The Features of the Flexomagnetoelectric Effect in an External Magnetic Field
- Authors: Vakhitov R.M.1, Solonetskii R.V.1, Nizyamova A.R.1
-
Affiliations:
- Ufa University of Science and Technology
- Issue: Vol 124, No 1 (2023)
- Pages: 10-16
- Section: ЭЛЕКТРИЧЕСКИЕ И МАГНИТНЫЕ СВОЙСТВА
- URL: https://bakhtiniada.ru/0015-3230/article/view/139324
- DOI: https://doi.org/10.31857/S0015323022601350
- EDN: https://elibrary.ru/KQLORM
- ID: 139324
Cite item
Full Text
Abstract
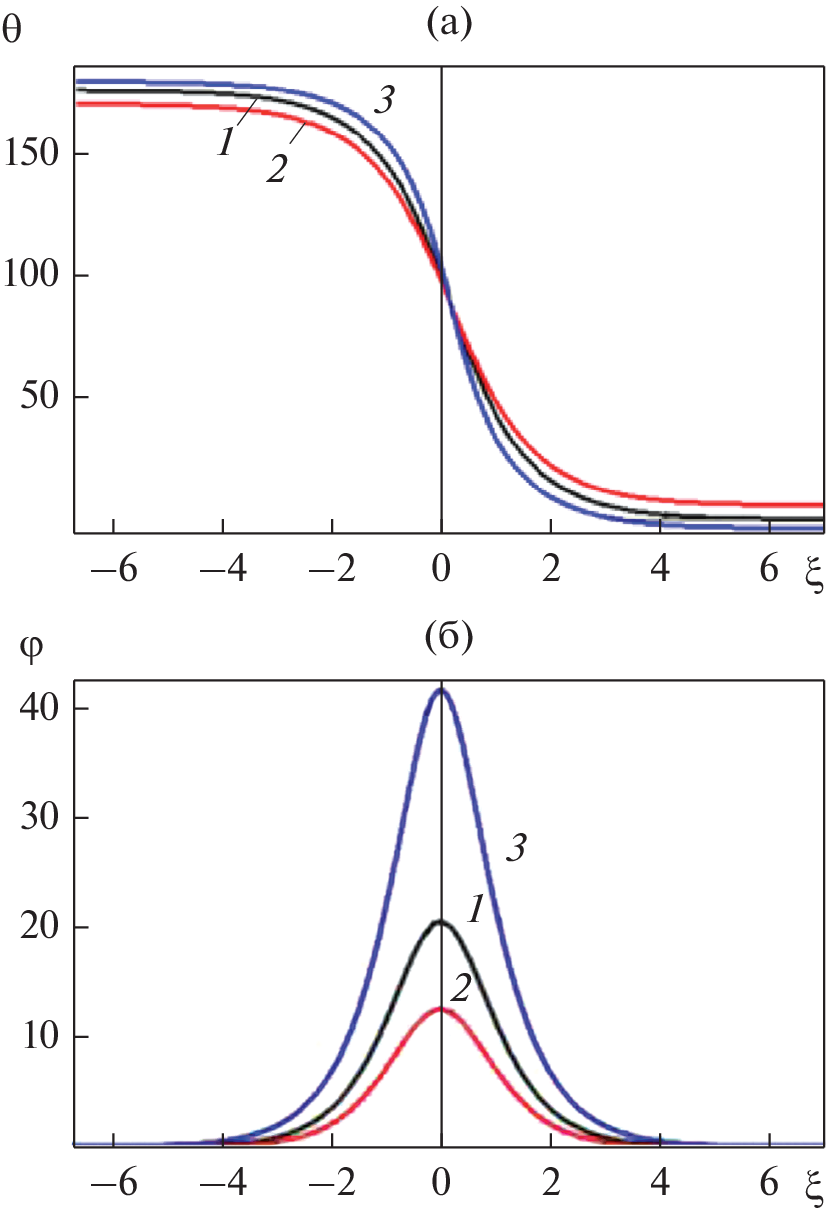
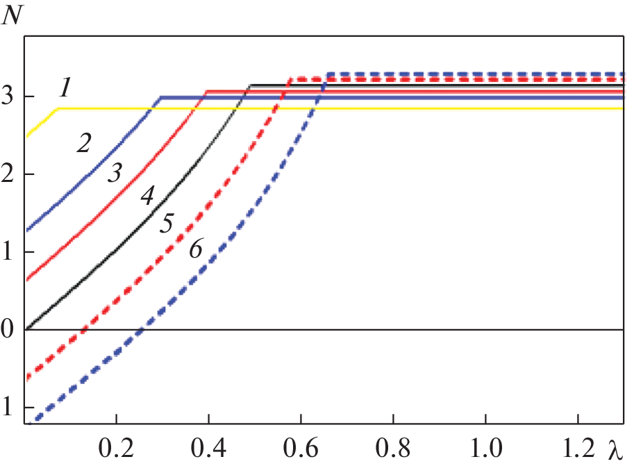
The effect of a magnetic field on the behavior of 180-degree domain walls in a uniaxial ferromag-netic film with an inhomogeneous magnetoelectric interaction has been studied. It has been shown that, depending on the magnitude and direction of the field, it is possible to enhance or weaken the flexomagne-toelectric effect in the sample. In addition, it was found that in the reverse field the switching of the interac-tion between the electric field source and the domain wall from attraction to repulsion is possible.
