V957 Cер – затменная система нулевого возраста
- Авторы: Волков И.М.1, Нароенков С.А.2, Кравцова А.С.1
-
Учреждения:
- Московский государственный университет им. М. В. Ломоносова
- Институт астрономии Российской академии наук
- Выпуск: Том 101, № 5 (2024)
- Страницы: 436-454
- Раздел: СТАТЬИ
- URL: https://bakhtiniada.ru/0004-6299/article/view/272695
- DOI: https://doi.org/10.31857/S0004629924050044
- EDN: https://elibrary.ru/JNXEFR
- ID: 272695
Цитировать
Полный текст
Аннотация
Новые высокоточные фотометрические измерения системы V957 (P = 1.99d, V = 11.17m, e = 0.127, B6 V+B8 V), а также комплексный подход к определению параметров орбиты как на основе фотометрических решений кривых блеска, так и на основе исследования хода остаточных уклонений моментов минимумов от линейной формулы O – C, позволили впервые точно измерить скорость апсидального вращения = 2.91°/год, что совпало с теоретическим значением при условии синхронизма, = 2.92°/год. Получены физические параметры звезд-компонентов: T1 = 14550 ± 300 K, M1 = 4.0 ± 0.2 M•, R1 = 2.55 ± 0.05 R•, T2 = 12400 ± 250 K, M2 = 3.0 ± 0.15 M•, R2 = 1.88 ± 0.05 R•. Данному набору параметров соответствуют звезды нулевого возраста, недавно «опустившиеся» на начальную главную последовательность. Вторичный компонент является пульсирующей переменной звездой типа β Цефея.
Ключевые слова
Полный текст
ВВЕДЕНИЕ
V957 Cep была открыта как затменная переменная с эллиптической орбитой в работе Отеро и др. [1] на основании данных фотометрического обзора ROTSE [2]. Фаза вторичного минимума, которая была определена в этом исследовании, ФII = 0.56, указывала на заметный эксцентриситет орбиты. Наша наблюдательная программа [3] направлена в первую очередь на изучение затменных звезд с эллиптическими орбитами, поэтому V957 Cep была включена в список для наблюдений, но при этом длительное время должного внимания системе не уделялось ввиду относительной простоты ее наблюдений: из-за небольшого орбитального периода, близкого двум суткам, минимумы следуют каждую ночь. Всегда находилась более приоритетная задача по исследованию других звезд списка, с большим значением периода, моменты ослабления блеска которых выпадают на ночное время гораздо реже, зафиксировать которые значительно сложнее.
Тем не менее, V957 Cep привлекла внимание других исследователей, и в работе Козыревой и др. [4] было впервые обнаружено апсидальное движение и построена геометрическая модель V957 Cep. Последующие исследования Козыревой с соавторами [5, 6, 7] позволили накопить данные о точных моментах минимумов и попытаться уточнить скорость апсидального вращения. Величина долготы периастра, измеренная в работе [7] из решения наиболее поздней по времени кривой блеска (наблюдения TESS [8]), свидетельствовала о том, что в ближайшее время значение долготы периастра эллиптической орбиты V957 Cep должно пройти через ноль, т. е. графики уклонений O – C моментов минимумов от линейной формулы должны пройти экстремумы — максимум для вторичных и минимум для главных минимумов. Такая ориентация орбитального эллипса дает уникальную возможность наиболее точно измерить эксцентриситет орбиты, что, в свою очередь, гарантирует высокую точность всех последующих измерений скорости апсидального вращения. Известно, что в решении кривых блеска значения эксцентриситета и долготы периастра являются связанными параметрами, надежно из кривой блеска можно определить только e sin ω, параметры по отдельности измеряются с большей ошибкой.
Кроме того, в более поздней работе [7] значение скорости апсидального вращения было уменьшено авторами в полтора раза в сравнении с первоначальными измерениями, и это ставило вопрос о надежности полученного значения.
Таким образом, большое расхождение в измерениях скорости апсидального вращения и благоприятная для измерений эксцентриситета ориентация орбиты стимулировали нас предпринять интенсивные наблюдения V957 Cep осенью 2022 и 2023 гг.
