The Effect of Milling with Combined Surfactants on the Magnetic Properties and Microstructure of Submicron Sm2Fe17N3 Powders
- Authors: Kolodkin D.A.1,2, Popov A.G.1,2, Gorbunova T.I.3
-
Affiliations:
- Mikheev Institute of Metal Physics, Ural Branch, Russian Academy of Sciences
- Yeltsin Ural Federal University, Institute of Natural Sciences and Mathematics
- Postovskii Institute of Organic Synthesis, Ural Branch, Russian Academy of Sciences
- Issue: Vol 124, No 3 (2023)
- Pages: 275-283
- Section: ЭЛЕКТРИЧЕСКИЕ И МАГНИТНЫЕ СВОЙСТВА
- URL: https://bakhtiniada.ru/0015-3230/article/view/139383
- DOI: https://doi.org/10.31857/S0015323022601659
- EDN: https://elibrary.ru/CMRUHR
- ID: 139383
Cite item
Full Text
Abstract
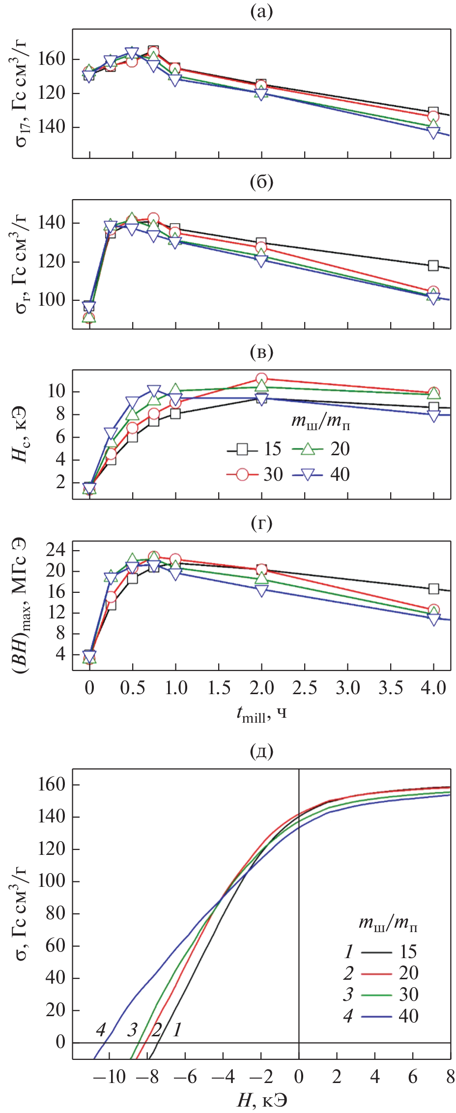
The results of the application of a combination of several surfactants in preparing submicron hard magnetic Sm2Fe17N3 powders by milling in a centrifugal mill are reported. Along with methyl caproate, to protect the powder against oxidation, the efficiency of siloxane has been studied. The application of the combined surfactants allowed us to increase both the (BH)max of the Sm2Fe17N3 powder to 23.6 MG Oe and its corrosion resistance. The effect of milling kinetics on the angular dependence of the coercive force Hc has been determined. Information on the primary mechanism of magnetization reversal of the powders has been
obtained.
Keywords
About the authors
D. A. Kolodkin
Mikheev Institute of Metal Physics, Ural Branch, Russian Academy of Sciences; Yeltsin Ural Federal University, Institute of Natural Sciences and Mathematics
Email: kolodkin@imp.uran.ru
Ekaterinburg, 620108 Russia; Ekaterinburg, 620002 Russia
A. G. Popov
Mikheev Institute of Metal Physics, Ural Branch, Russian Academy of Sciences; Yeltsin Ural Federal University, Institute of Natural Sciences and Mathematics
Email: kolodkin@imp.uran.ru
Ekaterinburg, 620108 Russia; Ekaterinburg, 620002 Russia
T. I. Gorbunova
Postovskii Institute of Organic Synthesis, Ural Branch, Russian Academy of Sciences
Author for correspondence.
