Non-thermal processes of nitrogen oxide formation during precipitation of auroral electrons into the upper atmospheres of terrestrial planets
- Authors: Shematovich V.I.1, Bisikalo D.V.1,2, Tsurikov G.N.1, Zhilkin A.G.1
-
Affiliations:
- Institute of Astronomy of Russian Academy of Sciences
- National Center of Physics and Mathematics
- Issue: Vol 101, No 8 (2024)
- Pages: 770-794
- Section: Articles
- URL: https://bakhtiniada.ru/0004-6299/article/view/274404
- DOI: https://doi.org/10.31857/S0004629924080086
- EDN: https://elibrary.ru/ISYBFC
- ID: 274404
Cite item
Full Text
Abstract
Nitric oxide is a potential biomarker in the N 2 -O 2 atmospheres of terrestrial exoplanets, which can be detected by space missions, including the planned launch of the Russian Spektr-UF observatory. From observations of the Earth's thermosphere in the polar regions, it is known that important sources of formation of this molecule are the precipitation of high-energy electrons into the planet's atmosphere, as well as the non-thermal processes accompanying them. In this paper the non-thermal processes of nitrogen oxide formation in the polar regions of the Earth's upper atmosphere are investigated, as well as the atmospheres of exoplanets located in the potential habitability zone of active stars. For this purpose, a numerical kinetic Monte Carlo model of the interaction of high-energy electrons with atmospheric gas has been developed; a kinetic Monte Carlo model of the interaction of suprathermal N( 4 S) atoms formed as a result of dissociation of N 2 molecules by electron impact with the surrounding gas; as well as a model of odd nitrogen chemistry with taking into account the molecular and turbulent diffusion. According to the results of calculations, it is confirmed that the process of dissociation of N 2 by an electron impact during the interaction of the stellar wind with the atmosphere of the planet is an important source of suprathermal N atoms, which contribute to a significant increase in the non-thermal formation of NO in the N 2 -O 2 atmospheres of terrestrial planets (both locally, in the case of a planet's own magnetic field, and throughout the planet's surface, in the case of its absence). Because the column concentration of NO during flares becomes larger, therefore the chances of detecting of nitric oxide biomarker in the atmospheres of the terrestrial-type exoplanets located in the potential habitability zone of active stars are also become larger.
Full Text
1. ВВЕДЕНИЕ
Молекулы N 2 и O 2 являются основными компонентами атмосферы Земли. Их наличие в атмосфере может свидетельствовать о существовании тектонической и биологической активностей на планете и не имеет аналогов во всей Солнечной системе. В последнее время широко обсуждаются различные источники образования N 2 -O 2 доминантных атмосфер, их устойчивость к ультрафиолетовому и рентгеновскому потокам излучения родительской звезды, а также различные этапы их эволюции (см., например, работы [1–4]). В частности, в работах [1, 2] показано, что наличие N 2 -O 2 атмосферы на Земле может являться прямым индикатором аэробных форм жизни. Дело в том, что поддержание парциального давления N 2 и O 2 на современном уровне было бы невозможно без существенного поступления данных молекул в атмосферу в результате процессов с участием бактерий. Например, в качестве таких процессов обычно рассматривают процессы нитрификации, денитрификации и анаэробного окисления азота. В первом случае бактерии (например, Nitrosomonas ), используя аммоний, NH 4 + , и аммиак, NH 3 , как источник энергии, окисляют NH 4 + , NH 3 до нитрита NO 2 – . В то же время другие бактерии (например, Nitrobacter ) преобразуют образованный ранее нитрит, NO 2 – , в нитрат NO 3 – . Процесс денитрификации, в свою очередь, заключается в том, что бактерии ( Paracoccus denitrificans ) преобразуют нитрат NO 3 – в молекулярный азот, N 2 , который уже непосредственно поступает в атмосферу. Еще один биологический процесс поставки N 2 в атмосферу — «анаммокс» — анаэробное окисление аммония NH 4 + нитритом NO 2 – , которое приводит к образованию N 2 + H 2 O [1].
Таким образом, обнаружение N 2 -O 2 атмосферы на экзопланете, находящейся в зоне потенциальной обитаемости у своей родительской звезды, может являться важным признаком наличия на ней биологической активности [1, 2].
Поиск N 2 -O 2 доминантных атмосфер экзопланет, в свою очередь, является сложной наблюдательной задачей. Отдельное обнаружение молекул N 2 и O 2 может являться ложным признаком биологической активности на планете, так как данные молекулы могут эффективно образовываться абиотическим путем: N 2 — при фото-диссоциации NH 3 , который может испаряться с приповерхностного H 2 O-NH 3 океана (как, например, в атмосфере Титана) [5]; O 2 — при фото-диссоциации H 2 O во время образования первичной плотной паровой атмосферы планеты [6]. При этом существует всего несколько молекул, образующихся в N 2 -O 2 атмосфере и являющихся потенциальными биомаркерами, которые можно зарегистрировать с помощью инструментов на существующих и планируемых космических миссиях. К ним относятся молекулы N 2 O, NO 2 , NO и N 2 -O 2 димеры. Так, в [7, 8] были даны теоретические оценки для регистрации N 2 -O 2 димера и молекулы N 2 O, соответственно, с помощью космического телескопа им. Джеймса Уэбба. В частности, в работе [8] было показано, что регистрация N 2 O возможна на экзопланете TRAPPIST-1e только при достаточно высоком темпе поступления данной молекулы в атмосферу в результате неполного процесса денитрификации.
Ранее, в [9, 10] были приведены оценки возможности обнаружения радикала NO в атмосферах экзопланет земного типа с помощью планируемой к запуску обсерватории Спектр-УФ. В этих работах показано, что регистрация пропускания света в спектральных линиях NO в ближнем УФ диапазоне возможна в атмосферах типичных экзопланет земного типа (супер-земель и суб-нептунов), находящихся в зоне потенциальной обитаемости у активных родительских звезд. Одним из важнейших условий надежной регистрации данного сигнала является высокое содержание концентрации окиси азота в верхней атмосфере экзопланеты. Из спутниковых наблюдений атмосферы Земли известно [11, 12] несколько важных источников образования NO в верхних атмосферах планет земного типа:
- Излучение звезды в мягком рентгеновском диапазоне, поглощаемое атмосферным газом и сопровождающееся образованием высокоэнергетических фотоэлектронов, которые, в свою очередь, влияют на последующее образование NO в экваториальных областях [13].
- Высыпание высокоэнергичных электронов (с энергиями 1–10 кэВ) в полярных областях, которое приводит к диссоциации N 2 электронным ударом. Дальнейшая реакция продуктов этой диссоциации — тепловых атомов азота в основном и метастабильном состояниях N( 4 S, 2 D) — с молекулами O 2 приводит к образованию окиси азота [14]. Наблюдения атмосферы Земли показывают, что максимум концентрации NO в этом случае достигается на высотах 106–110 км [11, 12]. При этом во время сильной геомагнитной активности возможен перенос данной молекулы даже на средние широты [12, 15–16].
Отметим, что:
- при диссоциации N 2 электронным ударом также образуются надтепловые атомы азота N h ( 4 S), являющиеся важным дополнительным источником NO в верхних слоях атмосферы [17–21];
- высыпание электронов может также приводить к увеличению Джоулева нагрева в верхней атмосфере, влияющего на образование окиси азота [22, 23]: за счет дополнительного нагрева повышается скорость чувствительной к температуре реакции N( 4 S) + O 2 → NO + O. Джоулев нагрев также способствует формированию вертикального потока, переносящего NO в более высокие слои атмосферы [23].
Таким образом, процессы, связанные с взаимодействием звездного ветра с атмосферой планеты земного типа, сопровождающиеся высыпанием электронов, могут способствовать увеличению концентрации NO в верхней атмосфере. Это, в свою очередь, может увеличить вероятность обнаружения данной молекулы, в особенности на экзопланетах в зоне потенциальной обитаемости у более активных, чем Солнце, звезд. Для проверки данной гипотезы, первоначально, нами была модифицирована кинетическая модель Монте-Карло (КММК) высыпания высокоэнергичных авроральных электронов в полярную атмосферу Земли [24]. Вообще, хорошо известно, что модели расчета процессов высыпания авроральных электронов методом Монте-Карло [25–27] являются эффективным подходом к изучению авроральных событий. Эти модели основаны на стохастическом отслеживании многочисленных модельных частиц, которые представляют собой высыпающиеся электроны высокой энергии. В нашем недавнем исследовании [24] такая стохастическая модель была использована для исследования диссоциации атмосферного N 2 при их соударении с электронами высокой энергии, приводящими к образованию надтепловых атомов азота. Используя результаты данной модели — функции распределения образовавшихся надтепловых атомов азота по кинетической энергии, мы также построили модель КММК, описывающую кинетику и перенос данных надтепловых атомов N в полярных областях атмосферы Земли [28]. Данная модель была основана на предыдущих наших работах [29, 30].
Основной целью данной работы является оценка влияния высыпаний энергичных электронов и нетепловых процессов, индуцированных этими высыпаниями, в образование окиси азота в атмосфере Земли и планет земного типа у активных родительских звезд. Для этого используются упомянутые модели КММК взаимодействия высокоэнергичных электронов [24] и надтепловых атомов N( 4 S) [28] с окружающим атмосферным газом. А также разработана модель химии нечетного азота с молекулярной и турбулентной диффузией, позволяющая моделировать высотные профили NO в верхних атмосферах планет земного типа.
Статья организована следующим образом. В Разделе 2 приводится описание разработанных моделей в соответствии с порядком рассмотрения физических процессов, возникающих при высыпании высокоэнергичных электронов в полярных областях верхней атмосферы планеты. Так, в Разделе 2.1 описана кинетическая модель Монте-Карло, позволяющая моделировать столкновения высыпающихся электронов с окружающим атмосферным газом. Данная модель необходима для последующего расчета основных процессов химии нечетного азота: ионизации, диссоциации, диссоциативной ионизации молекул N 2 электронным ударом. Кинетика и перенос надтепловых атомов N h ( 4 S) в атмосфере, которые также образуются при диссоциации N 2 электронным ударом, описываются с помощью аналогичной модели КММК. Подробности данной модели изложены в Разделе 2.2. Наконец, в Разделе 2.3 описана модель химии нечетного азота в верхней атмосфере планеты, включающая молекулярную и турбулентную диффузию. Данная модель использует результаты расчетов по упомянутым ранее моделям. С ее помощью можно рассчитать высотные профили таких атмосферных составляющих, как NO, N( 4 S, 2 D), и определить изменение этих профилей для различных потоков энергии высыпающихся электронов.