About the authors
R. M. Vakhitov
Ufa University of Science and Technology
Email: vakhitovrm@yahoo.com
Ufa, 450076 Russia
R. V. Solonetskii
Ufa University of Science and Technology
Email: vakhitovrm@yahoo.com
Ufa, 450076 Russia
A. R. Nizyamova
Ufa University of Science and Technology
Author for correspondence.
Email: vakhitovrm@yahoo.com
Ufa, 450076 Russia
References
- Пятаков А.П., Звездин А.К. Магнитоэлектрические материалы и мультиферроики // УФН. 2012. Т. 182. № 6. С. 593–620.
- Spaldin N.A., Ramesh R. Advances in magnetoelectric multiferroics // Nature Mater. 2019. V. 18. P. 203–212.
- Кричевцов Б.Б., Павлов В.В., Писарев Р.В. Линейное воздействие электрического поля на процессы намагничивания в пленках ферритов-гранатов// Письма в ЖЭТФ. 1989. Т. 31. № 7. С. 77–88.
- Логгинов А.С., Мешков Г.А., Николаев А.В., Пятаков А.П. Магнитоэлектрическое управление доменными границами в пленке феррита-граната // Письма в ЖЭТФ. 2007. Т. 86. № 2. С. 124–127.
- Барьяхтар В.Г., Львов В.А., Яблонский Д.А. Теория неднородного магнитоэлектрического эффекта // Письма в ЖЭТФ. 1983. Т. 37. № 12. С. 565–567.
- Meshkov G.A., Pyatakov A.P., Belanovsky A.D., Zvezdin K.A., Logginov A.S. Writing Vortex Memory Bits Using Electric Field // J. Magn. Soc. Jpn. 2012. V. 36. P. 45–48.
- Вахитов Р.М., Харисов А.Т., Николаев Ю.Е. Влияние электрического поля на структуру доменных границ в магнетиках с флексомагнитоэлектрическим эффектом // ДАН. Физика. 2014. Т. 455. № 2. С. 150–152.
- Борич М.А., Танкеев А.П., Смагин В.В. Структура и динамические свойства скрученной магнитной доменной границы в электрическом поле // ФТТ. 2016. Т. 58. № 1. С. 63–72.
- Борич М.А., Танкеев А.П., Смагин В.В. Микромагнитная структура доменной границы с блоховскими линиями в электрическом поле // ФТТ. 2016. Т. 58. № 7. С. 1329–1337.
- Вахитов Р.М., Исхакова Р.Р., Юмагузин А.Р. Магнитные фазы и неоднородные микромагнитные структуры в феррит-гранатовой пленке с ориентацией (210) // ФТТ. 2018. Т. 60. № 5. С. 923–932.
- Pyatakov P., Belotelova V.I., Kulikova D.P., Khokhlova N.E., Pyatakova Z.A. Magnetoelectricity in topological magnetic textures // J. Magn. Magn. Mater. 2017. V. 440. P. 60–62.