НАБЛЮДЕНИЯ
Наблюдения были проведены (1) на Звенигородской обсерватории ИНАСАН с помощью автоматического телескопа Celestron RASA 11ʹʹ, в кассегреновском фокусе которого установлена камера ZWO ASI 6200 MM PRO; (2) в центре коллективного пользования «Терскольская обсерватория» ИНАСАН на малом роботизированном телескопе Астросиб RC–500 с ПЗС-камерой FLI Proline 16803; (3) в Уссурийской обсерватории Института прикладной астрономии на телескопе Астросиб RC–500 с ПЗС-камерой ZWO ASI 6200 MM PRO. Журнал наблюдений с указанием обсерваторий, использовавшейся аппаратуры и количества измерений приведен в табл. 1.
Таблица 1. Журнал наблюдений
Год | HJD 2 400 000+ | N | Телескоп и приемная аппаратура |
2022 | 59 877 | 602 | Celestron RASA 11ʹʹ, Звенигородская обсерватория ИНАСАН, ZWO ASI 6200 MM PRO, V |
2022 | 59 878 | 346 | Астросиб RC-500, Терскол, FLI Proline 16803, без фильтра (широкий R) |
2022 | 59 881 | 289 | ʹʹ |
2022 | 59 882 | 446 | Астросиб RC-500, Терскол, FLI Proline 16803, Rc |
2022 | 59 883 | 360 | Астросиб RC-500, Терскол, FLI Proline 16803, B |
2022 | 59 885 | 210 | ʹʹ |
2022 | 59 890 | 384 | ʹʹ |
2022 | 59 891 | 231 | Астросиб RC-500, Терскол, FLI Proline 16803, Rc |
2022 | 59 892 | 475 | ʹʹ |
2022 | 59 894 | 64 | ʹʹ |
2022 | 59 895 | 216 | ʹʹ |
2022 | 59 896 | 439 | ʹʹ |
2022 | 59 897 | 78 | Цейсс-600, Словакия, FLI, UBVRcIc |
2022 | 59 898 | 446 | Астросиб RC-500, Терскол, FLI Proline 16803, Rc |
2022 | 59 899 | 202 | ʹʹ |
2022 | 59 905 | 501 | Астросиб RC-500, Уссурийск, ZWO ASI 6200 MM PRO, V |
2023 | 60 193 | 202 | Астросиб RC-500, Терскол, FLI Proline 16803, V |
2023 | 60 198 | 169 | ʹʹ |
2023 | 60 199 | 207 | ʹʹ |
2023 | 60 202 | 130 | ʹʹ |
2023 | 60 203 | 228 | ʹʹ |
2023 | 60 204 | 101 | ʹʹ |
2023 | 60 206 | 195 | ʹʹ |
2023 | 60 207 | 144 | ʹʹ |
2023 | 60 208 | 287 | ʹʹ |
2023 | 60 211 | 147 | ʹʹ |
2023 | 60 212 | 120 | ʹʹ |
2023 | 60 215 | 253 | ʹʹ |
2023 | 60 218 | 388 | ʹʹ |
2023 | 60 224 | 233 | ʹʹ |
2023 | 60 225 | 360 | Астросиб RC-500, Терскол, FLI Proline 16803, Rc |
2023 | 60 229 | 227 | Астросиб RC-500, Терскол, FLI Proline 16803, V |
2023 | 60 230 | 378 | ʹʹ |
2023 | 60 231 | 255 | ʹʹ |
2023 | 60 232 | 226 | ʹʹ |
Примечание. HJD — гелиоцентрическая юлианская дата, N — количество измерений.
UBVRcIc привязка была сделана авторами на обсерватории Словацкого Астрономического института в Старой Лесне с помощью 60-см телескопа Цейсс–600 и ПЗС камеры FLI в ноябре 2022 г.