В Разделе 3, в свою очередь, показаны основные результаты, полученные с помощью разработанных моделей. Последовательность изложения материала здесь также соответствует порядку рассмотрения физических процессов при высыпании электронов в атмосферу планеты. Разделы 3.1–3.3 и частично Раздел 3.4 посвящены моделированию этих процессов в атмосфере Земли и сравнению результатов этого моделирования с результатами других авторов и реальными наблюдениями. Так, в Разделе 3.1 описаны условия в атмосфере Земли, для которых проводятся расчеты. В том числе, приведены высотные распределения нейтралов, ионов и электронов в атмосфере Земли, а также распределения температур этих компонентов. В Разделе 3.2 представлены результаты расчетов: (а) кинетики и переноса высыпающих высокоэнергичных электронов в верхней атмосфере Земли (энергетические спектры потоков энергии электронов); (б) скоростей ионизации, диссоциации, диссоциативной ионизации молекул N 2 электронным ударом; (в) скорости образования надтепловых атомов азота N h ( 4 S) и их энергетических спектров.
В Разделе 3.3, в свою очередь, показаны результаты моделирования кинетики и переноса надтепловых атомов азота N h ( 4 S) в полярных областях верхней атмосферы Земли. Также приводятся частоты реакции N h ( 4 S) + O 2 → NO + O — нетеплового канала образования окиси азота. Наконец, в Разделе 3.4 представлены результаты расчетов высотных профилей молекулы NO для теплового и нетеплового каналов образования данной молекулы. В первом случае (тепловой канал образования NO) полученные результаты сравниваются с результатами других моделей и наблюдениями для атмосферы Земли. Во втором случае (нетепловой канал образования NO) результаты получены из предположений, что экзопланета земного типа находится в зоне потенциальной обитаемости у более активной звезды, чем Солнце. Тем самым предполагается, что потоки высыпающихся электронов в атмосфере являются более частыми и сильными, чем для Земли. Исходя из тех же предположений, в Разделе 3.5 проведены расчеты теплового и нетеплового образования NO для разных потоков энергии высыпающихся электронов —от 1 до 100 эрг см –2 с –1 .
Основные выводы работы представлены в Разделе 4.
2. МАТЕРИАЛЫ И МЕТОДЫ
2.1. Кинетическая модель Монте-Карло высыпания электронов
Для того, чтобы оценить вклад нетепловых процессов в химию нечетного азота, необходимо первоначально рассчитать сами источники данных процессов, то есть построить модель высыпания высокоэнергичных электронов в верхнюю N 2 -O 2 атмосферу планеты. Основными выходами данной модели являются энергетические спектры высыпающихся электронов в разных слоях атмосферы, а также высотные профили потоков энергии данных электронов. Рассмотрим процесс высыпания на примере атмосферы Земли: энергичные электроны магнитосферного происхождения переносятся в полярные области термосферы и теряют свою кинетическую энергию, E , в упругих, неупругих и ионизационных столкновениях с окружающим атмосферным газом в переходной области между термосферой и экзосферой:
(1)
где и — кинетические энергии первичного электрона до и после столкновения; X=O 2 , O, N 2 ; X * и X + атмосферные частицы в основном, возбужденном и ионизованном состояниях; — энергия вторичного электрона, образующегося в ходе столкновения и последующей ионизации. Высыпающиеся электроны вызывают образование эмиссионных спектральных линий за счет возбуждения частиц электронным ударом, ионизации и за счет диссоциативного возбуждения частиц. Полный перечень данных процессов представлен в [24]. Сечения для электронного удара с молекулами N 2 , O 2 , O были взяты из работ [31–34]. Для парциальных сечений ионизации были использованы аппроксимационные формулы из [35] и [36].
Кинетика и перенос электронов в рассматриваемой переходной области описывается кинетическим уравнением Больцмана [24]:
(2)
где f e ( r , v ), и f m ( r , v ) являются функциями распределения по скоростям v для электронов и компонентов окружающего атмосферного газа в точке пространства r , соответственно. Перенос электронов в гравитационном и/или магнитном полях планеты s описывается в левой части уравнения. Это силовое поле может быть выражено, как , где g — ускорение силы тяжести, e и m e — заряд электрона и его масса, B — индукция магнитного поля. В правой части кинетического уравнения член Q e,aur задает энергетический спектр высыпающегося на верхней границе (700 км для атмосферы Земли) потока авроральных электронов из магнитосферы, член Q e,sec описывает скорость образования вторичных электронов в процессах ионизации. Интегралы столкновений J для упругих и неупругих взаимодействий электронов с окружающими атмосферными частицами записываются в стандартном виде [37]. При этом предполагается, что атмосферный газ характеризуется локально равновесным распределением Максвелла по скоростям.
Для того, чтобы численно решить уравнение Больцмана, в данной работе используется метод Монте-Карло, который заключается в создании набора траекторий, соответствующих состояниям модельных частиц. То есть, в численном моделировании рассчитывается эволюция модельных частиц, обусловленная столкновительными процессами и процессами переноса, от начального до некоторого установившегося состояния. Влияние столкновительных процессов на эволюцию частицы определяется соответствующими сечениями. Данный метод является эффективным инструментом для исследования кинетики и переноса частиц в стохастическом приближении (см., например, [24–27, 30]).
В свою очередь, алгоритм задания набора траекторий для состояний частиц подробно описан в [24–27, 30, 37]. В данном алгоритме последовательность переходов между состояниями модельных частиц атмосферного газа и интервалов между данными переходами должна быть представлена в виде соответствующих распределений вероятностей. Для реализации данного алгоритма используется однородная Марковская цепь, в которой переход между состояниями в момент времени t обусловлен столкновениями высыпающихся электронов с атмосферными атомами и молекулами. Представленный алгоритм является аналоговым алгоритмом Монте-Карло для решения кинетического уравнения Больцмана для надтепловых частиц — высокоэнергичных электронов. Так как метод Монте-Карло является линейным методом решения, физические и химические параметры надтепловых частиц в атмосферном газе вычисляются путем усреднения реализаций траекторий случайного процесса, состояния которых характеризуют перенос и столкновения данных частиц с окружающим атмосферным газом.
2.2. Модель Монте-Карло для кинетики и переноса надтепловых атомов азота в атмосфере планеты
Как отмечалось ранее, высыпания высокоэнергичных электронов в полярных областях атмосферы Земли могут служить важным источником атомарного азота N в разных возбужденных электронных состояниях за счет диссоциации молекулярного азота N 2 электронным ударом [11–12, 15–16]:
, (3)
где — атомарный азот в основном и метастабильных электронных состояниях. Из лабораторных исследований [38, 39] также известно, что диссоциация N 2 электронным ударом сопровождается образованием атомов N с избытком кинетической энергии.
При этом одним из основных результатов описанной в предыдущем разделе модели КММК является распределение высыпающихся в атмосферу электронов по кинетической энергии. Данное распределение, в свою очередь, может быть использовано для оценки функции источника атомарного азота в основном и метастабильных возбужденных состояниях, образующихся в реакции (3) [28]:
, (4)
где — скорость образования надтепловых атомов N( 4 S) в реакции (3) на высоте h , а — нормализованная на единицу функция распределения образовавшихся атомов N( 4 S) по кинетической энергии на высоте h . Для вычисления функции источника необходимы следующие молекулярные данные [38]: дифференциальные и суммарные поперечные сечения, зависящие от энергии столкновения, для реакции (3); непосредственно функция распределения энергии атомов N( 4 S), ; а также коэффициенты ветвления, описывающие вероятности образования атомов N в основном и возбужденных электронных состояниях.
Описание взаимодействия надтепловых атомов с окружающим газом аналогично описанию взаимодействия высыпающихся электронов с атмосферой планеты: надтепловые атомы азота, образующиеся в реакции (3), теряют свою избыточную кинетическую энергию при столкновениях с другими атмосферными частицами и переносятся в переходной области между термосферой и экзосферой [18, 28]. Стационарные распределения данных надтепловых атомов является результатом решения кинетического уравнения Больцмана с исходной функцией источника (4):
, (5)
где f Nh ( r , v ) и f M ( r , v ) — функции распределения надтепловых атомов N и компонентов окружающего газа по скоростям v в точке пространства r , соответственно. Аналогично (2), левая часть описывает перенос надтепловых атомов азота в исследуемой области атмосферы под воздействием планетарного гравитационного поля s . В правой части находятся интегралы столкновений J mt для упругого и неупругого рассеяния надтепловых атомов азота при столкновениях с окружающим атмосферным газом, которые записываются в стандартной форме [18, 28]. Также предполагается, что атмосферный газ характеризуется локальной функцией распределения Максвелла по скоростям.
Необходимо отметить, что под надтепловыми частицами обычно подразумевают частицы с кинетической энергией, на порядок превышающей среднюю тепловую энергию окружающего атмосферного газа. При рассмотрении верхних слоев полярной атмосферы Земли известно, что температура в этой области изменяется в пределах 300–1600 К [MSISE90, 40] в зависимости от уровня солнечной активности. В этом случае под надтепловыми можно считать атомы с кинетической энергией выше ~0.1 эВ. В данной работе, помимо распределения концентрации надтеплового азота в атмосфере, нас также интересует нетепловое образование NO. Как указывалось ранее и будет рассмотрено в следующем разделе, важной реакцией образования NO является реакция:
. (6)
Энергетический барьер данной реакции соответствует 0.3 эВ [41]. В связи с этим мы также установили нижнюю границу энергии надтепловых атомов на уровне 0.3 эВ, соответствующую данному энергетическому барьеру.
Так же, как и в работах [24, 28], в описанных выше моделях КММК рассматривалась область атмосферы планеты земного типа (в данном случае — Земли) между высотами 80 и 700 км. Нижняя граница находится в относительно плотной нижней термосфере ( z 0 =80 км), где надтепловые частицы быстро и локально теряют свою избыточную кинетическую энергию при столкновениях с тепловыми молекулами азота и кислорода. Верхняя граница расположена над экзобазой (~500–600 км), где течение газа становится бесстолкновительным ( z 1 =700 км). Исследуемая область разделена на ячейки с сеткой высот, размер которых принимался ниже локального значения средней длины свободного пробега. В каждой ячейке атмосферный газ представлен модельными частицами с заданными концентрациями и температурами. Модельные частицы рождаются в каждой ячейке в соответствии с функцией источника (4) надтепловых атомов азота, образующихся при диссоциации N 2 электронным ударом (3).
