Электронная структура и оптические свойства сплавов Гейслера Mn2 – xFe1 + xAl (x = –0.5, 0, 0.5, 1)
- Авторы: Шредер Е.И.1, Лукоянов А.В.1,2, Мухачев Р.Д.1, Филанович А.Н.1,2, Даш Ш.3,4, Патра А.К.3, Васундхара М.5
-
Учреждения:
- Институт физики металлов УрО РАН
- Уральский федеральный университет
- Central University of Rajasthan NH-8
- MLR Institute of Technology, Dundigal
- Polymers and Functional Materials Department, CSIR-Indian Institution of Chemical Technology
- Выпуск: Том 124, № 3 (2023)
- Страницы: 257-263
- Раздел: ЭЛЕКТРИЧЕСКИЕ И МАГНИТНЫЕ СВОЙСТВА
- URL: https://bakhtiniada.ru/0015-3230/article/view/139380
- DOI: https://doi.org/10.31857/S001532302260201X
- EDN: https://elibrary.ru/CNPMQN
- ID: 139380
Цитировать
Полный текст
Аннотация
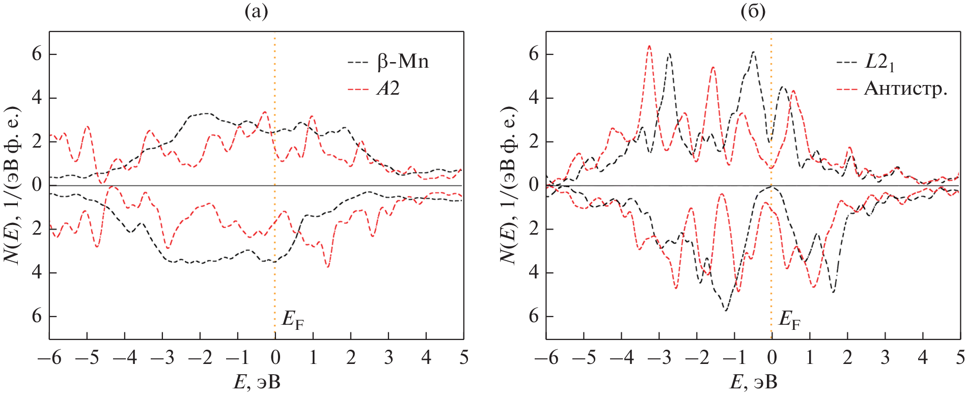
Представлены результаты расчетов электронной структуры, оптического спектра и экспериментального исследования оптических свойств сплавов Гейслера Mn2 – xFe1 + xAl (x = –0.5, 0, 0.5, 1). Обнаружено аномальное для металлических систем поведение оптической проводимости сплавов в ИК области спектра – отсутствие Друдевского роста и высокий уровень межзонного поглощения. Показано, что такое поведение определяется особенностями электронной структуры: уровень Ферми расположен в области высокой плотности состояний, формируемой d-состояниями Mn и Fe.
Ключевые слова
Об авторах
Е. И. Шредер
Институт физики металлов УрО РАН
Email: shreder@imp.uran.ru
Россия, 620108, Екатеринбург, ул. С. Ковалевской, 18
А. В. Лукоянов
Институт физики металлов УрО РАН; Уральский федеральный университет
Email: shreder@imp.uran.ru
Россия, 620108, Екатеринбург, ул. С. Ковалевской, 18; Россия, 620002, Екатеринбург, ул. Мира, 19
Р. Д. Мухачев
Институт физики металлов УрО РАН
Email: shreder@imp.uran.ru
Россия, 620108, Екатеринбург, ул. С. Ковалевской, 18
А. Н. Филанович
Институт физики металлов УрО РАН; Уральский федеральный университет
Email: shreder@imp.uran.ru
Россия, 620108, Екатеринбург, ул. С. Ковалевской, 18; Россия, 620002, Екатеринбург, ул. Мира, 19
Шубра Даш
Central University of Rajasthan NH-8; MLR Institute of Technology, Dundigal
Email: shreder@imp.uran.ru
India, Rajasthan, Bandarsindri 305817; India, Telangana, Hyderabad-500043
Аджит К. Патра
Central University of Rajasthan NH-8
Email: shreder@imp.uran.ru
India, Rajasthan, Bandarsindri 305817
М. Васундхара
Polymers and Functional Materials Department, CSIR-Indian Institution of Chemical Technology
Автор, ответственный за переписку.
Email: shreder@imp.uran.ru
India, Telangana, Hyderabad, Tarnaka-500007
Список литературы
- Dash Sh., Lukoyanov A.V., Nancy, Mishra D., Mohammed Rasi U.P., Gangineni R.B., Vasundhara M., Patra A.K. Structural stability and magnetic properties of Mn2FeAl alloy with a β-Mn structure // JMMM. 2020. V. 513. P. 167205.
