Высокочастотный магнитоимпеданс в (CoFeNi)BSi и (CoFeCrMo)BSi аморфных микропроводах в стеклянной оболочке вблизи температуры Кюри
- Авторы: Алам Д.1, Зедан А.Х.1, Неъматов М.Г.2, Юданов Н.А.1, Курочка А.С.1, Нуриев А.В.1, Панина Л.В.1,3, Костишин В.Г.1
-
Учреждения:
- Национальный исследовательский технологический университет “МИСиС”
- Институт теоретической и прикладной электродинамики Российской академии наук
- Балтийский федеральный университет им. Иммануила Канта
- Выпуск: Том 124, № 1 (2023)
- Страницы: 3-9
- Раздел: ЭЛЕКТРИЧЕСКИЕ И МАГНИТНЫЕ СВОЙСТВА
- URL: https://bakhtiniada.ru/0015-3230/article/view/139323
- DOI: https://doi.org/10.31857/S0015323022600873
- EDN: https://elibrary.ru/KOMAUL
- ID: 139323
Цитировать
Полный текст
Аннотация
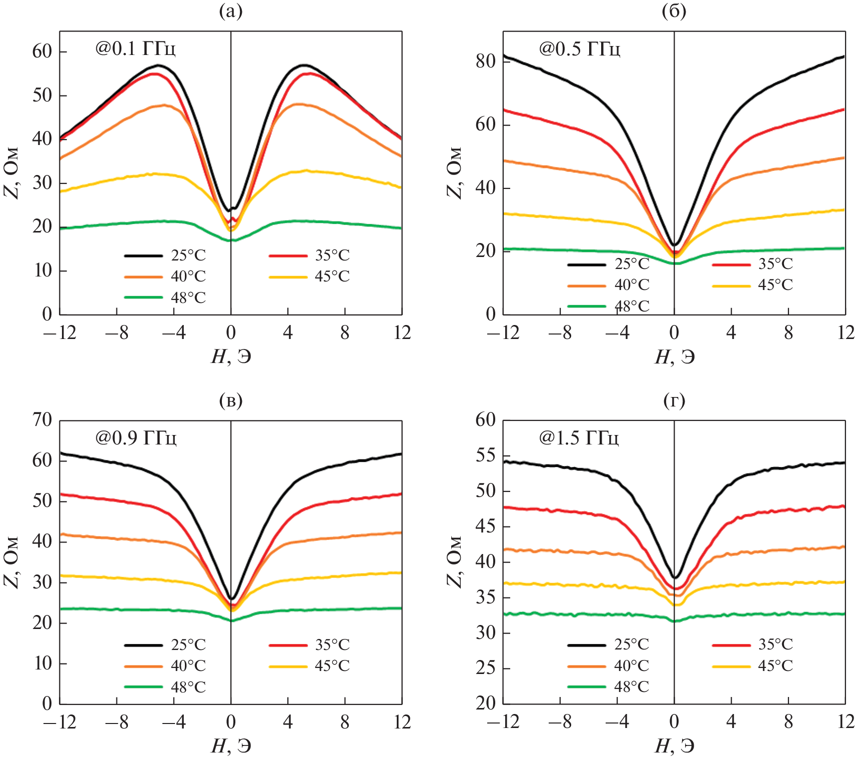
Проведено исследование температурного поведения высокочастотного магнитоимпеданса (МИ) в аморфных микропроводах в стеклянной оболочке вплоть до температуры Кюри ТС. Использованы образцы из сплавов двух составов Co27.4Fe5B12.26Si12.26Ni43.08 (ТС ~ 48°С) и Co64.82Fe3.9B10.2Si12Cr9Mo0.08 (ТС ~ 61°С) с разным знаком константы магнитострикции \({{\lambda }_{s}}\) и с различным типом магнитной анизотропии. Для первого сплава \({{\lambda }_{s}} < 0,\) что приводит к циркулярной анизотропии, для второго \({{\lambda }_{s}} > 0\) и формируется анизотропия типа “легкая ось” вдоль оси провода. В микропроводах с анизотропией типа “легкая ось” значительное уменьшение импеданса с температурой на повышенных частотах наблюдается вне зависимости от приложения магнитного поля, тогда как в проводах с циркулярной анизотропией изменение импеданса более значительно в присутствии внешнего поля. В этом случае изменение импеданса при повышении температуры от комнатной до ТС может достигать 200–300% в области частот 0.5–0.9 ГГц и магнитном поле ~10 Э. Полученные результаты могут представлять интерес для разработки миниатюрных температурных сенсоров.