Email: kolodkin@imp.uran.ru
Ekaterinburg, 620108 Russia
References
- Suzuki S., Miura T., Kawasaki M. Sm2Fe17Nx Bonded Magnets with High Performance // IEEE Trans. Magn. 1993. V. 29. P. 2815–2817.
- Makita K., Hirosawa S. Coercivity of Zn evaporation-coated Sm2Fe17Nx fine powder and its bonded magnets // J. Alloys Compd. 1997. V. 260. P. 236–241.
- Tokita M. Trends in advanced SPS spark plasma sintering systems and technology // J. Soc. Powder Technol. Jpn. 1993. V. 30. P. 790–804.
- Zhang D., Yue M., Zhang J. Structure and magnetic properties of Sm2Fel7Nx sintering magnets prepared by spark plasma sintering // J. Rare Earths. 2006. V. 24. P. 325–328.
- Saito T. Structures and magnetic properties of Sm–Fe–N bulk magnets produced by the spark plasma sintering method // J. Mater. Res. 2007. V. 22. P. 3130–3136.
- Prabhu D., Sepehri-Amin H., Mendis C.L., Ohkubo T., Hono K., Sugimoto S. Enhanced coercivity of spark plasma sintered Zn–bonded Sm–Fe–N magnets // Scripta Mater. 2012. V. 67. P. 153–156.
- Saito T. Production of Sm–Fe–N bulk magnets by spark plasma sintering method // JMMM. 2014. V. 369. P. 184–188.
- Matsuura M., Shiraiwa T., Tezuka N., Sugimoto S., Shoji T., Sakuma N., Haga K. High coercive Zn-bonded Sm–Fe–N magnets prepared using fine Zn particles with low oxygen content, JMMM. 2018. V. 452. P. 243–248.
- Machida K., Nakamoto A., Nakatani Y., Adachi G., Onodera A. New processing routes for the preparation of Sm2Fe17Mx (M–C and/or N) materials // J. Alloys Compd. 1995. V. 222. P. 18–22.
- Takagi K., Nakayama H., Ozaki K., Kobayashi K. Fabrication of High-performance Sm–Fe–N isotropic bulk magnets by a combination of High-pressure compaction and current sintering // JMMM. 2012. V. 324. P. 1337–1341.
- Nakayama H., Takagi K., Ozaki K., Kobayashi K. Correlation between microstructure and magnetic properties in Sm2Fe17N3 magnet prepared by pulsed current sintering // Mater. Trans. 2012. V. 53. P. 1962–1966.
- Takagi K., Nakayama H., Ozaki K. Microstructural behavior on particle surfaces and interfaces in Sm2Fe17N3 powder compacts during low-temperature sintering // JMMM. 2012. V. 324. P. 2336–2341.
- Soda R., Takagi K., Jinno M., Yamaguchi W., Ozaki K. // Anisotropic Sm2Fe17N3 sintered magnets without coercivity deterioration // AIP Adv. 2016. V. 6. 115108.
- Takagi K., Soda R., Jinno M., Yamaguchi W. Possibility of high-performance Sm2Fe17N3 sintered magnets by low-oxygen powder metallurgy process // JMMM. 2020. V. 506. 166811.
- Mukai T., Fujimoto T. Kerr microscopy observation of nitrogenated Sm2Fe17 intermetallic compounds // JMMM. 1992. V. 10. P. 165–173.
- Yamaguchi W., Soda R., Takagi K. Metal–coated Sm2Fe17N3 magnet powders with an oxide–free direct metal–metal interface // JMMM. 2020. V. 498. 166101.
- Hosokawa A., Yamaguchi W., Suzuki K., Takagi K. Influences of microstructure on macroscopic crystallinity and magnetic properties of Sm–Fe–N fine powder produced by jet-milling // J. Alloys Compd. 2021. V. 869. 159 288.
- Wendhausen P.A.P., Gebel B., Eckert D., Miiller K.-H. Effect of milling on the magnetic and microstructural properties of Sm2Fe17Nx permanent magnets // J. Appl. Phys. 1994. V. 75. P. 6018–6020.
