Зернограничная диффузия 57Со в ниобии
- Авторы: Попов В.В.1, Истомина А.Ю.1, Осинников Е.В.1, Фалахутдинов Р.М.1
-
Учреждения:
- Институт физики металлов УрО РАН
- Выпуск: Том 124, № 3 (2023)
- Страницы: 298-302
- Раздел: СТРУКТУРА, ФАЗОВЫЕ ПРЕВРАЩЕНИЯ И ДИФФУЗИЯ
- URL: https://bakhtiniada.ru/0015-3230/article/view/139390
- DOI: https://doi.org/10.31857/S0015323022601672
- EDN: https://elibrary.ru/CMWMBH
- ID: 139390
Цитировать
Полный текст
Аннотация
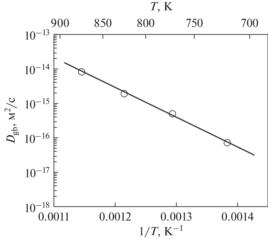
Методом послойного радиометрического анализа выполнено исследование диффузии Co по границам зерен в Nb для интервала температур 723–873 К. Режимы диффузионных отжигов соответствовали кинетическому режиму типа C, когда диффузия протекает только по границам зерен. На основании полученных диффузионных профилей Со в Nb определены значения коэффициента зернограничной диффузии Со в Nb для нескольких температур. Найдено выражение для аррениусовской зависимости коэффициента диффузии Co по границам зерен Nb. На основании полученной температурной зависимости коэффициента зернограничной диффузии Co в Nb и имеющихся в литературе сведений о температурной зависимости тройного произведения получено выражение для температурной зависимости коэффициента зернограничной сегрегации Co в Nb.
Ключевые слова
Об авторах
В. В. Попов
Институт физики металлов УрО РАН
Email: vpopov@imp.uran.ru
Россия, 620108, Екатеринбург, ул. С. Ковалевской, 18
А. Ю. Истомина
Институт физики металлов УрО РАН
Email: vpopov@imp.uran.ru
Россия, 620108, Екатеринбург, ул. С. Ковалевской, 18
Е. В. Осинников
Институт физики металлов УрО РАН
Email: vpopov@imp.uran.ru
Россия, 620108, Екатеринбург, ул. С. Ковалевской, 18
Р. М. Фалахутдинов
Институт физики металлов УрО РАН
Автор, ответственный за переписку.
Email: vpopov@imp.uran.ru
Россия, 620108, Екатеринбург, ул. С. Ковалевской, 18
Список литературы
- Воронова Л.М., Дегтярев М.В., Чащухина Т.И. Кинетика рекристаллизации ниобия с субмикрокристаллической структурой // ФММ. 2019. Т. 120. № 10. С. 1036–1042.
- Попова Е.Н., Дерягина И.Л. Эволюция структуры композита Cu–Nb при кручении под высоким давлением и последующем отжиге // ФММ. 2020. Т. 121. № 12. С.1285–1291.
- Новосилова Д.С., Поликарпова М.В., Абдюханов И.М., Дерягина И.Л., Попова Е.Н., Патраков Е.И., Цаплева А.С., Алексеев М.В. Влияние диффузионного отжига сверхпроводников на основе Nb3Sn с внутренним источником олова на электропроводность стабилизирующей меди // ФММ. 2021. Т. 122. № 1. С. 38–44.
- Попов В.В., Осинников Е.В., Фалахутдинов Р.М. Эмиссионная мессбауэровская спектроскопия границ зерен ультрамелкозернистого ниобия, полученного интенсивной пластической деформацией // ФММ. 2022. Т. 123. № 8. С. 881–887.
- Борисов Е.В., Сенчуков А.Д., Шлыков В.И. Диффузия вольфрама в W, Mo и Nb // Изв. АН СССР. Неорганические материалы. 1981. Т. 17. № 2. С. 277–281.
- Гедговд К.Н., Красовский А.И., Новиков С.М. Диффузия цезия в переходные металлы V и VI групп // ФММ. 1980. Т. 50. № 2. С.137–139.
- Koppers M., Mishinin Yu., Herzig Chr. Fast diffusion of cobalt along stationary and moving grain boundaries in niobium // Acta Metall. Mater. 1994. V. 42. № 8. P. 2859–2868.
- Грузин П.Л. Применение искусственно радиоактивных индикаторов для изучения процессов диффузии и самодиффузии // ДАН СССР. 1952. Т. 86. № 2. С. 289–292.
- Mishin Y., Herzig Chr., Bernardini J., Gust W. Grain boundary diffusion: fundamentals to recent developments. // Int. Mater. Rev. 1997. V. 42. № 4. P. 155–178.
- Kaur I., Mishin Y., Gust W. Fundamentals of grain and interface boundary diffusion. Wiley & Sons LTD, Chichester, 1995.
- Divinski S., Lee J.-S., Herzig Chr. Grain boundary diffusion and segregation in compacted and sinterad nanocrystalline alloys. //J. Metastable Nanocryst. Mater. 2004. V. 19. P. 55–68.
- Диаграммы состояния двойных металлических систем: Справочник в 3 Т.: Т. 2 / Под общей редакцией Н.П. Лякишева. М.: Машиностроение, 1997. 1024 с.
- Hondros E.D., Seah M.P. Segregation to interfaces // Int. Metall. Rev. 1977. V. 222. P. 262–301.
- Gupta D. Influence of Solute Segregation on Grain-Boundary Energy and Self-Diffusion // Metall. Trans. A. 1977. V. 8A. P. 1431–1438.
- Divinski S.V., Bokstein B.S. Recent Advances and Unsolved Problems of Grain Boundary Diffusion // Defect and Diffusion Forum 2011. V. 309–310. P. 1–8.
Дополнительные файлы






