Параметры сверхтонкой структуры ядер 57Fe в монокристаллах FeBO3 и Fe0.91Ga0.09BO3
- Авторы: Снегирёв Н.И.1, Старчиков С.С.1, Любутин И.С.1, Чуев М.А.2, Ягупов С.В.3, Стругацкий М.Б.3
-
Учреждения:
- Институт кристаллографии им. А.В. Шубникова ФНИЦ “Кристаллография и фотоника” РАН
- Физико-технологический институт им. К.А. Валиева РАН
- Физико-технический институт ФГАОУ ВО “КФУ им. В.И. Вернадского”
- Выпуск: Том 124, № 4 (2023)
- Страницы: 368-374
- Раздел: ЭЛЕКТРИЧЕСКИЕ И МАГНИТНЫЕ СВОЙСТВА
- URL: https://bakhtiniada.ru/0015-3230/article/view/139400
- DOI: https://doi.org/10.31857/S001532302260143X
- EDN: https://elibrary.ru/VIBHAW
- ID: 139400
Цитировать
Полный текст
Аннотация
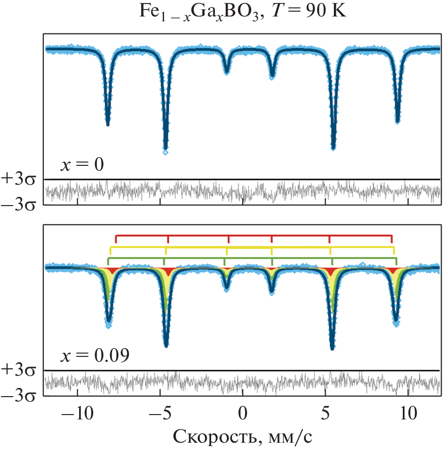
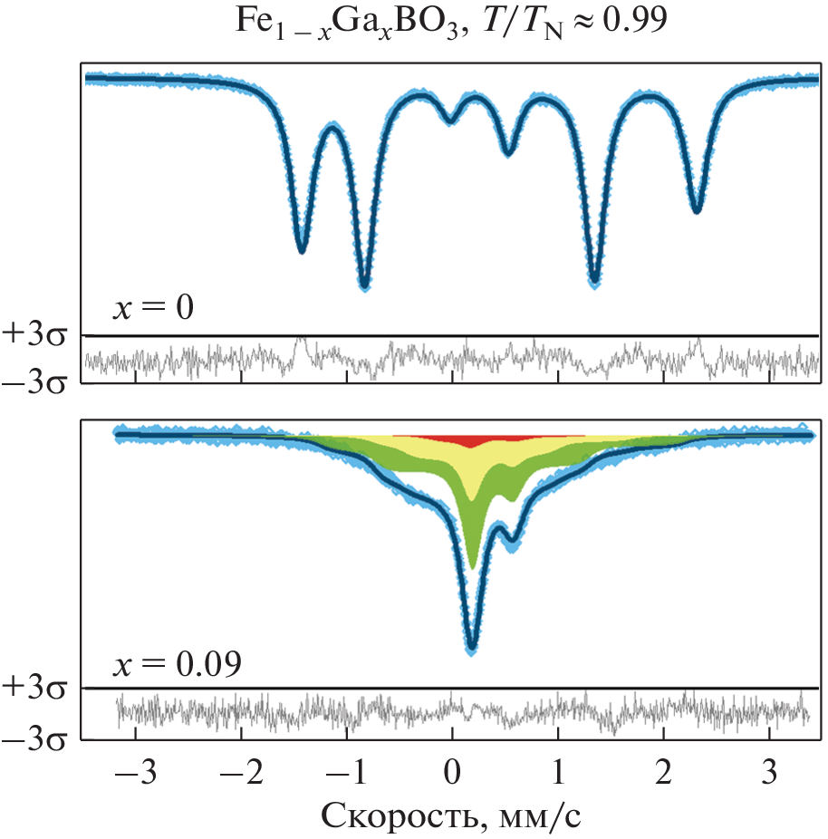
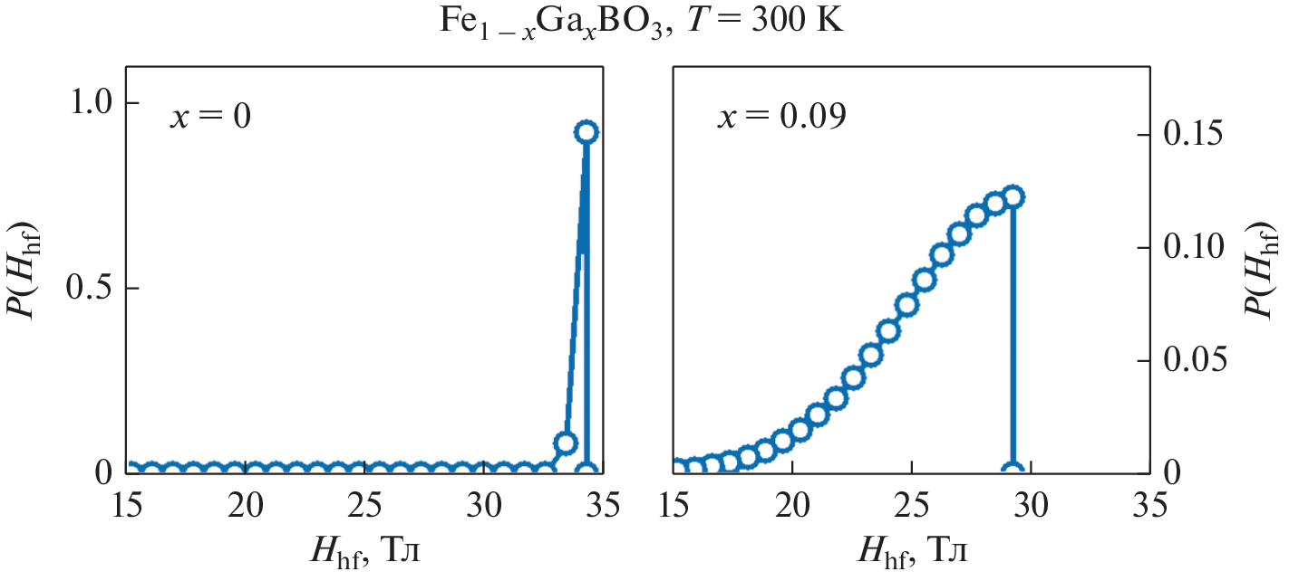
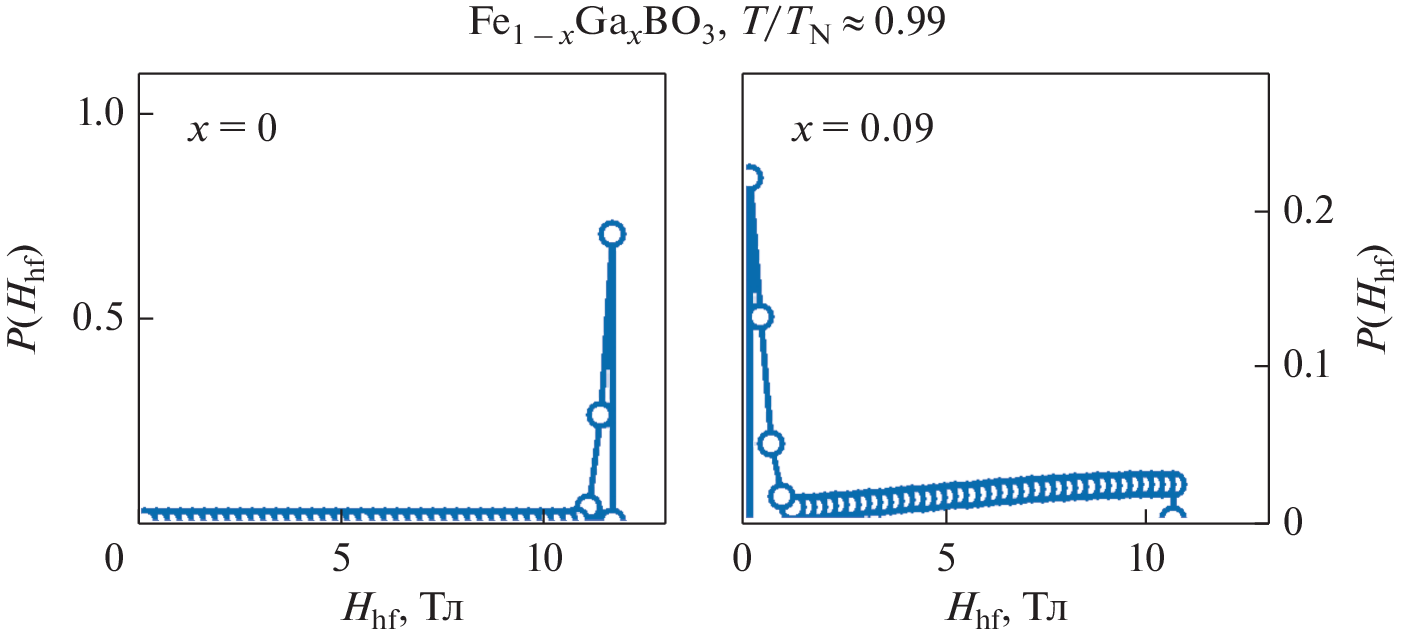
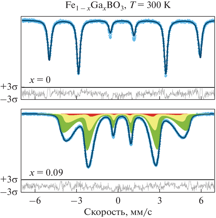
Методом мёссбауэровской спектроскопии определены значения параметров сверхтонкого взаимодействия ядер 57Fe в монокристаллах бората железа FeBO3 и изоструктурного ему твердого