Численная реализация рассмотренной задачи, в свою очередь, полностью совпадает с решением задачи, рассмотренной в предыдущем разделе. Подробное описание стохастических процедур моделирования локальной статистики столкновений и переноса надтепловых частиц в верхних слоях атмосферы планеты можно найти в [28]. Поскольку модель КММК моделирует реальный атмосферный газ на молекулярном уровне, в ходе реализаций данной модели накапливается подробная статистика о функциях распределения горячих атомов азота по скорости (кинетической энергии) в полярной атмосфере Земли.
2.3. Модель химии нечетного азота с молекулярной и турбулентной диффузией
Процессы образования и потери NO в атмосфере Земли описываются жесткой системой химических реакций [11, 12], включающей атомарный азот в основном N( 4 S) и метастабильном N( 2 D) (Δ E = 2.38 эВ) состояниях и называемой химией нечетного азота. Как уже не раз отмечалось, окись азота образуется в верхней полярной атмосфере Земли в химических реакциях продуктов диссоциации N 2 электронным ударом (3) — атомов N( 4 S) и N( 2 D) — с молекулярным кислородом O 2 . Это реакции (6) и:
(7)
На высотах в атмосфере Земли, ниже 130 км, реакция (7) в основном производит NO в течение дня, и гораздо менее эффективна ночью. Реакция (6), в свою очередь является основным источником NO днем на высотах > 130 км и ночью на высотах < 130 км [11, 42].
Помимо диссоциации N 2 электронным ударом, взаимодействие данной молекулы с электронами приводит к прямой и диссоциативной ионизациям:
. (8)
. (9)
Скорости данных процессов рассчитываются с использованием описанной ранее модели КММК [24].
Потеря молекулы NO в ночное время происходит в результате столкновений с атомарным азотом в основном и метастабильном электронных состояниях N( 4 S, 2 D):
. (10)
. (11)
В дневное время NO в основном разрушается потоком фотонов Солнца в жестком ультрафиолетовом диапазоне, поглощение которых приводит к диссоциации NO согласно [14]:
. (12)
Таким образом, молекула NO гораздо менее распространена в дневной термосфере по сравнению с полярной ночной атмосферой.
Полный перечень рассматриваемых в данной работе реакций химии нечетного азота с соответствующими коэффициентами скорости реакции представлен в табл. 1. Как отмечалось, данная система является жесткой. Это означает, что добавление дополнительных химических реакций в рассматриваемую систему может довольно сильно изменить ее решение. Одной из таких реакций является реакция нетеплового образования NO в верхней атмосфере планеты в результате взаимодействия надтепловых атомов с :
. (13)
Таблица 1. Реакции химии нечетного азота для полярных областей атмосферы Земли с соответствующими коэффициентами скорости реакции, скоростями реакции или частотами реакции. Для некоторых реакций также приведено значение квантового выхода
№ | Реакция | Коэффициент скорости [см 3 с –1 ] / частота реакции [с –1 ] / скорость реакции [см –3 с –1 ] / квантовый выход реакции | Источник |
Р1 | N( 4 S) + O 2 → NO + O | [3] | |
Р2 | N( 2 D) + O 2 → NO + O | [3] | |
Р3 | NO + N( 4 S) → N 2 + O | [3] | |
P4 | NO + O 2 + + → NO + + O 2 | [3] | |
P6 | NO + + e – → N( 4 S, 2 D) + O | f (N( 2 D)) = 0.85 | |
P7 | N 2 + + O → N( 2 D) + NO + | [3] | |
P8 | N 2 + e – → N( 2 D) + N( 4 S) | Скорость реакции [см –3 с –1 ], f (N( 2 D)) = 0.5 | [24] |
Р9 | N( 2 D) + O → N( 4 S) + O | [3] | |
Р11 | N 2 + e – → N + + N( 4 S, 2 D) + e – | Скорость реакции [см –3 с –1 ], f (N( 2 D)) = 0.5 | [24] |
Р12 | N 2 + e – → N 2 + + 2e – | Скорость реакции [см –3 с –1 ] | [24] |
Р13 | N 2 + + e – → N( 4 S) + N( 2 D) | f (N( 2 D)) = 0.5 | |
Р14 | N 2 + + O 2 → O 2 + + N 2 | [3] | |
Р15 | N( 2 D) + NO → N 2 + O | [3] | |
Р16 | N( 2 D) + e – → N( 4 S) + e – | [3] | |
Р17 | N( 2 D) → N( 4 S) + hv | [1/с] | [3] |
Р18 | O + + N 2 → N( 4 S) + NO + | [3] | |
Р19 | N + + O 2 → N( 4 S) + O 2 + | [3] | |
Р20 | N h ( 4 S) + O 2 → NO + O | Частота реакции [1/с] | [28] |
Частота данной нетепловой реакции рассчитывается с использованием стационарных ФРЭ надтепловых атомов N( 4 S), которые в свою очередь являются результатом расчетов по описанной в предыдущем разделе модели КММК [28]. Скорость же данной реакции определяется умножением частоты реакции на локальную концентрацию молекулы O 2 . Ранее эффективность реакции (13) была показана для экваториальных областей атмосферы Земли [18]. По оценкам, сделанным в работе [28], вклад данной дополнительной реакции в образование NO также может приводить к значительным изменениям химии нечетного азота для полярных областей земной атмосферы (см, в частности, рис. 4 в статье [28]). Важной задачей настоящей работы является более детальная проверка влияния данной реакции на нетепловой механизм образования NO в полярных областях атмосферы Земли и для атмосфер экзопланет, находящихся в зоне потенциальной обитаемости у звезд, более активных, чем Солнце. Для этого была разработана модель химии нечетного азота с молекулярной и турбулентной диффузией.
В данной модели решается система уравнений химической кинетики Р1–Р20 с учетом вертикального потока, обусловленного диффузией. Таким образом, изменение концентрации молекул со временем описывается уравнением:
, (14)
где P и L — производство и потеря молекулы, см –3 с –1 , Ф — вертикальный поток, см –2 с –1 , создаваемый молекулярной и турбулентной диффузией. Под действием турбулентной диффузии профили концентрации газов соответствуют шкале высот всего газа. Под действием молекулярной диффузии профили концентраций отдельных газов соответствуют собственным шкалам высот. Выражение для вертикального потока можно записать следующим образом [3]:
(15)
,
где n — концентрация молекулы, см –3 ; N — концентрация газа в атмосфере, см –3 ; m и m gas — молекулярная масса молекулы и атмосферного газа, выраженная в массе протона; T — температура газа, K; D и K E — коэффициенты молекулярной и турбулентной диффузии, см 2 /c; α t — коэффициент тепловой диффузии.
Численное решение задачи (14) осуществляется методом разделения по физическим процессам. Таким образом, на каждом временном шаге сначала решается система уравнений химической кинетики, затем — уравнение диффузии. Для численного решения первого уравнения, как и в работе [44], используется пакет CVODE [45], предназначенный для решения жестких систем дифференциальных уравнений. Так как система уравнений в табл. 1 является жесткой, то для ее численного решения необходимо вычислить матрицу Якоби:
. (16)
Аналитический вид данной матрицы генерируется автоматически с помощью программы PYODESYS1, реализованной на языке программирования Python. С помощью программы PYCVODES2, в свою очередь, производится запуск указанного пакета CVODE.
Концентрации нейтральных компонентов N 2 , O 2 , O и профиль температуры считаются стационарными и берутся из модели MSISE90 [40]. Концентрации ионов NO + , O 2 + , O + и N + , а также концентрация электронов, в свою очередь, берутся из модели IRI2016 [46]. Для запуска данной модели используется программа PyIRI20163, реализованная на языке программирования Python.
В модели нечетного азота уравнение диффузии решается для NO, N( 4 S), аналогично моделям [47, 48], а также для N( 2 D). Коэффициент тепловой диффузии для данных молекул α t = 0 [3, 49]. Коэффициент молекулярной диффузии определяется выражением , где [3, 49]. Коэффициент турбулентной диффузии, , где согласно [3, 49, 50]. Численное решение данного уравнения производится методом Кранка-Николсона. Подробное описание данного метода для решения задач диффузии в атмосфере Земли представлено в [3] (Приложения C, E).
На нижней границе расчетной области задаются объемные концентрации рассматриваемых атмосферных компонентов. Предполагается, что концентрация NO на данной границе соответствует минимальному значению [47]. На верхней границе вертикальный диффузионный поток задается равным нулю. Решение производится до установившегося режима в соответствии с критерием установления , где . Шаг по времени определяется диффузионным числом, , в соответствии с критерием положительности решения для метода Кранка-Николсона.
3. РЕЗУЛЬТАТЫ
3.1. Образование NO в полярной атмосфере Земли
Основной задачей данной работы является определение влияния электронных высыпаний и нетепловых процессов, вызываемых этими явлениями, на образование окиси азота в атмосферах планет земного типа. Важным с точки зрения прикладного применения разработанных моделей и их проверки является проведение расчетов для полярных областей атмосферы Земли. Для этого мы рассмотрели несколько случаев электронного высыпания в атмосферу Земли в полярном регионе для широты 65°N и долготы 0° на дату 21 сентября 1999 г., аналогично расчетам в работе [47]. Первый случай представляет условия, когда характеристическая энергия высыпающихся электронов E 0 =1 кэВ. Для примера, при данных условиях слабое полярное сияние становится видимым невооруженным глазом. Другой рассмотренный случай характеризуется более жестким энергетическим спектром высыпающихся полярных электронов с характеристической энергией E 0 =4 кэВ и связан с более возмущенными условиями солнечной активности, а также соответствует уже хорошо видимому полярному сиянию. Как было упомянуто ранее (см., Введение), из наблюдений известно, что эффективным источником образования молекулы NO в полярных областях атмосферы Земли является высыпание электронов с энергиями 1–10 кэВ [12, 15–16]. Таким образом, в данной работе рассмотрены два практически предельных случая для характеристических энергий высыпающихся электронов в верхней полярной атмосфере Земли. Первый случай, E 0 =1 кэВ, соответствует более низкой характеристической энергии электронов, второй, E 0 =4 кэВ, — более высокой. Напомним, что характеристическая энергия электронов (для Максвелловской функции распределения по энергиям) равна E 0 = E m /2, где E m — средняя кинетическая энергия электронов. Для удобства анализа результатов мы исключили результаты с промежуточными значениями E 0 . Результаты расчетов химии нечетного азота для таких промежуточных значений E 0 можно найти, например, в [47] или [28].