Обработка кадров ПЗС-матриц проводилась с помощью программы Maxim DL 5, в качестве основной звезды сравнения была использована GSC 4487 499 (V = 12.36, Sp G5, E (B – V) = 0.17). Эта звезда была выбрана вследствие малого углового расстояния до переменной, 1.6ʹ, и близости к исследуемой звезде по яркости. Соблюдение этих двух условий при наблюдениях с ПЗС-матрицами оказывается более важным, чем близость звезд по показателям цвета, которые в данном случае разнятся на ∆(B –V) = 0.5m , где переменная является более голубой звездой. Проведенные ранее эксперименты при наблюдении других звезд программы показали, что при разности показателей цвета ∆(B –V) ≈ 1.5 поправки в разности блеска двух звезд в полосе V для равнинной обсерватории не превышают 0.002m при изменении воздушной массы на 1.5. При этом для полосы B они составляют в среднем 0.06 m . Так как наблюдаемая область расположена вблизи небесного полюса, то ее воздушная масса за время самых длительных циклов непрерывных измерений менялась медленно и не более чем на 0.23 в B и на 0.5 в V, Rc, R. Таким образом, максимальный дрейф за счет изменения воздушной массы в ходе наших наблюдений не превышал 0.0002 m в полосах V, Rc, R и 0.003 m в полосе B, что в двадцать пять раз меньше точности наблюдений в V, Rc, R и в четыре раза меньше ошибки в B. Поэтому выбор данной звезды сравнения вполне оправдан. Для контроля переменности основной звезды сравнения измерялась также звезда GSC 4487 225 (V = 12.46, Sp G5, E (B – V) = 0.0), см. табл. 2 и рис. 1. В пределах ±0.008m разница блеска контрольной звезды и звезды сравнения оставалась на протяжении всего периода наблюдений постоянной.
Таблица 2. Звездные величины V957 Cep на плато и звезд сравнения в системе Джонсона-Казинса
Звезда | V | U – B | B – V | V – Rc | Rc – Ic | Примечание |
V957 Cep | 11.170 ± 0.007 | –0.107 ± 0.012 | 0.364 ± 0.007 | 0.216 ± 0.015 | 0.274 ± 0.015 | переменная, плато |
V957 Cep, A | 11.691 ± 0.007 | –0.233 ± 0.025 | 0.271 ± 0.007 | 0.169 ± 0.015 | 0.206 ± 0.020 | главный компонент |
V957 Cep, B | 12.586 ± 0.007 | 0.021 ± 0.025 | 0.344 ± 0.020 | 0.244 ± 0.015 | 0.191 ± 0.025 | вторичный компонент |
GSC 4487 499 | 12.359 ± 0.011 | 0.300 ± 0.024 | 0.868 ± 0.013 | 0.600 ± 0.016 | 0.607 ± 0.016 | основная звезда сравнения |
GSC 4487 225 | 12.458 ± 0.012 | 0.217 ± 0.035 | 0.695 ± 0.012 | 0.437 ± 0.017 | 0.413 ± 0.013 | контрольная звезда |
Рис. 1. Двухцветная диаграмма (U – B), (B –V). Крестиком показано положение V957 Cep. Черные кружки — показатели цвета всех компонентов, включая третий свет. Пустые кружки — индивидуальные показатели цвета, исправленные за межзвездное покраснение. Сплошная линия соответствует нормальным показателям цвета звезд пятого класса светимости согласно [9]. Серый фон — данные каталога [10]. Косые крестики — звезды сравнения
Экспозиции были выбраны достаточно продолжительными, 60 секунд во всех фотометрических полосах. Это позволило минимизировать влияние атмосферных мерцаний, ограничивающих точность при наблюдениях на инструментах с небольшим диаметром объектива. Дополнительное усреднение не потребовалось, точность отдельного измерения составила ±(0.004m – 0.006m) в полосах V, Rc и при наблюдениях без светофильтра (сверхширокая полоса Джонсона R), а в полосе B она равна ±0.01m. Условия наблюдений за весь период были хорошими, небольшая облачность проходила через исследуемую область лишь считанные разы. В таких случаях, наблюдения усреднялись так, чтобы точность среднего была не хуже ±0.005 m . Количество усредненных кадров могло доходить до 10, но таких точек немного. Несколько сильно уклоняющихся точек (отбросы) было исключено из окончательного массива данных, который составил 9825 измерений, из них 4218 точек в V.