раствора Fe0.91Ga0.09BO3. Разработана теоретическая модель для описания резонансных переходов ядер железа в приближении комбинированного магнитного дипольного и электрического квадрупольного сверхтонкого взаимодействия, с учетом статистического распределения Ga и Fe по октаэдрическим позициям в кристалле Fe0.91Ga0.09BO3. Установлено, что даже небольшая концентрация Ga ведет к существенному изменению сверхтонкой структуры ядер 57Fe в FeBO3, что выражается в появлении дополнительных компонент в мёссбауэровских спектрах монокристалла Fe0.91Ga0.09BO3.
Ключевые слова
Об авторах
Н. И. Снегирёв
Институт кристаллографии им. А.В. Шубникова ФНИЦ “Кристаллография и фотоника” РАН
Email: niksnegir@yandex.ru
Россия, 119333, Москва, Ленинский просп., 59
С. С. Старчиков
Институт кристаллографии им. А.В. Шубникова ФНИЦ “Кристаллография и фотоника” РАН
Email: niksnegir@yandex.ru
Россия, 119333, Москва, Ленинский просп., 59
И. С. Любутин
Институт кристаллографии им. А.В. Шубникова ФНИЦ “Кристаллография и фотоника” РАН
Email: niksnegir@yandex.ru
Россия, 119333, Москва, Ленинский просп., 59
М. А. Чуев
Физико-технологический институт им. К.А. Валиева РАН
Email: niksnegir@yandex.ru
Россия, 117218, Москва, Нахимовский просп., 36
С. В. Ягупов
Физико-технический институт ФГАОУ ВО “КФУ им. В.И. Вернадского”
Email: niksnegir@yandex.ru
Россия, 295007, Симферополь, просп. Академика Вернадского, 4
М. Б. Стругацкий
Физико-технический институт ФГАОУ ВО “КФУ им. В.И. Вернадского”
Автор, ответственный за переписку.
Email: niksnegir@yandex.ru
Россия, 295007, Симферополь, просп. Академика Вернадского, 4
Список литературы
- Pernet M., Elmale D., Joubert J.C., Structure Magnetique Du Metaborate de Fer FeBO3 // Solid State Commun. 1970. V. 8. P. 1583–1587.
- Yagupov S., Strugatsky M., Seleznyova K., Mogilenec K.Y., Snegirev N., Marchenkov N.V., Kulikov A.G., Eliovich Y.A., Frolov K.V., Ogarkova Y.L., Lyubutin I.S. Development of a Synthesis Technique and Characterization of High-Quality Iron Borate FeBO3 Single Crystals for Applications in Synchrotron Technologies of a New Generation // Cryst. Growth Des. 2018. V. 18. P. 7435–7435.