Для указанных расчетных даты и времени уже были ранее проведены вычисления концентрации NO в термосфере Земли [47]. Результаты данных вычислений хорошо согласуются как с усредненными по годовым наблюдениям на спутнике SNOE (Student Nitric Oxide Explorer) концентрациями NO [11], так и с концентрациями данной молекулы, измеренными на указанную дату с помощью этого же спутника ([12], рис. 10). Поэтому рассматриваемые случаи хорошо подходят и для проверки наших моделей.
Чтобы различить эффекты, связанные только с высыпанием электронов, предполагалось, что нейтральная атмосфера остается неизменной в рассматриваемых двух случаях. В качестве функции распределения авроральных электронов по кинетической энергии использовалась максвелловская функции с характеристической энергией E 0 , равной половине от средней кинетической энергии электронов. При этом для высыпания авроральных электронов на верхней границе полярной атмосферы (700 км) предполагалось изотропное распределение по питч-углу относительно линии геомагнитного поля [51]. Также для рассмотренных случаев высыпания нисходящий поток энергии электронов Q 0 на верхней границе был принят равным 1.0 эрг см –2 с –1 . Конвергенция магнитных линий в полярных областях Земли была учтена, как и в модели [24, 27], путем сохранения 2-го адиабатического инварианта.
Высотные распределения основных нейтральных компонентов — O 2 , N 2 , O и N, а также их температура были рассчитаны при помощи эмпирической модели MSISE90 [40] и показаны на рис. 1, где также представлены распределения концентраций атмосферных ионов NO + , O 2 + , O + , N + , электронов и их температуры. Модельная атмосфера была рассчитана для указанных ранее даты и координат. При этом солнечные и геомагнитные условия соответствовали значениям солнечной и геомагнитной активности, равным F 10.7 =160 и Ap =6.
Рис. 1. (Верхняя панель): Высотные профили распределения числовых концентраций: нейтральных компонентов атмосферы Земли O 2 , N 2 , O и N (сплошные линии), рассчитанных с помощью модели MSISE90 [40]; концентраций ионов O + , O 2 + , NO + , N + (пунктирные линии) и электронов (штрихпунктирные линии), рассчитанных с помощью модели IRI2016 [46]. (Нижняя панель): Высотные распределения температур нейтралов (сплошная линия), ионов (пунктирная линия) и электронов (штрихпунктирная линия), взяты из моделей MSISE90 [40] и IRI2016 [46], соответственно. Расчеты проведены для 21 сентября 1999 г., широты 65°N и долготы 0°.
3.2. Энергетические спектры высыпающихся электронов
Напомним, что исследование кинетики и переноса высокоэнергичных электронов в переходной области атмосферы основано на решении кинетического уравнения Больцмана (2) с помощью разработанной модели КММК, описанной в Разделе 2.1. Данная модель переноса высокоэнергичных электронов позволяет рассчитать функции распределения электронов по энергии в исследуемой области атмосферы. Структура данной функции распределения определяется столкновительными процессами [24, Приложение A], переносом электронов и заданной величиной высыпающегося потока электронов. На рис. 2a и 2б показаны рассчитанные с помощью данной модели стационарные энергетические спектры для нисходящих и восходящих потоков энергии авроральных электронов на высотах 700 км (где среда практически бесстолкновительная), 150 км и 106 км (где, согласно наблюдениям [11, 12], достигается максимальное значение концентрации NO). Рис. 2а и 2б показывают энергетические спектры электронов для высыпаний с характеристическими энергиями 4 кэВ и 1 кэВ, соответственно. При анализе данных спектров стоит учитывать, что они представляют собой произведение энергии электронов, эрг, на энергетический спектр числового потока данных частиц, см –2 с –1 эВ –1 Стр –1 . При этом из наблюдений (см., например, рис. 3 в работе [52]) как раз определяются именно энергетические спектры потоков энергии электронов. Следует отметить, что аналогичные расчеты спектров высыпающихся авроральных электронов являются обычной практикой в исследованиях аэрономии полярной атмосферы и примеры таких расчетов представлены, например, в статьях [25, 47].
Рис. 2, а. Энергетические спектры нисходящего (верхняя панель, а) и восходящего (нижняя панель, б) потоков энергии авроральных электронов, высыпающихся с характеристической энергией Е 0 =4 кэВ.
Рис. 2, б. Энергетические спектры нисходящего (верхняя панель, а) и восходящего (нижняя панель, б) потоков энергии авроральных электронов, высыпающихся с характеристической энергией Е 0 =1 кэВ.
Рис. 3. Высотные профили нисходящего (синяя линия) и восходящего (красная линия) потока энергии авроральных электронов, высыпающихся с характеристической энергией Е 0 = 4 кэВ (верхняя панель) и 1 кэВ (нижняя панель). Вертикальная пунктирная линия показывает поток энергии авроральных электронов на верхней границе Q 0 = 1 эрг см –2 с –1 .
Из анализа рис. 2a и 2б следует, что на малых высотах в энергетическом спектре как нисходящих, так и восходящих потоков электронов, в области низких энергий <30–40 эВ образуется тепловое ядро, которое может быть приближено к максвелловской функции распределения. Действительно, по мере проникновения электронов в глубь атмосферы происходит существенная потеря их энергии в результате столкновительных процессов с окружающим атмосферным газом, сопровождающихся диссоциацией, диссоциативной ионизацией и прямой ионизацией атмосферных компонентов. То есть с уменьшением высоты числовой поток электронов возрастает на более низких энергиях. Но в то же время в расчетных спектрах хорошо наблюдается наличие высокоэнергичных высыпающихся электронов как на больших, так и на малых высотах. Это означает, что даже в плотной термосфере для корректного рассмотрения происходящих процессов необходимо использовать не-ЛТР методы и кинетические уравнения [24].
Восходящий поток электронов на рис. 2а и 2б, в свою очередь, обусловлен переносом уже термализованных электронов из плотной атмосферы Земли.
На рис. 3 представлены распределения по высоте восходящего (красные линии) и нисходящего (синие линии) интегральных потоков энергии высыпающихся электронов, эрг см –2 с –1 для E 0 =4 и 1 кэВ, соответственно. При этом вертикальной пунктирной линией на данном рисунке обозначена величина потока высыпающихся электронов, Q 0 =1 эрг см –2 с –1 , который поступает в атмосферу на верхней границе, на высоте 700 км. На основе разницы между восходящим и нисходящим потоками электронов можно определить, что в обоих представленных случаях электроны довольно глубоко проникают в атмосферу, при этом основная область потери энергии электронов находится ниже 300 км. Так, на высоте 150 км значение потока обратного рассеяния термализованных электронов меньше потока высыпающихся электронов: в 7 раз — при E 0 =4 кэВ и в 16 раз при E 0 =1 кэВ. В свою очередь, электроны с характеристической энергией 4 кэВ очевидно проникают в атмосферу глубже, чем те же с характеристической энергией 1 кэВ. Этот вывод также следует из более детального анализа энергетических спектров нисходящих потоков на рис. 2а и 2б для тех же случаев.
Как отмечалось ранее, рассчитанные энергетические спектры высыпающихся электронов могут быть использованы для определения скоростей процессов диссоциации (3), прямой (8) и диссоциативной (9) ионизации молекулярного азота электронным ударом [24]. На рис. 4 представлены высотные распределения скоростей данных процессов для случаев, когда характеристическая энергия высыпающихся электронов равна 4 и 1 кэВ, соответственно. Из анализа данного рисунка следует, что с увеличением характеристической энергии высыпающихся электронов увеличивается пиковое значение скоростей рассматриваемых реакций и при этом снижаются высоты, на которых достигаются эти пиковые значения. Кроме того, данные высоты соответствуют и наибольшей потере энергии высыпающихся электронов (см., рис. 3). Для случая с E 0 =4 кэВ высота максимума достигает 102.5 км, для случая с E 0 =1 кэВ максимум находится в районе 120.5 км для процессов (8) и (9) и на уровне 130 км для реакции (3). Расположение пиков скоростей прямой ионизации N 2 , в свою очередь, хорошо совпадают с работой [47] (см. рис. 4 в [47]). Сами значения скоростей прямой ионизации N 2 при этом отличаются от [47] примерно в 2 раза при характеристической энергии E 0 =4 кэВ и в 10 раз при E 0 =1 кэВ.
Рис. 4. Высотные профили скоростей диссоциации (черная линия), ионизации (красная линия) и диссоциативной ионизации (малиновая линия) молекулярного азота потоком авроральных электронов, высыпающихся с характеристической энергией Е 0 = 4 кэВ (верхняя панель) и 1 кэВ (нижняя панель).
Скорости представленных на рис. 4 процессов определяются их сечениями: наиболее эффективным является процесс прямой ионизации N 2 электронным ударом (8) (красные линии), меньшей эффективностью обладают процессы диссоциации (9) (черные линии) и диссоциативной ионизации (3) (малиновые линии) данной молекулы. В последних двух процессах при этом образуются тепловые и надтепловые атомы азота N( 4 S). Для того, чтобы рассчитать скорости образования данных атомов, также необходимо использовать коэффициенты ветвления, описывающие вероятности образования N в основном и возбужденных электронных состояниях. Используя данные коэффициенты из расчетов [31, 32] и экспериментальных измерений [38], были рассчитаны скорости образования надтепловых атомов N( 4 S), . Распределение данных скоростей по высоте для двух случаев высыпания электронов представлено на рис. 5. Синие линии соответствуют случаю высыпания с характеристической энергией 1 кэВ, красные линии — случаю с E 0 =4 кэВ. На нижней панели рисунка приведены расчетные распределения по энергии образующихся надтепловых атомов азота для функции источника , на высоте 130 км, где наблюдается максимум скорости диссоциации N 2 , а также максимальное поглощение энергии высыпающихся электронов (рис. 3 и 4).
