Moodera J.S. Observation of tunnel magnetoresistance in a superconducting junction with Zeeman-split energy bands // Phys. Rev. B. 2013. V. 8. № 16. P. 161 105.
Дополнительные файлы







