The Nonlinear Dynamics of the Magnetization and Elastic Displacement of a YIG Film under a Frequency-Modulated Excitation by an Alternating Magnetic Field
- Authors: Pleshev D.A.1,2, Asadullin F.F.1, Vlasov V.S.2, Kotov L.N.2
-
Affiliations:
- St. Petersburg State Forest Technical University Named after S.M. Kirov
- Pitirim Sorokin Syktyvkar State University
- Issue: Vol 124, No 2 (2023)
- Pages: 154-160
- Section: ЭЛЕКТРИЧЕСКИЕ И МАГНИТНЫЕ СВОЙСТВА
- URL: https://bakhtiniada.ru/0015-3230/article/view/139401
- DOI: https://doi.org/10.31857/S0015323022601362
- EDN: https://elibrary.ru/KWBMBS
- ID: 139401
Cite item
Full Text
Abstract
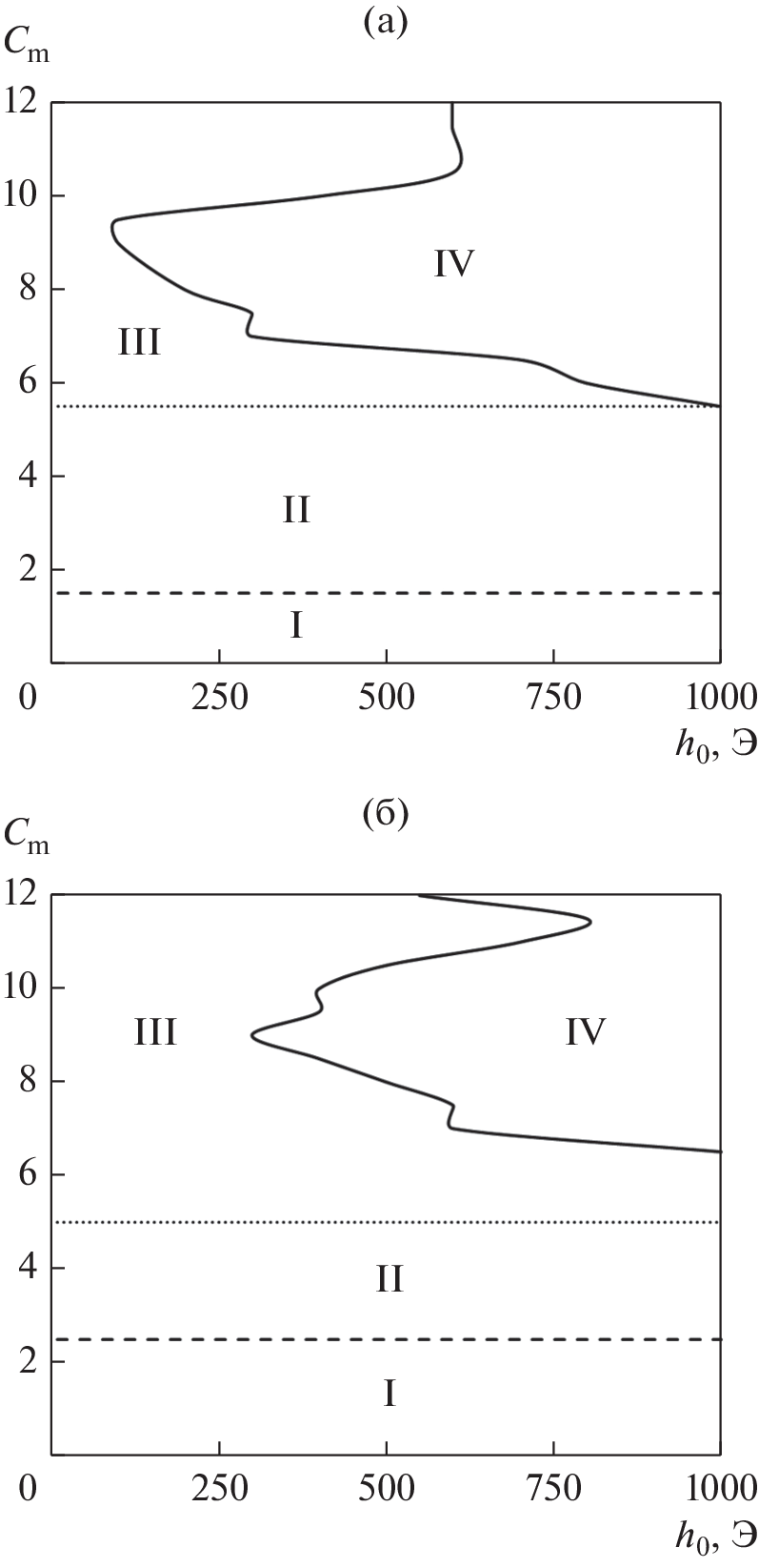
The nonlinear dynamics of the magnetic and elastic subsystems of an yttrium iron garnet film excited by an alternating frequency-modulated magnetic field has been studied. The possibility of demodu-lating a frequency-modulated signal on a microwave magnetostrictive film transducer has been considered. The dependence of the excitation of oscillations of a magnetization vector and elastic displacements on the material and excitation parameters has been determined.