Рис. 5. Высотные профили скорости образования атомарного азота в основном состоянии 4 S (верхняя панель) и их энергетические спектры на высоте 130 км (нижняя панель) при высыпании авроральных электронов с характеристической энергией Е 0 =4 кэВ (красные линии) и 1 кэВ (синие линии). Вертикальная линия показывает энергетический барьер для реакции атомарного азота в основном состоянии 4 S с молекулярным кислородом.
При этом энергетический спектр образовавшихся атомов азота, находящихся в основном состоянии, показан только для энергий, лежащих выше порога реакции (6), равного 0.3 эВ [41]. Как уже отмечалось, данная область энергий, >0.3 эВ, соответствует области надтепловых энергий для образующихся в процессах диссоциации и диссоциативной ионизации атомов. В то же время, из сравнения представленной функции распределения энергии с максвелловской функцией распределения для атмосферного азота (см., например, рис. 2 в [28]) видно, что расчетные распределения по энергии в функции источника имеют строго неравновесный характер. Наличие нетепловых хвостов в расчетных распределениях по энергии у надтепловых атомов N чрезвычайно важно для расчетов их возможного вклада в химию нечетного азота посредством дополнительной реакции (13), которая, как отмечалось выше, имеет энергетический барьер 0.3 эВ. При этом чтобы вычислить вклад надтепловых атомов N в химию нечетного азота необходимо решить кинетическое уравнение Больцмана с учетом процессов образования, столкновительной релаксации и переноса надтепловых атомов N в полярных областях атмосферы [17, 37].
Из сравнения рис. 5 с рис. 3 и 4 видно, что высоты, на которых достигается максимум производства надтепловых атомов N совпадают с высотами, на которых наблюдается наибольшая скорость диссоциации и наибольшее поглощение энергии электронов. Таким образом, из анализа рис. 2–5 можно сделать общий вывод о том, что процессы взаимодействия высыпающихся электронов с молекулярным азотом являются эффективным процессом потери энергии этих электронов.
3.3. Распределение атомов N( 4 S) в верхних слоях полярной атмосферы
Для того, чтобы описать взаимодействие надтепловых атомов азота, образовавшихся при высыпаниях высокоэнергичных электронов, с окружающим атмосферным газом, было решено уравнение Больцмана (5) для кинетики и переноса рассматриваемых атомов в атмосфере Земли с помощью разработанной кинетической модели Монте-Карло (см. Раздел 2.1). Основным результатом расчетов по данной модели является стационарная функция распределения надтепловых атомов азота по кинетической энергии. То есть та функция распределения, которая соответствует выходу на установившийся режим в результате столкновений и переноса надтепловых атомов азота в полярных областях верхней атмосферы Земли. Рассчитанные на высоте 130 км функции распределения по энергии для двух случаев высыпания электронов ( E 0 =4 кэВ и 1 кэВ) представлены на верхних панелях рис. 6а и 6б. Как и энергетические спектры образовавшихся надтепловых атомов N( 4 S) (рис. 5), представленные стационарные функции распределения этих атомов также имеют существенно неравновесный характер.
Рис. 6, а. (Верхняя панель): Стационарная функция распределения надтепловых атомов азота, рассчитанная для высоты 130.5 км и характеристической энергии высыпающихся электронов Е 0 =4 кэВ, (Средняя панель): Энергетические спектры дифференциальной частоты реакции (6) на высоте 130.5 км, рассчитанные с использованием стационарной функции распределения (черная кривая) и функции источника (4) (синяя кривая) надтепловых атомов N( 4 S). Вертикальная линия показывает энергетический барьер для реакции (6). (Нижняя панель): Высотные профили частоты реакции (6), рассчитанные с использованием стационарной функции распределения (черная кривая) и функции источника (4) (синяя кривая) надтепловых атомов N( 4 S).
Рис. 6, б. То же, что и на рис. 6а, но для случая высыпания авроральных электронов с характеристической энергией Е 0 =1 кэВ.
Определив стационарные функции распределения энергии надтепловых атомов азота на каждой высоте (рис. 6), можно впоследствии рассчитать высотные распределения объемной концентрации надтепловых атомов N( 4 S) и другие их свойства: объемную скорость и среднюю кинетическую энергию. Эти параметры представлены на рис. 7 также для двух случаев высыпания авроральных электронов в атмосфере Земли: с характеристической энергией E 0 =4 кэВ (красные линии) и 1 кэВ (синие линии).
Рис. 7. Высотные профили физических свойств надтепловых атомов азота N( 4 S): (верхняя панель) объемной концентрации, (средняя панель) среднемассовой скорости и (нижняя панель) средней кинетической энергии. Синие линии соответствуют характеристической энергии высыпающихся электронов Е 0 =1 кэВ, красные линии — Е 0 =4 кэВ.
Из сравнения рис. 7 с рис. 3–5 также следует, что высоты, на которых достигается максимум концентрации надтепловых атомов N( 4 S) соответствуют наибольшему поглощению энергии высыпающихся электронов и наибольшим скоростям диссоциации молекулярного азота N 2 электронным ударом. Кроме того, из совместного анализа рис. 1 и 7 (верхняя панель) следует, что объемная концентрация надтепловых атомов N( 4 S) со средней кинетической энергией >0.3 эВ на более чем 1 порядок величины меньше концентрации тепловых атомов азота в основном состоянии. При этом средняя кинетическая энергия надтепловых атомов N (рис. 7, нижняя панель) превышает тепловую энергию окружающего газа (рис. 1, нижняя панель) примерно в 10 раз. Отсюда следует, что процесс взаимодействия надтепловых атомов N с молекулами O 2 в реакции (13) может дать большой вклад в решение жесткой системы реакций химии нечетного азота (Р1–Р19 в табл. 1) и соответственно может являться важным дополнительным источником образования молекулы NO в полярных областях верхней атмосферы Земли.
Для проверки последней гипотезы и учета реакции (13) в химии нечетного азота на основе рассчитанных стационарных функций распределения энергии (рис. 6) мы рассчитали нетепловую дифференциальную частоту образования окиси азота [28]:
, (17)
где — относительная скорость атомов N h ( 4 S) и O 2 в реакции (13), — сечение реакции (13), взятое из теоретических расчетов [41] и [53]. Рассчитанные значения дифференциальной частоты образования NO для высоты 130 км представлены на средней панели рис. 6а и 6б. Синими кривыми на данных рисунках обозначены дифференциальные частоты, соответствующие функциям распределения энергии для образовавшихся надтепловых атомов N( 4 S) (рис. 5). Черные кривые, в свою очередь, соответствуют стационарным функциям распределения энергии данных атомов (то есть верхней панели на рис. 6). Кроме того, на нижней панели рис. 6а и 6б показаны высотные распределения интегральных нетепловых частот образования NO, r Nh ( h , E ) = r Nh ( h , E ) dE , которые непосредственно используются в модели химии нечетного азота.
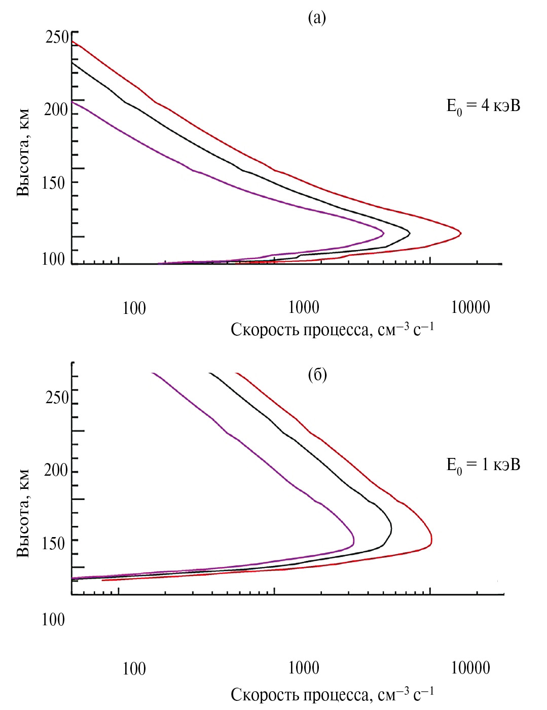
Сравнение высотных профилей стационарных нетепловых частот образования NO (черные кривые) с тепловыми частотами реакций (6, 7) (см., например, [28], рис. 4) показывает различие в пределах 1 и 2 порядков величины для случаев высыпания электронов с энергиями E 0 =1 и 4 кэВ, соответственно. Однако, несмотря на относительно небольшие значения частот реакции (13), вклад данного процесса в образование NO может быть значителен (см. [28], рис. 5).
3.4. Тепловое и нетепловое образование NO в результате электронного высыпания в полярных областях атмосферы
Как отмечалось ранее, одной из основных задач данной работы является исследование влияния высыпания электронов нетепловых процессов, вызванных данными явлениями, на образование окиси азота в полярных областях атмосфер планет земного типа. При этом в предыдущих разделах на примере атмосферы Земли уже были определены и рассчитаны основные источники атомов азота в основном и метастабильном состоянии, которые являются важными составляющими химии нечетного азота. Это скорости реакций диссоциации (3), прямой (8) и диссоциативной (9) ионизации молекулярного азота электронным ударом (рис. 4). Кроме того, были рассчитаны и частоты нетеплового образования NO в процессе взаимодействия надтепловых атомов азота N h ( 4 S) с молекулярным кислородом (13) (рис. 6а и 6б). Таким образом, были получены все необходимые данные для решения системы химических реакций, описывающей химию нечетного азота в полярных областях атмосферы (реакции Р1–Р19 в табл. 1). Соответственно, с помощью разработанной модели химии нечетного азота, учитывающей молекулярную и турбулентную диффузию (см. Раздел 2.3), были проведены расчеты теплового образования окиси азота для рассматриваемых случаев электронного высыпания в атмосфере Земли (широта 65°N, долгота 0°, дата 21 сентября 1999 г.). Результаты данных расчетов — высотные профили объемных концентраций окиси азота — представлены на рис. 8а и 8б (сплошные линии). Данные профили соответствуют высыпанию электронов с потоком энергии на верхней границе атмосферы, равным 1.0 эрг см –2 с –1 , и характеристическими энергиями E 0 =1 и 4 кэВ, соответственно. Пунктирной линией на данных рисунках показаны результаты расчетов [47] для того же события, которые, в свою очередь, соответствуют результатам наблюдений молекулы NO на спутнике SNOE [47, 11, 13]. Из сравнения представленных высотных профилей молекулы NO в полярной термосфере Земли следует хорошее согласие разработанной модели с моделью [47] и, следовательно, с результатами наблюдений. При этом имеются и различия в пиковых значениях объемных концентраций NO между двумя моделями:
- при E 0 =1 кэВ максимум концентрации NO по результатам проведенных расчетов составляет 2.4×10 8 см –3 на 112.5 км и 1×10 8 см –3 на 119.5 км — в работе [47];
- при E 0 =4 кэВ максимум концентрации NO составляет 2.8×10 8 см –3 на 98.5 км и 1.8×10 8 см –3 на 106.5 км — в работе [47].