- Khorwal A.K., Nancy, Dash Sh., Kumar A., Lukoyanov A.V., Shreder E.I., Bitla Yu., Vasundhara M., Patra A.K. Evidence for canonical spin glass behaviour in polycrystalline Mn1.5Fe1.5Al Heusler alloy // JMMM. 2022. V. 546. P. 168 752.
- Марченков В.В., Ирхин В.Ю., Перевозчикова Ю.А., Терентьев П.Б., Семянникова А.А., Марченкова Е.Б., Eisterer M. Кинетические свойства и полуметаллический магнетизм в сплавах Гейслера Mn2YAl // ЖЭТФ. 2019. Т. 155. Вып. 6. С. 1083–1090.
- Wollmann L., Chadov S., Kübler J., Felser C. Magnetism in cubic manganese-rich Heusler compounds // Phys. Rev. B. 2014. V. 90. P. 214420.
- Yang Z.J., Gao Q.H., Xiong H.N., Shao J.X., Wang X.W., Xu Z.J. Pressure-induced magnetic moment abnormal increase in Mn2FeAl and non-continuing decrease in Fe2MnAl via first principles // Sci. Rep. 2017. V. 7. P. 16 522.
- Luo H.Z., Zhang H.W., Zhu Z.Y., Ma L., Xu S.F., Wu G.H., Zhu X.X., Jiang C.B., Xu H.B. Half-metallic properties for the Mn2FeZ (Z = Al, Ga, Si, Ge, Sb) Heusler alloys: A first-principles study // J. App. Phys. 2008. V. 103. P. 083908.
- Gavrikov I., Seredina M., Zheleznyy M., Shchetinin I., Karpenkov D., Bogach A., Chatterjee R., Khovaylo V. Magnetic and transport properties of Mn2FeAl // JMMM. 2019. V. 478. № 1. P. 55–58.
- Jum’h I., Sâad essaoud S., Baaziz H., Charifi Z., Telfah A. Electronic and Magnetic Structure and Elastic and Thermal Properties of Mn2-Based Full Heusler Alloys // J. Supercond. Novel Magn. 2019. V. 32. P. 3915–3926.
- Li H., Hayashi K., Nagashima Y., Yoshioka S., Dong J., Li J-F., Miyazaki Y. Effects of Disorder on the Electronic Structure and Thermoelectric Properties of an Inverse Full–Heusler Mn2CoAl Alloy // Chem. Mater. 2021. V. 33. P. 2543–2547.
- Hayashi K., Li H., Eguchi M., Nagashima Y., Miyazaki Y. Magnetic Full-Heusler Compounds for Thermoelectric Applications / Magnetic Materials and Magnetic Levitation (ed. D.R. Sahu and V.N. Stavrou. https://doi.org/10.5772/intechopen.92867
- Hayashi K., Eguchi M., Miyazaki Y. Structural and Thermoelectric Properties of Ternary Full–Heusler Alloys //J. Electronic Materials. 2017. V. 46. P. 2710.
- Webster P.J. Heusler Alloys // Contemporary Physics. 1969. V. 10. P. 559–577.
- Шредер Е.И., Свяжин А. Д., Фомина К. А. Оптические свойства сплавов Гейслера Fe2NiAl, Fe2MnAl // ФММ 2012. Т. 113. № 2. С. 155–161.
- Шредер E.И., Maхнев A.A., Лукоянов A.В., Сташкова Л.А., Кузьмин Ю.И., Семянникова А.А., Марченков В.В. Оптические свойства сплава Гейслера Mn2FeAl с β-Mn структурой // ФММ. 2021. Т. 122. С. 791–795.
- Шредер Е.И., Лукоянов А.В., Махнев А.А., Кузьмин Ю.И., Даш Ш., Патра А.К., Васундхара М. Электронная структура и оптические свойства сплава Гейслера Mn1.5Fe1.5Al // ЖЭТФ. 2021. Т. 160. Вып. 4(10). С. 546–552.
- Giannozzi P., Andreussi O., Brumme T., Bunau O., Nardelli M.B., Calandra M., Car R., Cavazzoni C., Ceresoli D., Cococcioni M., Colonna N., Carnimeo I., Dal Corso A., de Gironcoli S., Delugas P., DiStasio Jr. R.A., Ferretti A., Floris A., Fratesi G., Fugallo G., Gebauer R., Gerstmann U., Giustino F., Gorni T., Jia J., Kawamura M., Ko H.-Y., Kokalj A., Küçükbenli E., Lazzeri M., Marsili M., Marzari N., Mauri F., Nguyen N.L., Nguyen H.-V., Otero-de-la-Roza A., Paulatto L., Poncé S., Rocca D., Sabatini R., Santra B., Schlipf M., Seitsonen A.P, Smogunov A., Timrov I., Thonhauser T., Umari P., Vast N., Wu X., Baroni S. Advanced capabilities for materials modelling with Quantum ESPRESSO // J. Phys.: Condens. Matter. 2017. V. 29. P. 465901.
- Соколов А.В. Оптические свойства металлов. М.: ГИФМЛ, 1961. 464 с.
Дополнительные файлы