Все наблюдения доступны в базе данных CDS через анонимный ftp cdsarc.u-strasbg.fr (130.79.128.5) или по приведенной ниже ссылке1. Образец этой таблицы представлен в табл. 3. В первом столбце приведена Юлианская гелиоцентрическая дата наблюдения, отнесенная к середине экспозиции, во второй — звездная величина V957 Cep.
Таблица 3. Таблица индивидуальных наблюдений
JDhel | Δm |
2 459 877.16784 | 11.3713 |
2 459 877.16874 | 11.3827 |
2 459 877.16964 | 11.3832 |
2 459 877.17053 | 11.3904 |
2 459 877.17143 | 11.3899 |
Примечание. Образец наблюдений, приведенных в базе данных CDS. В первом столбце дана Юлианская гелиоцентрическая дата наблюдения, отнесенная к середине экспозиции, во второй — звездная величина V957 Cep.
Наблюдения были осложнены тем фактом, что согласно [4] V957 Cep является оптической двойной. Наши наблюдения данный факт подтвердили, вклад оптического спутника в общий блеск системы велик, достигает по нашим данным 9% в полосе V . Когда в одну из ночей с секундными изображениями мы сумели измерить величины спутника и расстояние до него, V = 13.81 ± 0.01m, ρ = 3.59 ± 0.05ʺ, ϑ = 170.1 ± 0.05°, нам пришлось переобработать уже полученный материал, применив большую апертуру, при которой блеск спутника измеряется вместе с блеском звезды. Если этого не сделать, то вследствие мерцаний вклад спутника окажется переменным, это существенно снизит точность кривой блеска и уменьшит достоверность получаемых из ее решения параметров.
Помимо собственных наблюдений, в данном исследовании были задействованы массивы данных TESS, которые состоят из трех наблюдательных циклов длительностью 49, 54 и 23 суток. В первых двух циклах измерения идут с интервалом 30 минут, в последнем — 10 минут. Всего доступно 5258 измерений TESS. Мы обнаружили, что глубины минимумов в первых двух циклах наблюдений TESS значительно превышают измеренные нами. Это можно объяснить тем, что в этих наблюдательных циклах оптический спутник вклада в общий блеск системы не вносил. Вероятно, компоненты оптической двойной V957 Cep в этих наблюдениях были разделены. Это подтверждается нулевой долей третьего света, полученной нами из решения этих данных, см. второй столбец табл. 4. Но в наблюдениях третьего, самого короткого цикла TESS, глубины минимумов значительно меньше. Вероятно, при обработке этих данных, блеск спутника был включен в общий блеск V957 Cep (см. третий столбец табл. 4). Подробности обработки измерений данного объекта в программе TESS нам неизвестны, но в дальнейшем мы будем действовать в рамках принятой гипотезы.
Таблица 4. Элементы, полученные из решений кривых блеска
Параметр | TESS L3 = 0 | TESS L3 ≠ 0 | B | V | Rc | R, с/ш | Среднее |
JD | 58 793 | 59 732 | 59 883 | 59 877 | 59 891 | 59 881 | – |
r1 | 0.1970(1) | 0.1943(12) | 0.1968(6) | 0.1943(3) | 0.1958(5) | 0.193(2) | 0.1967(3) |
r2 | 0.1492(2) | 0.1500(20) | 0.1518(7) | 0.1490(6) | 0.1487(9) | 0.152(3) | 0.1492(1) |
i, ° | 87.146(1) | 85.97(1) | 87.57(1) | 86.54(1) | 86.15(1) | 85.78(1) | 87.09(6) |
e | 0.1265(1) | 0.1240(2) | 0.1244(7) | 0.1232(2) | 0.1266(3) | 0.1259(4) | 0.1266(2) |
ω, ° | 7.30(1) | 10.20(1) | 13.39(3) | 14.309(7) | 17.584(8) | 15.72(1) | – |
L1 | 0.6794(6) | 0.577(7) | 0.5985(14) | 0.6282(20) | 0.6256(30) | 0.635(13) | – |
L3 | 0.000(1) | 0.144(2) | 0.125(5) | 0.088(8) | 0.080(3) | 0.064(5) | – |
J2 / J1 | 0.851(3) | 0.805(3) | 0.811(9) | 0.794(3) | 0.806(3) | 0.763(9) | – |
u1 | 0.222 | 0.222 | 0.365 | 0.299 | 0.256 | 0.235 | – |
u2 | 0.248 | 0.248 | 0.402 | 0.346 | 0.286 | 0.263 | – |
N | 917 | 385 | 805 | 3457 | 1866 | 505 | – |
0.0040 | 0.0029 | 0.0119 | 0.0068 | 0.0051 | 0.0041 | – |
Примечание. JD приведена в формате 2 400 000+; R, с/ш — сверхширокая полоса R.