Рис. 8. а) Высотные распределения объемной концентрации NO, образованной в тепловом (сплошная кривая) и нетепловом (штрихпунктирная кривая) каналах. Пунктирной линией показан высотный профиль концентрации NO из работы [47]. Высотные профили соответствуют электронным высыпаниям с характеристической энергией E 0 =1 кэВ. б) Высотные распределения объемной концентрации NO, образованной в тепловом (сплошная кривая) и нетепловом (штрихпунктирная кривая) каналах. Пунктирной линией показан высотный профиль концентрации NO из работы [47]. Высотные профили соответствуют электронным высыпаниям с характеристической энергией E 0 =4 кэВ.
Данные отличия, в свою очередь, обусловлены:
- разными значениями скоростей прямой ионизации N 2 электронным ударом (см., Раздел 3.2); отсутствием реакции диссоциативной ионизации N 2 в модели [47] (см. также [48]);
- разными значениями сечений реакции диссоциации N 2 электронным ударом. В данной работе использовались значения из работ [31, 32]. В работах [47] и [48], в свою очередь, сечения данной реакции были взяты из более ранних работ [54] и [55];
- Еще одно отличие рассматриваемых моделей, которое связано с положением максимумов концентрации NO, заключается в отличии используемых коэффициентов молекулярной и турбулентной диффузии. Так, в работах [47] и [48] используются значения коэффициентов молекулярной диффузии, рассчитанные согласно [56], а коэффициенты турбулентной диффузии принимаются равными 1×10 6 см 2 /c в интервале высот 100–200 км. В данной работе, как отмечалось ранее, используются коэффициенты молекулярной и турбулентной диффузии согласно [3, 49, 50]. Таким образом, в интервале высот 100–200 км, значения коэффициента турбулентной диффузии между моделями различается в 3–10 раз, а значения коэффициента молекулярной диффузии отличаются в среднем в 1.5 раза.
Анализ результатов проведенных вычислений для полярных областей верхней атмосферы Земли показывает, что электронные высыпания в данных областях практически полностью определяют механизм теплового образования NO. Так, с ростом характеристической энергии высыпающихся электронов, высота максимума объемной концентрации NO снижается, что во многом обусловлено более глубоким проникновением электронов в атмосферу (см., рис. 3), и бόльшими скоростями диссоциации (3), прямой (8) и диссоциативной (9) ионизации N 2 на более низких высотах (рис. 4). Как указывалось ранее, доминирующей реакцией теплового образования NO является реакция (6) [11, 42]. Стоит отметить, что несоответствие высот максимумов скоростей указанных реакций (рис. 4) высотам пиков концентрации NO связано с вертикальным потоком, создаваемым молекулярной и турбулентной диффузией. Абсолютные значения объемной концентрации NO, в свою очередь, меняются всего в 1.2 раза при увеличении характеристической энергии высыпающихся электронов с 1 до 4 кэВ.
Для того, чтобы исследовать влияние надтепловых атомов азота N( 4 S) на нетепловое образование NO посредством реакции (13), данная реакция была добавлена в разработанную модель. То есть производилось решение системы уравнений химической кинетики Р1–Р20 из табл. 1 также с учетом молекулярной и турбулентной диффузии. Важно отметить, что решение данной системы уравнений до установившегося режима является некорректным в применении для полярных областей атмосферы Земли. Дело в том, что образование надтепловых атомов N( 4 S), как и высыпания высокоэнергичных электронов с высоким потоком энергии >1.0 эрг см –2 с –1 , — это спорадические процессы в атмосфере Земли. Для определения вклада данных процессов в химию нечетного азота требуется проведение зависящих от времени нестационарных расчетов, как, например, в [47, Раздел 5], [16]. Поэтому, при проведении расчетов по разработанной модели до выхода на стационарный режим мы предполагаем, что объектом нашего исследования является планета земного типа с условиями и составом в атмосфере, аналогичным атмосфере Земли (как и в работах [9, 10]), подверженная более возмущенным условиям звездной активности или находящаяся на более близком расстоянии к родительской звезде, чем Земля к Солнцу (в пределах зоны потенциальной обитаемости [57, 58]. Еще одним важным предположением является то, что нейтральная атмосфера рассматриваемой планеты остается постоянной при возмущенных условиях звездной активности. Данное предположение при этом зачастую используется при исследовании влияния высыпания электронов на химию нечетного азота в атмосфере Земли (см., например, [14, 47, 48, 28]).
Результаты расчетов нетеплового образования окиси азота представлены на рис. 8а и 8б штрихпунктирными линиями. В обоих случаях высыпания электронов ( E 0 =1 и 4 кэВ) наблюдается сильное увеличение объемной концентрации NO в максимуме. Так, при E 0 =1 кэВ наибольшая концентрация окиси азота NO, образованной в нетепловом канале, в 20 раз превышает концентрацию NO, образованной в тепловом канале. Для случая E 0 =4 кэВ различие составляет 70 раз. При этом высоты максимумов концентраций NO составляют: 108.5 км при E 0 =1 кэВ и 94.5 км при E 0 =4 кэВ, что в свою очередь соответствует пиковым значениям концентрации надтепловых атомов азота N( 4 S) (рис. 7) и частотам реакции (13). Таким образом, несмотря на небольшие значения объемных концентраций надтепловых атомов азота N( 4 S) (рис. 7), образованных в результате высыпаний высокоэнергичных электронов, и небольшие значения частот реакции с участием надтепловых атомов (13) (рис. 6), их вклад в образование NO может быть значителен для N 2 -O 2 доминантных атмосфер планет земного типа. Поэтому при построении аэрономических моделей для таких атмосфер на экзопланетах земного типа (см., например, [3] и [4]), находящихся в зоне потенциальной обитаемости у активных звезд солнечного типа необходимо также учитывать и нетепловые процессы образования NO. Дело в том, что данная молекула, как и молекулы озона и углекислого газа, оказывает большое влияние на охлаждение N 2 -O 2 атмосферы за счет колебательно-поступательного энергообмена [59]. Следовательно, рассматриваемое нетепловое образование NO при высыпании высокоэнергичных электронов в N 2 -O 2 атмосферу, может довольно сильно повлиять на энергетику и структуру данной атмосферы, а также на ее устойчивость. Выдвинутая гипотеза, однако, не является предметом данной работы и будет проверена нами в дальнейшем.
3.5. Образование NO в атмосферах планет земного типа при различной активности родительской звезды
Для того, чтобы исследовать возможное образование NO в тепловом и нетепловом каналах в атмосферах экзопланет земного типа, находящихся в пределах зоны потенциальной обитаемости у родительских звезд, более активных, чем Солнце, была проведена серия расчетов с помощью разработанных моделей для различных потоков энергии высыпающихся электронов, Q 0 =1, 10 и 100 эрг см –2 с –1 . Из наблюдений и теоретических моделей для атмосферы Земли известно [60–62], что значения потока энергии электронов в атмосфере может варьироваться от 1 эрг см –2 с –1 и до 1000 эрг см –2 с –1 (теоретически), что соответствует IBC (International Brightness Coefficient) классам полярных сияний 1 и 4, соответственно, или значениям эмиссии в линии O I λ 5577 , равным 1 и 1000 килоРэлей (1 Рэлей = 10 6 фотон см –2 с –1 ), соответственно [63]. При этом частота полярных сияний типа IBC IV для современного Солнца очень мала [62]. Кроме того, как отмечалось ранее, сильные высыпания электронов с Q 0 >1 эрг см –2 с –1 в атмосфере Земли носят спорадический характер и характеризуются небольшой продолжительностью.
В свою очередь, из наблюдений звезд солнечного типа по данным миссий Kepler и K2 следует, что большинство этих звезд могут являться гораздо более активными, чем Солнце [64]. Более того, теоретические модели и данные наблюдений показывают [65, 66], что молодые звезды солнечного типа, находящиеся на главной последовательности, обладают наибольшей активностью, которая с течением времени снижается в результате уменьшения скорости вращения звезды, ослабления эффекта динамо и снижения нагрева хромосферы. При этом снижение активности происходит как в ультрафиолетовой, жесткой ультрафиолетовой [65, 67–69], так и в мягкой рентгеновской [67, 70] областях спектра. Кроме того, эволюция с возрастом происходит и для потока звездного ветра. Так, например, по результатам наблюдений поглощения в линии HI Lyα на границе астросфер 14 звезд главной последовательности с помощью телескопа им. Хаббла была выявлена степенная зависимость потери массы звезды от времени, ~ t –2.33 , для звезд солнечного типа, где t — возраст звезды в млрд. лет [71, 72]. Согласно данной зависимости, потеря массы для Солнца была бы на 2 порядка выше при возрасте Солнца 1 млрд. лет. Более того, другие исследования (см., например, обзор [73]) также предсказывают гораздо большие потоки звездного ветра для молодых звезд солнечного типа за счет корональных выбросов массы. Последние явления, в свою очередь, характеризуются высокими потоками высокоэнергичных частиц и могут изменять структуру магнитосфер близких экзопланет [73–75].
Таким образом, расчеты с использованием разработанной модели для высоких потоков энергии высыпающихся электронов, вплоть до 100 эрг см –2 с –1 , являются приемлемыми для атмосфер экзопланет земного типа, находящихся в пределах зоны потенциальной обитаемости у активных родительских звезд, так как данные планеты могут быть подвержены намного более частым и сильным возмущениям со стороны звездного ветра. Соответственно, в атмосферах данных экзопланет могут происходить длительные высыпания высокоэнергичных электронов, характеризующиеся более высокими значениями характеристической энергии E 0 и потока энергии Q 0 .
