Mosses of the Western Part of the Chukchi Highlands. 2. Number of Species and Cover on Gradients of Environmental Factors
- Authors: Kholod S.S.1, Afonina O.M.1
-
Affiliations:
- Komarov Botanical Institute of the Russian Academy of Sciences
- Issue: Vol 108, No 4 (2023)
- Pages: 315-333
- Section: COMMUNICATIONS
- URL: https://bakhtiniada.ru/0006-8136/article/view/134508
- DOI: https://doi.org/10.31857/S000681362304004X
- EDN: https://elibrary.ru/OZZCTE
- ID: 134508
Cite item
Full Text
Abstract
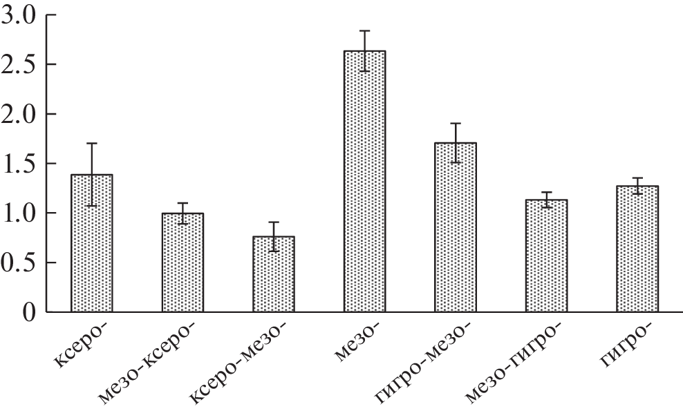
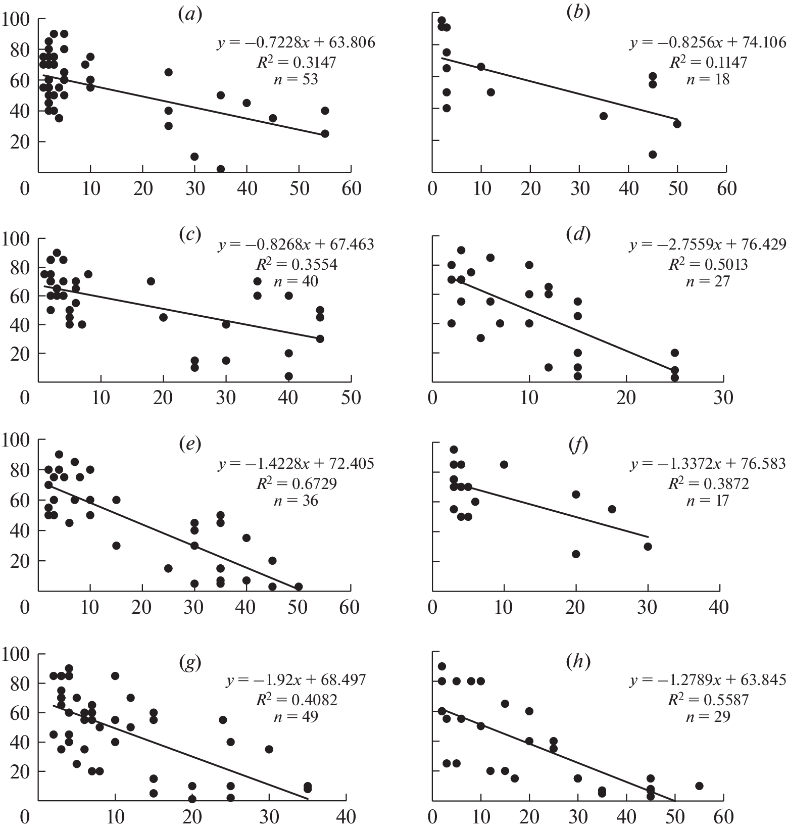
Based on geobotanical studies conducted in the summer of 1989 in the western part of the Chukchi Highlands, it was found that the number of moss species varies depending on the altitude, slope exposure and angle. Taking into account samples of different volumes for different parameters, the following dependencies were revealed: the largest number of species (35) was noted in the altutude range of 250–300 m, the smallest (14) – for the altutudes above 400 m; the slopes of the northern exposure are characterized by the largest number of species (22), the south-eastern and north-western ones – by the smallest number (18); a decreasing tendency in the number of species manifests itself with an increase in the slope angle: on gentle slopes (up to 5°) there are 37 species, while on steep ones (more than 25°) their number decreases to 23. Based on the position of the species optimum on the scale of soil moisture, 7 groups of species were distinguished: xerotopes, mesoxerotopes, xeromesotopes, mesotopes, hygromesotopes, mesohygrotopes, hygrotopes. The total percent cover value of mosses varies differently on the slopes of different exposures (on gravelly-fine-stony substrates): on the northern slopes it increases to an altitude of 400 m, then decreases sharply; on the south-western slopes it only increases to an altitude of 450 m, on all the other slopes it monotonously decreases from an altitude of 230–250 m to 370–600 m. At different altitude levels, the maximum of the total percent cover value of mosses is also related to the slope exposure: in the lower altitude range, it is confined to the south-eastern slopes, in the medium altitudes, it shifts to the north-eastern slopes, and in the uppermost range to the south-western ones. With an increase in the slope steepness, the total percent cover value of mosses decreases on the slopes of all exposures, with the greatest intensity being on the eastern slopes.
About the authors
S. S. Kholod
Komarov Botanical Institute of the Russian Academy of Sciences
Author for correspondence.
Email: sergeikholod@yandex.ru
Russia, 197376, St. Petersburg, Prof. Popova Str., 2
O. M. Afonina
Komarov Botanical Institute of the Russian Academy of Sciences
Author for correspondence.