Об авторах
Дж. Алам
Национальный исследовательский технологический университет “МИСиС”
Email: drlpanina@gmail.com
Россия, 119991, Москва, Ленинский просп., 4
А. Х. Х. Зедан
Национальный исследовательский технологический университет “МИСиС”
Email: drlpanina@gmail.com
Россия, 119991, Москва, Ленинский просп., 4
М. Г. Неъматов
Институт теоретической и прикладной электродинамики Российской академии наук
Email: drlpanina@gmail.com
Россия, 125412, Москва, ул. Ижорская, 13
Н. А. Юданов
Национальный исследовательский технологический университет “МИСиС”
Email: drlpanina@gmail.com
Россия, 119991, Москва, Ленинский просп., 4
А. С. Курочка
Национальный исследовательский технологический университет “МИСиС”
Email: drlpanina@gmail.com
Россия, 119991, Москва, Ленинский просп., 4
А. В. Нуриев
Национальный исследовательский технологический университет “МИСиС”
Email: drlpanina@gmail.com
Россия, 119991, Москва, Ленинский просп., 4
Л. В. Панина
Национальный исследовательский технологический университет “МИСиС”; Балтийский федеральный университет им. Иммануила Канта
Email: drlpanina@gmail.com
Россия, 119991, Москва, Ленинский просп., 4; Россия, 236016, Калининград, ул. А. Невского, 14
В. Г. Костишин
Национальный исследовательский технологический университет “МИСиС”
Автор, ответственный за переписку.
Email: drlpanina@gmail.com
Россия, 119991, Москва, Ленинский просп., 4
Список литературы
- Derevyanko M.S., Bukreev D.A., Moiseev A.A., Kurlya-ndskaya G.V., Semirov A.V. Effect of heat treatment on the magnetoimpedance of soft magnetic Co68.5Fe4Si15B12.5 amorphous ribbons // Phys. Met. Metal. 2020. V. 121. P. 28–31.
- Zhukov A., Ipatov M., Corte-Leon P., Gonzalez-Legarreta L., Churyukanova M., Blanco J.M., Gonzalez J., Taskaev S., Hernando B., Zhukova V. Giant magnetoimpedance in rapidly quenched materials // J. Alloy Comp. 2020. V. 814. № 152225.
- Курляндская Г.В., Бебенин Н.Г., Васьковский В.О. Гигантский магнитный импеданс проволок с тонким магнитным покрытием // ФММ. 2011. Т. 111. С. 136–158.
- Kraus L., Fraita Z., Pirotab K.R., Chiriac H. Giant magnetoimpedance in glass-covered amorphous microwires // J. Magn. Magn. Mater. 2003. V. 254–255. P. 399–403.
- Julie Nabias, Aktham Asfour, Jean-Paul Yonnet. Temperature Dependence of Giant Magnetoimpedance in Amorphous Microwires for Sensor Application // IEEE Trans. Magn. 2017. V. 53. № 4001005.
- Malátek M., Ripka P., Kraus L. Temperature offset drift of GMI sensors // Sens. Actuators A Phys. 2008. V. 147. P. 415–418.
- Varga R., Klein P., Sabol R., Kammouni R.E., Vazquez M. Properties and applications for magnetic field, temperature, and stress sensing // Springer Series in Mater. Sci. 2017. P. 252, 169–212.