На рис. 9а показаны результаты проведенных расчетов — зависимости максимумов объемной концентрации NO в атмосферах планет земного типа от потоков энергии высыпающихся электронов также для двух случаев высыпания: при E 0 = 1 (красные кружки) и 4 кэВ (черные крестики), соответственно. Левая и правая панели данного рисунка соответствуют тепловому и нетепловому каналам образования NO, соответственно.
Рис. 9. а) Зависимость максимума концентрации окиси азота, образованной в тепловом (левая панель) и нетепловом (правая панель) канале, от потока энергии высыпающихся электронов в атмосферах планет земного типа, находящихся в пределах зоны потенциальной обитаемости у активных родительских звезд. Красные кружки соответствуют высыпаниям электронов с характеристической энергией E 0 =1 кэВ; черные крестики — для случая с E 0 =4 кэВ. б) Зависимость вертикальной лучевой концентрации окиси азота, образованной тепловым (левая панель) и нетепловым (правая панель) путем, от потока энергии высыпающихся электронов в атмосферах планет земного типа, находящихся в пределах зоны потенциальной обитаемости у активных родительских звезд. Красные кружки соответствуют высыпаниям электронов с характеристической энергией E 0 =1 кэВ; черные крестики — для случая с E 0 =4 кэВ.
Анализ полученных результатов показывает, что увеличение в пике концентрации NO с ростом потоков высокоэнергичных электронов происходит нелинейным образом при рассмотрении теплового механизма образования данной молекулы (рис. 9, левая панель). При этом концентрация данной молекулы не превышает значения в 3.4×10 9 см –3 ( E 0 =1 кэВ) и 9.6×10 9 см –3 ( E 0 =4 кэВ) даже при самом сильном высыпании, Q 0 =100 эрг см –2 с –1 . То есть концентрация NO выходит на некоторый уровень насыщения с увеличением возмущений со стороны родительской звезды. Все это подтверждает выводы [14, 47, 48], сделанные по результатам их расчетов для атмосферы Земли. Относительные значения концентрации NO при этом возрастают в 14 раз ( E 0 =1 кэВ) и 35 раз ( E 0 =4 кэВ) при изменении потоков Q 0 с 1 до 100 эрг см –2 с –1 . Это, в свою очередь, подтверждает нашу гипотезу [24, 28] о том, что для активных родительских звезд образование NO в атмосферах экзопланет земного типа может быть более эффективно, чем в атмосфере Земли.
Еще одним аргументом в пользу данной гипотезы служат результаты, полученные при рассмотрении механизма нетеплового образования окиси азота (рис. 9, правая панель). В данном случае (в отличие от результатов для теплового канала образования NO) за счет роста скорости производства надтепловых атомов азота N( 4 S) и, следовательно, роста частоты реакции (13) взаимодействия данных атомов с молекулами O 2 — увеличение концентрации NO с ростом Q 0 происходит практически линейным образом. Таким образом, максимум концентрации данной молекулы в атмосфере может существенно возрасти: до 4.8×10 11 см –3 ( E 0 =1 кэВ) и 1.9×10 12 см –3 ( E 0 =4 кэВ) при значении потока Q 0 =100 эрг см –2 с –1 . Что примерно на 2 порядка величины больше, чем при рассмотрении теплового механизма производства данной молекулы.
Стоит отметить, что согласно результатам проведенных расчетов, вместе с пиковыми значениями NO (при рассмотрении теплового канала образования данной молекулы) изменяются и высоты расположения данных пиков — за счет молекулярной и турбулентной диффузии. Для учета этого фактора на рис. 9б показана зависимость вертикальных лучевых концентраций NO от потока высыпающихся электронов Q 0 . Полученный результат при этом подтверждает сделанные ранее выводы. Так, при рассмотрении теплового канала образования NO лучевая концентрация данной молекулы изменяется в пределах одного-двух порядков величины при увеличении потока Q 0 в 100 раз. Это изменение, в свою очередь, имеет нелинейных характер. При нетепловом образовании NO наблюдается линейное увеличение лучевой концентрации молекулы с ростом потока высыпающихся электронов. Различие между лучевыми концентрациями NO при рассмотрении теплового и нетеплового каналов образования данной молекулы составляет 2 порядка величины для случая, когда значение потока Q 0 соответствует 100 эрг см –2 с –1 .
4. ВЫВОДЫ
Цель данного исследования — оценить вклад высыпаний высокоэнергичных электронов и нетепловых процессов, индуцированных этими высыпаниями, в образование окиси азота в N 2 -O 2 атмосфере Земли и планет земного типа, находящихся в пределах зоны потенциальной обитаемости у активных родительских звезд. Для этого были использованы кинетические модели Монте-Карло взаимодействия высыпающихся электронов [24] и надтепловых атомов азота [28], образующихся в результате высыпаний, с окружающим атмосферным газом. А также разработана модель химии нечетного азота с молекулярной и турбулентной диффузией для полярных областей верхних N 2 -O 2 атмосфер планет земного типа.
- Апробация разработанных моделей для верхней атмосферы Земли показала, что высыпания высокоэнергичных электронов в полярных областях являются доминирующим источником образования окиси азота. Энергия высыпающихся электронов теряется в столкновениях с атмосферным газом, и в процессе диссоциации молекулярного азота образуются атомы азота в метастабильном и основном электронных состояниях с тепловыми и надтепловыми энергиями, взаимодействие которых с молекулярным кислородом и является основным источником образования окиси азота в атмосфере. В зависимости от энергии высыпающихся электронов изменяется концентрация NO в атмосфере, а также высоты, на которых достигаются максимальные значения данной концентрации. Результаты расчетов объемных концентраций NO с использованием разработанных моделей для различных случаев высыпаний авроральных электронов согласуются с другими моделями [47] и наблюдениями [11, 12].
- Исследования влияния активности родительских звезд на N 2 -O 2 атмосферы планет земного типа показали, что увеличение потоков энергии высыпающихся электронов, которое является следствием возмущений в звездном ветре, может существенно увеличить эффективность теплового канала образования окиси азота в рассматриваемых атмосферах. Так, пиковые значения объемной концентрации NO могут достигать 3×10 9 см –3 и 1×10 10 см –3 при непрерывном потоке энергии высыпающихся электронов Q 0 =100 эрг см –2 с –1 и характеристической энергии высыпающихся электронов E 0 =1 и 4 кэВ, соответственно. Для сравнения, концентрации данной молекулы в атмосфере Земли для потоков энергии электронов в 1 эрг см –2 с –1 достигают значений 2.4×10 8 см –3 и 2.8×10 8 см –3 для тех же характеристических энергий. При этом дальнейшее увеличение потоков энергии электронов выше 100 эрг см –2 с –1 не приводит к сильным изменениям в концентрации NO, что также соответствует расчетам [14, 47, 48] для атмосферы Земли.
- По результатам расчетов были подтверждены выводы работы [28] о том, что диссоциация молекулярного азота электронным ударом при высыпании авроральных электронов с высокими энергиями является основным источником надтепловых атомов азота N( 4 S) в полярных областях атмосфер планет земного типа. Несмотря на небольшое содержание надтепловых атомов в атмосфере, их вклад в жесткую систему химических реакций, описывающих химию нечетного азота, как и вклад в нетепловое образование NO (посредством взаимодействия с O 2 ), значителен. В случае непрерывного высыпания электронов в атмосфере модельной планеты земного типа даже с небольшими значениями потока энергии Q 0 = 1 эрг см –2 с –1 концентрация окиси азота, образованная в нетепловом канале, может в 20 и 70 раз превышать концентрацию данной молекулы, образованной в тепловом канале, при характеристических энергиях электронов E 0 =1 и 4 кэВ, соответственно. Более того, за счет эффективного образования надтепловых атомов азота при бόльших потоках энергии высыпающихся электронов нетепловое образование NO происходит также эффективно. В результате чего увеличение концентрации данной молекулы с ростом Q 0 может иметь практически линейный характер. И при Q 0 =100 эрг см –2 с –1 , согласно результатам расчетов, максимум данной концентрации может достигать значений 5×10 11 см –3 и 2×10 12 см –3 при характеристических энергиях электронов 1 и 4 кэВ, соответственно. Это на два порядка величины превышает пиковое значение NO, образованное в тепловом канале. Полученные выводы справедливы и для вертикальных лучевых концентраций NO.
- Полученные результаты, в свою очередь, крайне важны для определения стратегии поиска атмосферного биомаркера NO с помощью планируемой к запуску обсерватории Спектр-УФ в атмосферах экзопланет земного типа, находящихся в пределах ЗПО у активных звезд. Дело в том, что для надежного обнаружения этой молекулы в атмосферах экзопланет необходимо, чтобы ее содержание по всей высоте атмосферы было достаточно высоким [9, 10]. Оценки показывают, что лучше всего для поиска данной молекулы подходят экзопланеты в ЗПО у активных родительских звезд, так как атмосферы данных планет достаточно нагреты и, следовательно, расширены, что увеличивает шансы для обнаружения сигнала пропускания света в спектральных полосах NO (γ-полосы) в ближнем ультрафиолетовом диапазоне (205–248 нм) [10]. Полученное в расчетах значительное образование окиси азота при возмущениях в звездном ветре и последующих высыпаниях высокоэнергичных электронов в атмосферах экзопланет, в свою очередь, может улучшить условия для обнаружения данной молекулы с помощью космической обсерватории Спектр-УФ. Во всяком случае, учет данного фактора позволит расширить количество экзопланет — потенциальных объектов наблюдения.
ФИНАНСИРОВАНИЕ
Работа выполнена при поддержке Российского научного фонда (проект 22-12-00364).
КОНФЛИКТ ИНТЕРЕСОВ
Авторы данной работы заявляют, что у них нет конфликта интересов.
1 https://github.com/bjodah/pyodesys
2 https://github.com/bjodah/pycvodes
3 https://github.com/rilma/pyIRI2016
About the authors
V. I. Shematovich
Institute of Astronomy of Russian Academy of Sciences
Author for correspondence.
Email: shematov@inasan.ru
Russian Federation, Moscow
D. V. Bisikalo
Institute of Astronomy of Russian Academy of Sciences; National Center of Physics and Mathematics
Email: shematov@inasan.ru
Russian Federation, Moscow; Sarov
G. N. Tsurikov
Institute of Astronomy of Russian Academy of Sciences
Email: shematov@inasan.ru
Russian Federation, Moscow
A. G. Zhilkin
Institute of Astronomy of Russian Academy of Sciences
Email: shematov@inasan.ru
Russian Federation, Moscow
References
- H. Lammer, L. Sproß, J. L. Grenfell, et al., Astrobiology 19, № 7, 927–950 (2019).
