The Electrical Resistivity, Magnetic, and Galvanomagnetic Properties of a Cast and Rapid Melt Quenched Mn3Al Heusler Alloy
- Authors: Marchenkov V.V.1,2, Irkhin V.Y.1, Semiannikova A.A.1, Korenistov P.S.1, Marchenkova E.B.1
-
Affiliations:
- Mikheev Institute of Metal Physics, Ural Branch, Russian Academy of Sciences
- Ural Federal University
- Issue: Vol 124, No 4 (2023)
- Pages: 339-345
- Section: ЭЛЕКТРИЧЕСКИЕ И МАГНИТНЫЕ СВОЙСТВА
- URL: https://bakhtiniada.ru/0015-3230/article/view/139386
- DOI: https://doi.org/10.31857/S0015323022601908
- EDN: https://elibrary.ru/VIIDBO
- ID: 139386
Cite item
Full Text
Abstract
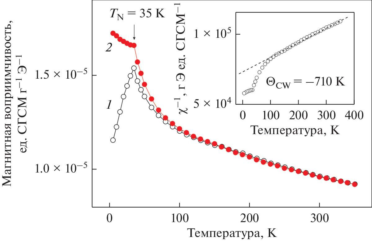
The electrical resistivity, magnetic, and galvanomagnetic properties of the cast and rapid melt quenched Mn3Al Heusler alloy have been studied. Rapid melt quenching was found to result in changing the microstructure of the Mn3Al alloy, which leads to substantial changes in its electronic transport and magnetic
properties. It was suggested that for the cast and rapid melt quenched Mn3Al alloy frustrated antiferromagnetic and almost compensated ferrimagnetic state could appear, respectively. It is shown that the preparation and treatment of the Mn3Al compound plays a substantial role in the formation of its electronic and magnetic
characteristics
About the authors
V. V. Marchenkov
Mikheev Institute of Metal Physics, Ural Branch, Russian Academy of Sciences; Ural Federal University
Email: march@imp.uran.ru
Ekaterinburg, 620077 Russia; Ekaterinburg, 620002 Russia
V. Yu. Irkhin
Mikheev Institute of Metal Physics, Ural Branch, Russian Academy of Sciences
Email: semiannikova@imp.uran.ru
Ekaterinburg, 620077 Russia
A. A. Semiannikova
Mikheev Institute of Metal Physics, Ural Branch, Russian Academy of Sciences
Email: semiannikova@imp.uran.ru
Ekaterinburg, 620077 Russia
P. S. Korenistov
Mikheev Institute of Metal Physics, Ural Branch, Russian Academy of Sciences
Email: semiannikova@imp.uran.ru
Ekaterinburg, 620077 Russia
E. B. Marchenkova
Mikheev Institute of Metal Physics, Ural Branch, Russian Academy of Sciences
Author for correspondence.
Email: semiannikova@imp.uran.ru
Ekaterinburg, 620077 Russia
References
- Heusler F. Uber magnetische Manganlegierungen German. Verh. Deutsch. Phys. Ges. 1903. V. 5. P. 219.
- Васильев А.Н., Бучельников В.Д., Такаги Т., Ховайло В.В., Эстрин Э.И. Ферромагнетики с памятью формы // УФН. 2003. V. 173. P. 577–608.
- Pushin V., Kuranova N., Marchenkova E., Pushin A. Design and Development of Ti–Ni, Ni–Mn–Ga and Cu–Al–Ni-Based Alloys with High and Low Temperature Shape Memory Effects // Mater. 2019. V. 12. P. 2616.
- Соколовский В.В., Мирошкина О.Н., Бучельников В.Д. Обзор современных теоретических методов исследования магнитокалорических материалов // ФММ. 2022. Т. 123. С. 344.
- Wang R.L., Yan J.B., Xu L.S., Marchenkov V.V., Chen S.S., Tang S.L., Yang C.P. Effect of Al doping on the martensitic transition and magnetic entropy change in Ni–Mn–Sn alloys // Sol. State Comm. 2011. V. 151. P. 1196.
- De Groot R.A., Mueller F.M., Mueller P.G., van Engen P.G., Bushow K.H.J. New class of materials—half-metallic ferromagnets // Phys. Rev. Lett. 1983. V. 50. P. 2024–2027.
- Katsnelson M.I., Irkhin V.Yu., Chioncel L., Lichtenstein A.I., De Groot R.A. Half-metallic ferromagnets: from band structure to many-body effects // Rev. Mod. Phys. 2008. V. 80(2). P. 315–378.
- Wang X.L. Proposal for a new class of materials: spin gapless semiconductors // Phys. Rev. Lett. 2008. V. 100. P. 156404.
