The Thermal Behavior of Two Magnetic States in Smart Anticorrosion Coatings

封面

如何引用文章

全文:

详细

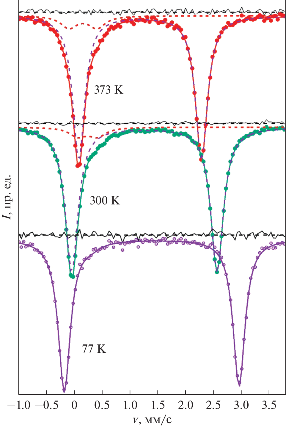
Compounds of nitrilotrimethylenephosphonic acid (NTP) with transition metals are often used as corrosion inhibitors for steels. An FeNTP anticorrosion coating is formed on the steel surface. Doping with certain metals (for example, Zn or Cd) greatly improves anticorrosion properties. Despite the fact that FeNTP, FeZnNTP, and FeCdNTP are completely isostructural compounds, substantial changes in their properties occur upon doping: (i) according to the X-ray electron spectra, Fe atoms in FeNTP are in a high-spin (HS) state, while FeZnNTP and FeCdNTP contain Fe atoms with zero spin (LS); (ii) the difference in the quadrupole splitting of the Mössbauer spectra is specific to the ratio between the HS and LS states. Quan-tum mechanical calculations of the FeNTP system showed two solutions with the properties coincideing with the experimentally found LS and HS states for these systems. In this study, we tested the hypothesis about the coexistence of two states. To study possible thermal redistribution between two magnetic states, the Möss-bauer spectra of FeNTP, FeZnNTP, and FeCdNTP were recorded at various temperatures (77, 300, and 373 K). The Mössbauer data indicate that, with an increase in the temperature, a second component occurs in FeNTP (the ground state is HS; LS occurs already at room temperature and its fraction increases with an increase in the temperature) and FeZnNTP (the ground state is LS; HS occurs at 373 K). At all investigated temperatures, FeCdNTP has only one LS component.

作者简介

F. Chausov

Udmurt Federal Research Center, Ural Branch, Russian Academy of Sciences

Email: lyuka17@mail.ru
Izhevsk, 426067 Russia

A. Ul’yanov

Udmurt Federal Research Center, Ural Branch, Russian Academy of Sciences

Email: lyuka17@mail.ru
Izhevsk, 426067 Russia

I. Kazantseva

Udmurt Federal Research Center, Ural Branch, Russian Academy of Sciences

Email: lyuka17@mail.ru
Izhevsk, 426067 Russia

L. Dobysheva

Udmurt Federal Research Center, Ural Branch, Russian Academy of Sciences

编辑信件的主要联系方式.
Email: lyuka17@mail.ru
Izhevsk, 426067 Russia

参考

  1. Kuznetsov Yu.I., Mercer A.D., Thomas J.G.N. Organic Inhibitors of Corrosion of Metals // Springer. N.Y. 1996. 284 p. https://doi.org/10.1007/978-1-4899-1956-4
  2. Demadis K.D., Katarachia S.D., Koutmos M. Crystal growth and characterization of zinc-(amino-tris-(methylenephosphonate)) organic-inorganic hybrid networks and their inhibiting effect on metallic corrosion // Inorg. Chem. Commun. 2005. V. 8. P. 254–258. https://doi.org/10.1016/j.inoche.2004.12.019
  3. Сомов Н.В., Чаусов Ф.Ф. Структура ингибитора солеотложений и коррозии – тридекагидрата нитрилотриметилентрифосфонатоцинката тетранатрия // Кристаллография. 2014. Т. 59. С. 71–75. https://doi.org/10.7868/S0023476113050123
  4. Shchukin D.G. Container-based multifunctional self-healing polymer coatings // Polym. Chem. 2013. V. 4. P. 4871–4877. https://doi.org/10.1039/c3py00082f
  5. Zhang F., Ju P., Pan M., Zhang D., Huang Y., Li G., Li X. Self-healing mechanisms in smart protective coatings: A review // Corros. Sci. 2018. V. 144. P. 74–88. https://doi.org/10.1016/j.corsci.2018.08.005
  6. Кузнецов Ю.И. Современное состояние теории ингибирования коррозии металлов // Защита металлов. 2002. Т. 38. С. 122–131.
  7. Кузнецов Ю.И. Физико-химические аспекты ингибирования коррозии металлов в водных растворах // Успехи химии. 2004. Т. 73. P. 79–93. https://doi.org/10.1070/RC2004v073n01ABEH000864
  8. Сомов Н.В., Чаусов Ф.Ф., Закирова Р.М., Шумилова М.А., Александров В.А., Петров В.Г. Синтез, структура и свойства нитрило-трис(метиленфосфонато)-триакважелеза(II) {Fe[μ-NH(CH2PO3H)3](H2O)3} – ингредиента защитных противокоррозионных покрытий на поверхности стали // Кристаллография. 2015. Т. 60. С. 915–921. https://doi.org/10.7868/S0023476115060338
  9. Чаусов Ф.Ф., Сомов Н.В., Закирова Р.М., Алалыкин А.А., Решетников С.М., Петров В.Г., Александров В.А., Шумилова М.А. Линейные органическо-неорганические гетерометаллические сополимеры [(Fe, Zn)(H2O)3{NH(CH2PO3H)3}]n и [(Fe,Cd)(H2O)3{NH(CH2PO3H)3}]n: недостающее звено механизма ингибирования локальной коррозии стали фосфонатами // Известия РАН, Сер. Физическая. 2017. Т. 81. С. 394–396. https://doi.org/10.7868/S0367676517030085
  10. Chausov F.F., Kazantseva I.S., Reshetnikov S.M., Lomova N.V., Maratkanova A.N., Somov N.V. Zinc and Cadmium Nitrilotris(methylenephosphonate)s: A comparative study of different coordination structures for corrosion inhibition of steels in neutral aqueous media // ChemistrySelect. 2020. V. 5. P. 13711–13719. https://doi.org/10.1002/slct.202003255
  11. Chausov F.F., Lomova N.V., Dobysheva L.V., Somov N.V., Ul’yanov A.L., Maratkanova A.N., Kholzakov A.V., Kazantseva I.S. Linear organic/inorganic iron(II) coordination polymer based on Nitrilo-tris(Methylenephosphonic acid): Spin crossover induced by Cd doping // J. Solid State Chem. 2020. V. 286. P. 121324. https://doi.org/10.1016/j.jssc.2020.121324
  12. Dobysheva L.V., Chausov F.F., Lomova N.V. Electronic structure and chemical bonding in smart anti-corrosion coatings // Mater. Today Comm. 2021. V. 29. P. 102 892. https://doi.org/10.1016/j.mtcomm.2021.102892
  13. König E. Nature and dynamics of the spin-state interconversion in metal complexes // Complex Chemistry. Structure and Bonding. 1991. V. 76. P. 51–152. Springer, Berlin, Heidelberg. 1991. https://doi.org/10.1007/3-540-53499-7_2