- Zhukova V., Blanco J.M., Ipatov M., Zhukov A., García C., Gonzalez J., Varga R., Torcunov A. Development of thin microwires with low Curie temperature for temperature sensors applications // Sens. Actuators B Chem. 2007. V. 126. P. 318–323.
- Makhnovskiy D.P., Panina L.V., Mapps D.J. Field-dependent surface impedance tensor in amorphous wires with two types of magnetic anisotropy: helical and circumferential // Phys. Rev. B. 2001. V. 63. № 144424.
- Panina L.V., Dzhumazoda A., Evstigneeva S.A., Adam A.M., Morchenko A.T., Yudanov N.A., Kostishyn V.G. Temperature effects on magnetization processes and magnetoimpedance in low magnetostrictive amorphous microwires // J. Magn. Magn. Mater. 2018. V. 459. P. 147–153.
- Chiriac H., Marinescu C.S., Óvári T.-A. Temperature dependence of the magneto-impedance effect // J. Magn. Magn. Mater. 1999. V. 196–197. P. 162–163.
- Semirov A.V., Derevyanko M.S., Bukreev D.A., Moiseev A.A., Kurlyandskaya G.V. Impedance and magnetic properties of CoFeCrSiB amorphous ribbons near the Curie point // Tech. Phys. 2013. V. 58. P. 774–777.
- Kurniawan M., Roy R.K., Panda A.K., Greve D.W., Ohodnicki P., Mchenry M.E. Temperature-dependent giant magnetoimpedance effect in amorphous soft magnets // J. Electron. Mat. 2014. V. 43. P. 4576–4581.
- Bukreev D.A., Moiseev A.A., Derevyanko M.S., Semirov A.V. High-frequency electric properties of amorphous soft magnetic cobalt-based alloys in the region of transition to the paramagnetic state // Russian Physics Journal. 2015. V. 58. P.141–145.
- Giselher H. Modern soft magnets: Amorphous and nanocrystalline materials // Acta Materialia. 2013. V. 61. P. 718–734.
- Partha Sarkar, A. Basu Mallick, Roy R.K., Panda A.K., Mitra A. Structural and giant magneto-impedance properties of Cr-incorporated Co–Fe–Si–B amorphous microwires // J. Magn. Magn. Mater. 2012. V. 324. P. 1551–1556.
- Stepanova E.A., Volchkov S.O., Lukshina V.A., Khudyakova D.M., Larrañaga A., Neznakhin D.S. Magnetic and magnetoimpedance properties of rapidly quenched ribbons of modified alloys based on FINEMET // J. Phys.: Conf. Ser. 2019.V. 1389. № 012123.
- Chiriac H., Óvári T.A. Amorphous glass-covered magnetic wires: preparation, properties, applications // Prog. Mater. Sci. 1996. V. 40. P. 333–407.
- Duranka P., Ziman J., Onufer J., and Kardoš S. Magnetoelastic Anisotropy in Glass-Coated Microwires Studied using SAMR Method // ACTA Physica Polonica A. 2020. V. 137. № 5.
- Zhao Y., Wang Y., Estevez D., Qin F., Wang H., Zheng X., Makhnovskiy D., Peng H. Novel broadband measurement technique on PCB cells for the field- and stress-dependent impedance in ferromagnetic wires // Meas. Sci. Technol. 2020. V. 31. № 025901.
- Callen H.B., Callen E. The present status of the temperature dependence of magnetocrystalline anisotropy and the l(l + 1)/2 power law // J. Phys. Chem. Solids. 1966. V. 27. P. 1271–1285.
- O’Handley R.C. Magnetostriction of transition-metal-metalloid glasses: Temperature dependence // Phys. Rev. B. 1978. V. 18. P. 930–938.
- Chen G., Yang X.L., Zeng L., Yang J.X., Gong F.F., Yang D.P., Wang Z.C. High-temperature giant magnetoimpedance in Fe-based nanocrystalline alloy // J. Appl. Phys. 2000. V. 87. P. 5263–5265.
Дополнительные файлы