Email: sergeikholod@yandex.ru
Russia, 197376, St. Petersburg, Prof. Popova Str., 2
References
- Fedosov V.E., Fedorova A.V., Larrain J., Santos M.B., Stech M., Kučera J., Brinda J.C., Tubanova D.Ja., von Konrat M., Ignatova E.A., Ignatov M.S. 2021. Unity in diversity: phylogenetics and taxonomy of Rhabdoweisiaceae (Dicranales, Bryophyta). – Bot. J. Linn. Soc. 195 (4): 545–567. https://doi.org/10.1093/botlinnean/boaa087
- Geologiya SSSR. Тоm XXX. Severo-Vostok SSSR. Geologicheskoe opisanie. Kn. 1. [Geology of the USSR. Vol. XXX. Geological description. Book 1]. Moscow. 548 p. (In Russ.).
- Ignatov M.S., Afonina O.M., Ignatova E.A., Abolina A., Akatova T.V., Baisheva T.Z., Bardunov L.V., Baryakina E.A., Belkina O.A., Bezgodov A.G., Boychuk M.A., Cherdantseva V.Ya., Czernyadjeva I.V., Doroshina G.Ya., Dyachenko A.P., Fedosov V.E., Goldberg I.L., Ivanova E.I., Jukoniene I., Kannukene L., Kazanovsky S.G., Kharzinov Z.Kh., Kurbatova L.E., Maksimov A.I., Mamatkulov U.K., Manakyan V.A., Maslovsky O.M., Napreenko M.G., Otnyukova T.N., Partyka L.Ya., Pisarenko O.Yu., Popova N.N., Rykovsky G.F., Tubanova D.Yu., Zheleznova G.V., Zolotov V.I. 2006. Check-list of mosses of East Europe and north Asia. – Arctoa. 15: 1–130. https://doi.org/10.15298/arctoa.15.01
- Ignatov M.S., Ignatova E.A., Fedosov V.E., Ivanova E.I., Blom H.H., Mun’os I., Bednarek-Ohyra H., Afo-nina O.M., Kurbatova L.E., Chernyad’eva I.V., Cherdantseva V.YA. 2017. Flora khov Rossii. [Flora of mosses of Russia]. V. 2. Oedipodiales – Grimmiales. Moscow. 560 p. (In Russ.).
- Ignatov M.S., Ignatova E.A., Fedosov V.E., Zolotov V.I., Koponen T., Chernyad`eva I.V., Doroshina G.Ya., Tubanova D.Yu., Bell N.E`. 2018. Flora mkhov Rossii. [Flora of mosses of Russia]. Vol. 4. Bartramiales – Aulacomniales. Moscow. 543 p. (In Russ.).
- Ignatov M.S., Ignatova E.A., Fedosov V.E., Chernyad’eva I.V., Afonina O.M., Maksimov A.I., Kuchera J., Akatova T.V., Doroshina G.Ya. 2020. Flora mhov Rossii. [Flora of mosses of Russia]. V 5. Hypopterygiales –Hypnales (Plagiotheciaceae – Brachytheciaceae). Moscow. 600 p. (In Russ.).
- Ignatov M.S., Ignatova E.A., Fedosov V.E., Afonina O.M., Chernyad’eva I.V., Hedenäs L., Cherdantseva V.YA. 2022. Flora mhov Rossii. [Flora of mosses of Russia]. Vol. 6. Hypnales (Calliergonaceae – Amblystegiaceae). Moscow. 472 p. (In Russ.).
- Ipatov V.S., Kirikova L.A. 1997. Fitotsenologiya. [Phytocenology]. Saint-Petersburg. 316 p. (In Russ.).
- Ipatov V.S., Kirikova L.A., Samoilov Y.I. 1974. Nekotorye metodicheskie aspekty postroeniya ekologicheskikh anplitud vidov. [Some methodological aspects of constructing ecological amplitudes of species]. – Ekologiya. 1: 13–23 (In Russ.).
- Kholod S.S., Аfonina O.M. 2023. Mosses of the western part of the Chukchi Highlands. 1. Distribution by habitat types and their activity. – Bot. Zhurn. 108(3): 3–29. https://doi.org/10.31857/S0006813623030055, EDN: VQBQJC
- Kholod S.S., Konoreva L.A. 2022. Lichens in the polar deserts of the northern tip of the Novaya Zemlya archipelago. – Doklady Biological Sciences. 506: 212–238. https://doi.org/10.1134/S0012496622050052
- Mirkin B.N., Naumova L.G. 2012. Sovremennoe sostoyanie osnovnykh kontseptsiy nauki o rastitelnosti [The current state of the basic concepts of vegetation science]. Ufa. 488 p. (In Russ.).
- Ramenskii L.G. 1971. Isbrannye raboty. Problemy i metody izucheniya rastitelnogo pokrova [Selected works. Problems and methods of studying vegetation cover]. Leningrad. 335 p. (In Russ.).
- Sekretareva N.A. 2004. Vascular plants of Russian Arctic and adjacent territories. Moscow. 131 p. (In Russ.).
- Sobolev L.N. 1978. Metodika ekologo-tipologicheskogo issledovaniya zemel. [Methodology of ecological and typological research of lands]. Frunze. 112 p. (In Russ.).
- Sobolev L.N., Utekhin V.D. 1973. Russian (Ramenskiy) approaches to community sistematization. – In: Ordination and classification of communities. Part V. Hague. P. 75–103.
- Vasilevich V.I. 1972. Kolichestvennye metody izucheniya struktury rastitelnosti [Quantitative methods for studying the structure of vegetation]. – In.: Itogi nauki i tekhniki. Seriya “Botanika”. 1: 7–83 (In Russ.).
Supplementary files