- Smirnova E.S., Snegirev N.I., Lyubutin I.S., Starchikov S.S., Artemov V.V., Lyubutina M.V., Yagupov S.V., Strugatsky M.B., Mogilenec Y.A., Seleznyova K.A., Alekseeva O.A. Flux growth, structure refinement and Mössbauer studies of Fe1 – xGaxBO3 single crystals. // Acta Crystallogr. B: Structural Science, Crystal Engineering and Materials. 2020. V. 76. № 6. P. 1100–1108.
- Lyubutin I.S., Snegirev N.I., Chuev M.A., Starchikov S.S., Smirnova E.S., Lyubutina M.V., Yagupov S.V., Strugatsky M.B., Alekseeva O.A. Magnetic and electric hyperfine parameters of antiferromagnet FeBO3 intended for monochromatization of synchrotron radiation // J. Alloys and Compd. 2022. V. 906. P. 164348.
- Snegirev N., Smirnova E., Lyubutin I., Kiiamov A., Starchikov S., Yagupov S., Strugatsky M., Alekseeva O. Mutual orientation of electric intracrystalline and magnetic fields in iron borate single crystals // IEEE Magn. Lett. 2022. V. 13. P. 2501004.
- Potapkin V., Chumakov A.I., Smirnov G.V., Rüffer R., McCammon C., Dubrovinsky L. Angular, spectral, and temporal properties of nuclear radiation from a 57Fe synchrotron Mössbauer source // Phys. Rev. A. 2012. V. 86. № 5. P. 053808.
- Seleznyova K., Strugatsky M., Yagupov S., Mogilenec Y., Drovosekov A., Kreines N., Rosa P., Kliava J. Electron magnetic resonance of iron-gallium borate single crystals // J. Appl. Physics. 2019. V. 125. P. 223905.
- Snegirev N., Lyubutin I., Kulikov A., Zolotov D., Vasiliev A., Lyubutina M., Yagupov S., Mogilenec Y., Seleznyova K., Strugatsky M. Structural perfection of Fe1 – xGaxBO3 single crystals designed for nuclear resonant synchrotron experiments // J. Alloys and Compd. 2021. V. 889. P. 161 702.
- Лабушкин В.Г. Дифракция рентгеновского и мёссбауэровского излучения на магнитоупорядоченных кристаллах / Дис. на соискание степени доктора физ.-мат. наук, ВНИИФТРИ, Москва, 1986.
- Kamzin A.S., Ol’khovik L.P., Snetkova E.V. Preparation and investigation of weakly ferromagnetic Fe1 – xGaxBO3 single crystals // Phys. Solid State. 2003. V. 45. № 11. P. 2128–2130.
- Dmitrienko V.E., Ovchinnikova E.N., Collins S., Nisbet G., Beutier G., Kvashnin Y.O., Mazurenko V.V., Lichtenstein A.I., Katsnelson M.I. Measuring the Dzya-loshinskii–Moriya interaction in a weak ferromagnet // Nat. Phys. 2014. V. 10. № 3. P. 202–206.
- Coey J.M.D., Sawatzky G.A. The mössbauer spectra of substituted systems local molecular field theory // Phys. Status Solidi B. 1971. V. 44. № 2. P. 673–680.
- Lyubutin I.S., Chuev M.A., Starchikov S.S., Funtov K.O., Lyubutina M.V. Spiral magnetic structures with various helix parameters in langasite family compounds tested by Mössbauer spectroscopy // J. Magn. Magn. Mater. 2020. V. 504. P. 166 665.
- Снегирёв Н.И., Богач А.В., Любутин И.С., Чуев М.А., Ягупов С.В., Могиленец Ю.А., Селезнева К.А., Стругацкий М.Б. Эволюция магнитных свойств монокристаллов бората железа при допировании галлием // ФММ. 2023. Т. 124. № 2. С. 141–145.
- Вайнштейн Б.К. Современная кристаллография. М.: Наука, 1979.
Дополнительные файлы