- Wang X.T., Cheng Z.X., Wang J.L., Wang X.L., Liu G.D. Recent advances in the Heusler based spin-gapless semiconductors // J. Mater. Chem. C. 2016. V. 4. P. 7176.
- Manna K., Sun Y., Muechler L., Kübler J., Felser C. Heusler, Weyl and Berry // Nature Mater. 2018. V. 3. P. 244–256.
- Marchenkov V.V., Irkhin V.Y. Half-Metallic Ferromagnets, Spin Gapless Semiconductors, and Topological Semimetals Based on Heusler Alloys: Theory and Experiment // Phys. Met. Metallogr. 2021. V. 122. P. 1133–1157.
- Marchenkov V.V., Irkhin V.Yu., Semiannikova A.A. Unusual Kinetic Properties of Usual Heusler Alloys // J. Supercond. Nov. Magn. 2022. V. 35. P. 2153–2168.
- Chatterjee S., Chatterjee S., Giri S., Majumdar S. Transport properties of Heusler compounds and alloys // J. Phys.: Condens. Matter. 2022. V. 34. P. 013001.
- Gavrikov I., Seredina M., Zheleznyy M., Shchetinin I., Karpenkov D., Bogach A., Chatterjee R., Khovaylo V. Magnetic and transport properties of Mn2FeAl // J. Magn. Magn. Mater. 2019. V. 478. P. 55.
- Dash S., Lukoyanov A.V., Nancy, Mishra D., Mohammed Rasi U.P., Gangineni R.B., Vasundhara M., Patra A.K. Structural stability and magnetic properties of Mn2FeAl alloy with a β-Mn structure // J. Magn. Magn. Mater. 2020. V. 513. P. 167205.
- Irkhin V.Yu., Skryabin Yu.N. Two-band model and RVB-type states: Application to Kondo lattices, pyrochlores and Mn-based systems // Physica B. 2022. V. 633. P. 413780.
- Jamer M.E., Wang Y.J., Stephen G.M., McDonald I.J., Grutter A.J., Sterbinsky G.E., Arena D.A., Borchers J.A., Kirby B.J., Lewis L.H., Barbiellini B., Bansil A., Heiman D. Compensated Ferrimagnetism in the Zero-Moment Heusler Alloy Mn3Al // Phys. Rev. Appl. 2017. V. 7. P. 064036.
- Марченков В.В., Ирхин В.Ю., Перевозчикова Ю.А., Терентьев П.Б., Семянникова А.А., Марченкова Е.Б., Eisterer M. Кинетические свойства и полуметаллический магнетизм в сплавах Гейслера Mn2YAl // ЖЭТФ. 2019. Т. 155(6). С. 1083.
- Aryal A., Bakkar S., Samassekou H., Pandey S., Dubenko I., Stadler Sh., Ali N., Mazumdar D. Mn2FeSi: An antiferromagnetic inverse-Heusler alloy // J. Alloys Compd. 2020. V. 823. P. 153770.
- Takatsu H., Yoshizawa H., Yonezawa S., Maeno Y. Critical behavior of the metallic triangular-lattice Heisenberg antiferromagnet PdCrO2 // Phys. Rev. B. 2009. V. 79. P. 104424.
- Komleva E.V., Irkhin V.Yu., Solovyev I.V., Katsnelson M.I., Streltsov S.V. Unconventional magnetism and electronic state in the frustrated layered system PdCrO2 // Phys. Rev. B. 2020. V. 102. P. 174438.
- Kostenko M.G., Lukoyanov A.V. Magnetic properties and electronic structure of Mn–Al alloys in the β-Mn structure // J. Magn. Magn. Mater. 2022. V. 542. P. 168 600.
- Князев Ю.В., Лукоянов А.В., Кузьмин Ю.И., Даш Ш., Патра А.К., Васундхара М. Электронная структура и спектральные характеристики соединения Mn3Al // ФММ. 2021. Т. 122. С. 1026.
- Wollmann L., Chadov S., Kübler J., Felser C. Magnetism in cubic manganese-rich Heusler compounds // Phys. Rev. B. 2014. V. 90. P. 214420.
- Вонсовский С.В. Магнетизм. М.: Наука, 1971.
- Коуров Н.И., Пушин В.Г., Королев А.В., Марченков В.В., Марченкова Е.Б., Казанцев В.А., Weber H.W. Влияние интенсивной пластической деформации кручением на свойства и структуру сплавов Ni54Mn21Ga25 и Ni54Mn20Fe1Ga25 // ФТТ. 2011. Т. 53(1). С. 89–96.
Supplementary files