About the authors
D. A. Pleshev
St. Petersburg State Forest Technical University Named after S.M. Kirov; Pitirim Sorokin Syktyvkar State University
Email: dpleshev@gmail.com
St. Petersburg, 192021 Russia; Syktyvkar, 167001 Russia
F. F. Asadullin
St. Petersburg State Forest Technical University Named after S.M. Kirov
Email: dpleshev@gmail.com
St. Petersburg, 192021 Russia
V. S. Vlasov
Pitirim Sorokin Syktyvkar State University
Email: dpleshev@gmail.com
Syktyvkar, 167001 Russia
L. N. Kotov
Pitirim Sorokin Syktyvkar State University
Author for correspondence.
Email: dpleshev@gmail.com
Syktyvkar, 167001 Russia
References
- Голямина И.П. Магнитострикционные излучатели из ферритов / Физика и техника мощного ультразвука. Кн. 1. Источники мощного ультразвука / Под ред. Л.Д. Розенберга. М.: Наука. 1967. С. 111–206.
- Eshbach J.R. Spin-wave propagation and the magnetoelastic interaction in yttrium iron garnet / J.R. Eshbach // JAP. 1963. V. 34. № 4. P. 1298.
- Eggers F.G., Strauss W.A. UHF delay line using single-crystal yttrium iron garnet // JAP. 1963. V. 34. № 4. P. 1180.
- Калашникова А.М., Кимель А.В., Писарев Р.В. Сверхбыстрый оптомагнетизм // УФН. 2015. V. 185. № 10. P. 1064–1076.
- Yang W.G., Schmidt H. Acoustic control of magnetism toward energy-efficient applications // Appl. Phys. Rev. 2021. V. 8. P. 021304.
- Локк Э.Г., Герус С.В., Анненков А.Ю. // РЭ. 2018. Т. 63. № 10. С. 1089.
- Гуляев Ю.В., Зильберман П.Е., Темирязев А.Г., Тихомирова М.П. Основная мода нелинейного спин–волнового резонанса в нормально намагниченных ферритовых пленках // ФТТ. 2000. Т. 42. № 6. С. 1062.
- Власов В.С., Плешев Д.А., Шавров В.Г., Щеглов В.И. Детектирование частотно-модулированного СВЧ сигнала с помощью магнитострикционного преобразователя // Журн. радиоэлектроники. 2020. № 7. С. 1–41.
- Плешев Д.А., Асадуллин Ф.Ф., Власов В.С., Щеглов В.И. Детектирование модулированных магнитных полей. Сыктывкар: СЛИ, 2022. 108 с.
- Pleshev D.A., Asadullin F.F., Poleshikov S.M., Vlasov V.S., Kotov L.N., Shavrov V.G., Shcheglov V.I. Investigation of nonlinear dynamics of magnetoelastic oscillations in normal magnetized ferrite plate // Solid State Phenomena. 2015. T. 233–234. P. 471–475.
- Pleshev D., Asadullin F., Poleshchikov S., Vlasov V., Kotov L., Shavrov V., Shcheglov V. Conditions for division and multiplication of frequencies in ferrite // EPJ Web of Conferences. Moscow International Symposium on Magnetism, MISM. 2017, 2018. C. 02004.
- Харкевич А.А. Основы радиотехники. М.: Физматлит, 2007. 560 с.
Supplementary files