- L. Sproß, M. Scherf, V. I. Shematovich, et al., Astronomy Reports 65, 275–296 (2021).
- C. P. Johnstone, M. Güdel, H. Lammer, K. G. Kislyakova, Astron. and Astrophys. 617, № A107, 36 (2018).
- A. Nakayama, M. Ikoma, N. Terada, Astrophys. J. 937, № 72, 18 (2022).
- A. Coustenis and F. Taylor Titan: Exploring an Earthlike World (Second Edition: Series on Atmospheric, Oceanic and Planetary Physics, 4, 412, 2008).
- S. D. Domagal-Goldman, A. Segura, M. W. Claire, et al., Astrophys. J. 792, № 90, 15 (2014).
- A. Misra, V. Meadows, M. W. Claire, D. Crisp, Astrobiology 14, № 2, 67–86 (2014).
- E. W. Schwieterman, S. L. Olson, D. Pidhorodetska, C. T. Rein -hard, et al., Astrophys. J. 937, № 109, 22 (2022).
- Г. Н. Цуриков, Д. В. Бисикало, Астрон. Журн. 100, № 2, 144–165 (2023).
- Г. Н. Цуриков, Д. В. Бисикало, Астрон. Журн. 100, № 11, 987–1004 (2023).
- C. A. Barth, D. N. Baker, K. D. Mankoff, S. M. Bailey, Geophys. Res. Lett. 28, № A1, 1463–1466 (2001).
- C. A. Barth, K. D. Mankoff, S. M. Bailey, S. C. Solomon, J. Geophys. Res. 108, 1027–1038 (2003).
- C. A. Barth, S. C. Bailey, S. C. Solomon, Geophys. Res. Lett. 26, 1251–1254 (1999).
- J. C. Gérard, C. A. Barth, J. Geophys. Res. 82, 674–680 (1977).
- H. Dothe, J. W. Duff, R. H. Sharma, N. B. Wheeler, et al., J. Geophys. Res. 107, № A1, 9 (2002).
- C. Sætre, C. A. Barth, J. Stadsnes, J. Geophys. Res. 112, № A08306, 11 (2007).
- V. I. Shematovich, D. V. Bisikalo, and J. C. Gérard, Geophys. Res. Lett. 18, 1691–1693 (1991).
- V. I. Shematovich, D. V. Bisikalo, and J. C. Gérard, Annales Geophysicae 10, 792–801 (1992).
- J. C. Gérard, V. I. Shematovich, and D. V. Bisikalo, Geophys. Res. Lett. 18, 1695–1697 (1991).
- J.-C. Gérard, V. I. Shematovich, and D. V. Bisikalo The Upper Mesosphere and Lower Thermosphere: A Review of Experiment and Theory (Geophysical Monograph Series, 87, 235–242, 1995).
- J.-C. Gérard, D. V. Bisikalo, V. I. Shematovich, and J. W. Duff, J. Geophys. Res. 102, № A1, 285–292 (1997 ).
- D. E. Siskind, C. A. Barth, and R. G. Roble, J. Geophys. Res. 94, № A12, 16885–16898 (1989).
- D. E. Siskind, C. A. Barth, D. S. Evans, and R. G. J. Roble, Geophys. Res. 94, № A12, 16899–16911 (1989).
- D. Bisikalo, V. Shematovich, B. Hubert, Universe 8, 437–451 (2022).
- S. C. Solomon, J. Geophys. Res. 106, 107–116 (2001).
- S. C. Solomon, J. Geophys. Res. Space Physics 122, 7834–7848 (2017).
- V. I. Shematovich, D. V. Bisikalo, J.-C. Gérard, et al., J. Geophys. Res. 113, № E02011, 9 (2008).
- V. Shematovich, D. Bisikalo, G. Tsurikov, Atmosphere 14, № 1092, 15 (2023).
- D. V. Bisikalo, V. I. Shematovich, P. V. Kaygorodov, A. G. Zhil- kin, Physics Uspiekhy 64, 747–800 (2021).
- V. I. Shematovich, Russian Chemical Reviews 88, 1013–1045 (2019).
- T. Tabata, T. Shirai, M. Sataka, H. Kubo, Atom. Data and Nucl. Data Tables 92, № 3, 375–406 (2006).
- Y. J. Itikawa Phys. and Chem. Ref. Data 35, 31–53 (2006).
- Y. J. Itikawa Phys. and Chem. Ref. Data 38, 1–20 (2009).
- K. Anzai, H. Kato, M. Hoshino, et al., European Physical Journal D 66, № 36, 36 (2012).
- H. S. Porter, C. H. Jackman, A. E. S. Green, J. Chem. Phys. 65, 154–167 (1976).
- C. H. Jackman, R. H. Garvey, A. E. S. Green, J. Geophys. Res. 82, 5081–5090 (1977).
- M. Ya. Marov, V. I. Shematovich, D. V. Bisikalo, Space Science Reviews 76, 1–202 (1996).
- P. C. Cosby, J. Chem. Phys. 98, 9544–9553 (1993).
- C. W. Walter, P. C. Cosby, H. Helm, J. Chem. Phys. 99, 3553–3561 (1993).
- A. E. Hedin, J. Geophys. Res. 96, 1159–1172 (1991).
- R. A. Sultanov, N. J. Balakrishnan, Chem. Physics 124, №124321, 7 (2006).
- D. Bermejo-Pantaleón, B. Funke, M. López-Puertas, et al., J. Geophys. Res.: Space Physics 116, № A10, 24 (2011).
- L. Vejby-Christensen, D. Kella, H. B. Pedersen, and L. H. An -derson, Phys. Rev. A 57, 3627 (1998).
- А. Г. Жилкин, Ю. Г. Гладышева, В. И. Шематович, Д. В. Би- сикало, Астрон. Журн. 100, № 12, 1190–1209 (2023).
- S. D. Cohen, A. C. Hindmarsh, P. F. Dubois, Computers in physics 10, № 2, 138–143 (1996).
- D. Bilitza, D. Altadill, V. Truhlik, V. Shubin, et al., Space Weather 15, 418–429 (2017).
- S. M. Bailey, J. Geophys. Res. 107, № A8, 1205–1227 (2002) .
- C. A. Barth, Planet. Space Sci. 40, 315–336 (1992).
- P. M. Banks, G. Kockarts Aeronomy (New York: Academic Press, 430, 1973).
- R. G. Roble The Upper Mesosphere and Lower Thermosphere: A Review of Experiment and Theory (ed. by R. M. Johnson and T. L. Killeen, Geophysical Monograph, London, 1995) .
- D. T. Decker, B. V. Kozelov, B. Basu, et al., J. Geophys. Res. 101, 26947–26960 (1996) .
- R. J. Redmon, W. F. Denig, L. M. Kilcommons, K. J. Knipp, J. Geophys. Res.: Space Physics 122, № 8, 9056–9067 (2017).
- N. Balakrishnan, A. Dalgarno, Chemical Physics Letters 302, 485–488 (1999).
- E. C. Zipf, R. W. McLaughlin, Planet. Space Sci. 26, 449 (1978).
- W. L. Borst, E. C. Zipf, Phys. Rev. A 1, 834 (1970).
- F. D. Colegrove, W. B. Hanson, and F. S. Johnson, J. Geophys. Res. 70, 4931 (1965).
- J. Kasting, D. Whitmire, and R. Reynolds, Icarus 101, № 1, 108–128 (1993).
- R. K. Kopparapu, R. Ramirez, J. F. Kasting, V. Eymet, et al., Astrophys. J. 765, № 2, 16 (2013).
- Б. Ф. Гордиец, Ю. Н. Куликов, М. Н. Марков, М. Я. Маров, Труды ФИАН 130, 28 (1982).
- A. Dalgarno, Ann. Geophys. 20, 65–74 (1964).
- A. Dalgarno, I. D. Latimer, J. W. McConkey, Planet. Space Sci. 13, № 1008–1009 (1965).
- J. A. Whalen, R. R. O’Neil, R. H. Picard Handbook of Geophysics and the Space Environment (ed. A. S. Jursa, Air Force Geophysics Laboratory Hanscom AFB, MA, 12, 12-1–12-42, 1985).
- M. J. Seaton, J. Atmos. Terr. Phys. 4, № 6, 285–294 (1954).
- И. С. Саванов, Астрофизический бюллетень 76, № 2, 202–209 (2021).
- J. L. Linsky, M. Güdel Characterizing Stellar and Exoplanetary Environments (ed. H. Lammer, M. Khodachenko, Astrophysics and Space Science Library, Springer, 3–16, 2015).
- J. L. Linsky, R. Bushinsky, T. Ayres, J. Fontenla, K. France, Astrophys. J. 745, № 25, 8 (2012).
- I. Ribas, E. F. Guinan, M. Güdel, M. Audard, Astrophys. J. 622, № 1, 680–694 (2005).
- I. Ribas, G. F. Porto de Mello, L. D. Ferreira, E. Hébrard, et al., Astrophys. J. 714, № 1, 384–395 (2010).
- M. W. Claire, J. Sheets, M. Cohen, I. Ribas, et al., Astrophys. J. Suppl. Ser. 757, № 95, 12 (2012).
- M. Güdel, E. F. Guinan, S. L. Skinner, Astrophys. J. 483, 947–960 (1997).
- B. E. Wood, H. R. Müller, G. P. Zank, J. L. Linsky, S. Redfield, Astrophys. J. 628, L143–L146 (2005).
- B. E. Wood, J. L. Linsky, M. Güdel Exoplanet Host Star Radiation and Plasma Environment (ed. H. Lammer, M. Khodachenko, Characterizing Stellar and Exoplanetary Environments. Astrophysics and Space Science Library, Springer, 19–32, 2015).
- A. A. Vidotto, Living Reviews in Solar Physics 18, № 3, 86 (2021).
- M. L. Khodachenko, I. Ribas, H. Lammer, J. M. Grießmeier, et al., Astrobiology 7, № 1, 167–184 (2007).
- A. Cherenkov, D. Bisikalo, L. Fossati, C. Mostl, Astrophys. J. 846, № 1, 31 (2017).
Supplementary files