Мы использовали такую же методику наблюдений и редукции данных, что и в предыдущих работах [11, 12, 13, 14, 15]. Окончательные элементы искались методом дифференциальных поправок с определением формальных ошибок варьируемых параметров.
ЗВЕЗДНЫЕ ВЕЛИЧИНЫ И МЕЖЗВЕЗДНОЕ ПОГЛОЩЕНИЕ
На момент начала нашей работы измерения переменной в полосах BVR системы Джонсона были опубликованы в работах [4, 5], в которых приведены результаты одной единственной привязки V957 Cep к звезде HD 222956, величины которой были взяты из каталога ГАИШ [16]. Небольшое отличие данных в этих двух работах является, по-видимому, результатом формального вычета из общего блеска системы доли света оптического спутника [5]. Отсутствие измерений в ультрафиолете не позволяло надежно определить межзвездное поглощение. Таким образом, в связи с недостаточностью фотометрических данных, мы провели независимое определение величин переменной на плато. Измерения были выполнены в обсерватории Старая Лесна Астрономического института Словацкой Академии Наук в фотометрической системе, близкой UBVRcIc Джонсона-Казинса (см. табл. 1). В качестве основного стандарта была взята исследованная нами ранее звезда V1103 Cas [17], которая расположена на небе недалеко от исследуемой области. Величины V1103 Cas нами неоднократно определялись как близкими привязками к постоянным звездам из каталога ГАИШ [16], так и к экваториальным стандартам из работы [18]. Блеск V1103 Cas на плато можно считать постоянным, компоненты ее являются практически идентичными звездами и, что особенно важно, межзвездное поглощение E (B – V) = 0.61m достаточно близко к значению поглощения для V957 Cep, E (B – V) = 0.42m. Последнее условие минимизирует ошибку перевода из инструментальных величин ПЗС-фотометра в Старой Лесне в стандартную систему Джонсона-Казинса. Результаты измерений переменной на плато и звезд сравнения представлены в табл. 2 и отображены на рис. 1 в виде косых крестиков. В этих данных учтена физическая переменность V957 Cep: с помощью формулы (1) из раздела 4 была определена фаза пульсаций на момент UBVRcIc — привязки и внесена соответствующая поправка.
Величины в системе Джонсона, приведенные в работе [17, табл. 2], были преобразованы в систему Rc , Ic Казинса по формулам из работы Тейлора [19]. По формуле из этой же работы была определена величина R Джонсона на плато: R = 10.840 ± 0.02m. Эту величину следует вычесть от данных в полосе R из табл. 3 для приведения величин переменной между минимумами к нулю. Для приведения уровня между минимумами к нулю в других фотометрических полосах следует использовать величины на плато из табл. 2.
С помощью двухцветной диаграммы U–B , B–V (см. рис. 1) было определено значение межзвездного поглощения E (B – V) = 0.42 ± 0.01m. Эта величина превышает значение из обзора [20]: E (B – V) = mag. Но говорить об избыточном поглощении, как это было определено нами ранее для некоторых молодых затменных звезд с эллиптическими орбитами (GG Ori [21], V944 Cep [22], V2544 Cyg [23] и V839 Cep [24]), преждевременно. Данные обзора для близкой к галактическому экватору области V957 Cep могут в дальнейшем быть исправлены.