- Kobayashi K., Skomski R., Coey J.M.D. Dependence of coercivity on particle size in Sm2Fe17N3 powders // J. Alloys Compd. 1995. V. 222. P. 1–7.
- Wang J.L., Li W.Z., Zhong X.P., Gao Y.H., Qin W.D., Tang N., Lin W.G., Zhang J.X., Zhao R.W., Yan Q.W., Yang F. Study on high performance Sm2Fe17Nx magnets // J. Alloys Compd. 1995. V. 222. P. 23–26.
- Hadjipanayis G., Neil D., Gabay A. Ultrafine Sm–Fe–N particles prepared by planetary ball milling // Epj Web Conf. 2013. V. 40. 06006.
- Matsuura M., Nishijima Y., Tezuka N., Sugimoto S., Shoji T., Sakuma N. Increase of energy products of Zn–bonded Sm–Fe–N magnets with low oxygen content // JMMM. 2018. V. 467. P. 64–68.
- Tajima S., Hattori T., Kato Y. Influence of milling conditions on magnetic properties of Sm2Fe17N3 particles // IEEE Trans. Magn. 1995. V. 31. P. 3701–3703.
- Izumi H., Machida K., Shiomi A., Iguchi M., Noguchi K., Adachi G. Preparation of Sm2Fe17Nx Powders and Their Bonded Magnets with High–Performance Permanent Magnetic Characteristics // Chem. Mater. 1997. V. 9. P. 2759–2767.
- Zhao L., Akdogan N.G., Hadjipanayis G.C. Hard magnetic Sm2Fe17N3 flakes nitrogenized at lower temperature // J. Alloys Compd. 2013. V. 554. P. 147–149.
- Ma X.B., Li L.Z., Liu S.Q., Hu B.Y., Han J.Z., Wang C.S., Du H.L., Yang Y.C., Yang J.B. Anisotropic Sm–Fe–N particles prepared by surfactant-assisted grinding method // J. Alloys Compd. 2014. V. 612. P. 110–113.
- Колодкин Д.А., Попов А.Г., Гавико В.С. Повышение коэрцитивной силы порошков Sm2Fe17N3 механическим измельчением с применением поверхностно–активных веществ // ФММ. 2021. V. 122. P. 588–599.
- Kolodkin D.A., Popov A.G., Protasov A.V., Gaviko V.S., Vasilenko D.Yu., Kavita S., Prabhu D.B., Gopalan R. Magnetic properties of Sm2+αFe17Nx powders prepared from bulk and strip–cast alloys // JMMM. 2021. V. 518. 167416.
- Popov A.G., Gaviko V.S., Shchegoleva N.N., Golovnia O.A., Gorbunova T.I., Hadjipanayis G.C. Effect of addition of esters of fatty acids on the microstructure and properties of sintered Nd–Fe–B magnets produced by PLP // JMMM. 2015. V. 386. P. 134–140.
- Witucki G.L. A Silane Primer: Chemistry and Applications of AIkoxy Silanes // J. Coat. Technol. 1993. V. 65. P. 57–60.
- Кондорский Е.И. О гистерезисе ферромагнетиков // ЖЭТФ. 1940. Т. 10. С. 420–440.
- Stoner E.C. Ferromagnetism: magnetization curves // Phys. Soc. Rep. Phys. 1950. V. 13. P. 83–183.
- Wohlfarth E.P. Hard magnetic materials // Adv. In Phys. 1959. V. 8. P. 87–224.
- Шур Я.С., Кандаурова Г.С., Оноприенко Л.Г. Об угловой зависимости коэрцитивной силы в магнитоодноосных ферромагнитных монокристаллах // ЖЭТФ. 1965. Т. 48. С. 442–444.
- Shtrikman S., Treves D. The coercive force and rotational hysteresis of elongated ferromagnetic particles // J. Phys. Rad. 1959. V. 20. P. 286–289.
Supplementary files