- Кабыченков А.Ф., Лисовский Ф.В., Мансветова Е.Г. Магнитоэлектрический эффект в пленках гранатов с наведенной магнитной анизотропией в неоднородном электрическом поле // Письма в ЖЭТФ. 2013. Т. 9. № 5. С. 304–308.
- Арзамасцева Г.В., Балбашов А.М., Лисовский Ф.В., Мансветова Е.Г., Темирязев A.Г., Темирязева М.П. Свойства обладающих магнитоэлектрическим эффектом эпитаксиальных пленок ферритов-гранатов с (210)-ориентацией // ЖЭТФ. 2015. Т. 147. № 4. С. 793–810.
- Veshchunov I.S., Mironov S.V., Magrini W., Stolyarov V.S., Rossolenko A.N., Skidanov V.A., Trebbia J.B., Buzdin A.I., Tamarat P., Lounis B. Direct Evidence of Flexomagnetoelectric Effect Revealed by Single-Molecule Spectroscopy// Phys. Rev. Lett. 2015. V. 115. P. 027 601(5).
- Пятаков А.П., Сергеев А.С., Николаева Е.П., Косых Т.Б., Николаев А.В., Звездин А.К. Микромагнетизм и топологические дефекты в магнитоэлектрических средах // УФН. 2015. Т. 185. № 10. С. 1077–1088.
- Сергеев А.С., Сечин Д.А., Павленко О.В., Николаева Е.П., Николаев А.В., Косых Т.Б., Пятаков А.П. Влияние магнитного поля на микромагнитную структуру и электростатические свойства доменных границ // Изв. РАН. Сер. физическая. 2013. Т. 77. С. 1523–1526.
- Куликова Д.П., Пятаков А.П., Николаева Е.П., Сергеев А.С., Косых Т.Б., Пятакова З.А., Николаев А.В., Звездин А.К. Зарождение цилиндрических магнитных доменов в пленках ферритов гранатов с помощью электрического зонда // ЖЭТФ. 2016. Т. 104. С. 196–200.
- Sechin D.A., Nikolaeva E.P., Pyatakov A.P., Nikolaev A.B., Kosykh T.B. The Influence of the Magnetic Field on Electrically Induced Domain Wall Motion // Solid State Phenomena. 2015. V. 233–234. P. 443–446.
- Vakhitov R.M., Solonetsky R.V., Gurjanova V.R., Nizyamova A.R., Sechin D.A., Gareev T.T., Pyatakov A.P. Magnetic-field tuning of domain-wall multiferroicity // Phys. Rev. 2021. B 104. P. 144407(1–5).
- Магадеев Е.Б., Вахитов Р.М. Топология уединенных магнитных неоднородностей в тонкой ферромагнитной пленке // ТМФ. 2012. Т. 171. № 3. С. 511–518.
- Вахитов Р.М., Гареева З.В., Солонецкий Р.В., Мажитова Ф.А. Микромагнитные структуры, индуцированные неоднородным электрическим полем, в магнитодноосных пленках с флексомагнитоэлектрическим эффектом // ФТТ. 2019. Т.61. № 6. С. 1120–112.
- Малоземов А., Слонзуски Дж. Доменные стенки в материалах с цилиндрическими магнитными доменами. Мир, 1982. С. 382.
- Dzyaloshinskii I.E. Magnetoelectricity in ferromagnets // Europhys. Lett. 2008.V. 83. № 6. P. 67001(1–2).
- Плавский В.В., Шамсутдинов М.А., Филиппов Б.Н. Cтруктура и ориентация доменных границ в (111)-пластинах кубических ферромагнетиков // ФММ. 1999. Т. 88. № 3. С. 22–29.
- Maksutova F.A, Solonetskiy R.V., Vakhitov R.M., Pyatakov A.P. The electric-field–induced “zero-degree domain walls” in ferromagnets // Europhys. Lett. 2020. V. 129. P. 27004(1–5).
- Khodenkov H.E., Kudelkin N.N., Randoskin V.V. The Break-Down of the 360° Bloch Domain Wall in Bubble Magnetic Films // Phys. Status Solidi A. 1984. V. 84. K13.
Supplementary files