补充文件

附件文件
动作
1. JATS XML
2.

下载 (549KB)
3.

下载 (307KB)
4.

下载 (314KB)
5.

下载 (91KB)
6.

下载 (66KB)
7.

下载 (60KB)


Согласие на обработку персональных данных с помощью сервиса «Яндекс.Метрика»

1. Я (далее – «Пользователь» или «Субъект персональных данных»), осуществляя использование сайта https://journals.rcsi.science/ (далее – «Сайт»), подтверждая свою полную дееспособность даю согласие на обработку персональных данных с использованием средств автоматизации Оператору - федеральному государственному бюджетному учреждению «Российский центр научной информации» (РЦНИ), далее – «Оператор», расположенному по адресу: 119991, г. Москва, Ленинский просп., д.32А, со следующими условиями.

2. Категории обрабатываемых данных: файлы «cookies» (куки-файлы). Файлы «cookie» – это небольшой текстовый файл, который веб-сервер может хранить в браузере Пользователя. Данные файлы веб-сервер загружает на устройство Пользователя при посещении им Сайта. При каждом следующем посещении Пользователем Сайта «cookie» файлы отправляются на Сайт Оператора. Данные файлы позволяют Сайту распознавать устройство Пользователя. Содержимое такого файла может как относиться, так и не относиться к персональным данным, в зависимости от того, содержит ли такой файл персональные данные или содержит обезличенные технические данные.

3. Цель обработки персональных данных: анализ пользовательской активности с помощью сервиса «Яндекс.Метрика».

4. Категории субъектов персональных данных: все Пользователи Сайта, которые дали согласие на обработку файлов «cookie».

5. Способы обработки: сбор, запись, систематизация, накопление, хранение, уточнение (обновление, изменение), извлечение, использование, передача (доступ, предоставление), блокирование, удаление, уничтожение персональных данных.

6. Срок обработки и хранения: до получения от Субъекта персональных данных требования о прекращении обработки/отзыва согласия.

7. Способ отзыва: заявление об отзыве в письменном виде путём его направления на адрес электронной почты Оператора: info@rcsi.science или путем письменного обращения по юридическому адресу: 119991, г. Москва, Ленинский просп., д.32А

8. Субъект персональных данных вправе запретить своему оборудованию прием этих данных или ограничить прием этих данных. При отказе от получения таких данных или при ограничении приема данных некоторые функции Сайта могут работать некорректно. Субъект персональных данных обязуется сам настроить свое оборудование таким способом, чтобы оно обеспечивало адекватный его желаниям режим работы и уровень защиты данных файлов «cookie», Оператор не предоставляет технологических и правовых консультаций на темы подобного характера.

9. Порядок уничтожения персональных данных при достижении цели их обработки или при наступлении иных законных оснований определяется Оператором в соответствии с законодательством Российской Федерации.

10. Я согласен/согласна квалифицировать в качестве своей простой электронной подписи под настоящим Согласием и под Политикой обработки персональных данных выполнение мною следующего действия на сайте: https://journals.rcsi.science/ нажатие мною на интерфейсе с текстом: «Сайт использует сервис «Яндекс.Метрика» (который использует файлы «cookie») на элемент с текстом «Принять и продолжить».