Полученные за вычетом межзвездного поглощения и блеска оптического спутника показатели цвета дают нам возможность с помощью таблиц из работ [25, 26] определить температуру звезд-компонентов.
Средние показатели цвета каждого из компонентов были определены после решения кривых блеска и они также представлены на рис. 1 и в табл. 2.
ФИЗИЧЕСКАЯ ПЕРЕМЕННОСТЬ V957 CEP И РЕШЕНИЕ КРИВЫХ БЛЕСКА
После сведения всех наблюдений в полосе V в единый массив данных и первого решения кривой блеска обнаружилось, что наблюдения разных ночей повторяются неудовлетворительно. Ночные поправки, которые применяются для приведения всех наблюдений к нулевому внезатменному уровню (см., напр. [11, 27]), оказались слишком велики, и в наблюдениях в отдельные ночи наблюдаются тренды. Сначала было предположено, что имеют место чисто аппаратурные погрешности. Но по мере их устранения (попадание горячего пикселя на звезду сравнения или переменную, прохождение облака через область и т. д.), выяснилось, что и в блеске либо звезды сравнения, либо переменной, помимо затмений, присутствуют небольшие физические колебания. Полученные из показателей цвета V957 Cep температуры указывают на возможную принадлежность ее компонентов к звездам типа β Цефея («BC» в обозначениях ОКПЗ [28]), либо медленных пульсирующих переменных типа β Цефея («SBC»). На диаграмме Герцшпрунга-Рессела, представленной в работе Де Кампа [29, рис. 1], оба компонента попадают в область нестабильности для звезд указанных типов переменности. V957 Cep в данном отношении оказалась похожей на затменную переменную с быстрым апсидальным вращением AS Cam [30]. Соответственно был применен тот же самый подход к исследованию ее переменности.
Решение кривых блеска мы начали с самых многочисленных наблюдений, полученных в полосе V , всего 20 ночей. Была использована простая модель шаровых звезд с линейным законом потемнения к краю, поиск решения осуществлялся модифицированным методом дифференциальных поправок [31]. Сначала нами было получено предварительное решение кривой блеска, в котором пульсации не учитывались, их вклад просто увеличивал разброс O – C .
После получения предварительного набора параметров принятой модели системы, из наблюдений были устранены изменения блеска за счет затмений. Полученный массив данных был исследован с помощью программы, предложенной Волковым в работе [32]. По относительно большому разбросу остаточных уклонений в главном минимуме и по практически отсутствию его во вторичном, было установлено, что пульсирует именно вторичный компонент системы. Мы нашли предварительное значение периода, близкое к 0.66d, что составляет 1/3 орбитального периода. Амплитуда пульсаций в долях блеска вторичного компонента L2 составила 0.018(1). Это с учетом ночных поправок, на деле амплитуда должна быть выше. То есть, если бы вторичный компонент был одиночной звездой, то он бы пульсировал в пределах ±0.018m. После этого в алгоритм поиска периода были добавлены начальная фаза, амплитуда и период пульсаций. После получения очередного решения проводилось уточнение ночных поправок, число которых n соответствовало количеству дат наблюдений, т. е. n = 20 в случае V. Значительную помеху представляло наличие третьего света. Этот параметр сильно завязан на угол наклона орбиты к лучу зрения. Увеличение доли третьего света автоматически приводит к увеличению угла наклона орбиты системы для компенсации уменьшения глубины минимумов. При этом остаточные уклонения O – C меняются незначительно. Вследствие этого формальное решение в полосе V , например, «ушло» в сторону меньших значений третьего света, 0.05%, уменьшив одновременно угол наклона орбиты до i = 85.5°. Для выхода из создавшегося положения было необходимо попытаться зафиксировать хотя бы некоторые из величин, уменьшив число свободных параметров. В этом помощь оказало то, что нам удалось независимо измерить блеск оптического спутника в полосе V . Ограничив таким образом величину третьего света снизу, мы, путем нескольких итераций, получили решение, которое приведено в пятом столбце табл. 4. При этом линейные коэффициенты потемнения к краю выбирались на основании таблиц из работы [33] и в конце каждого цикла решений немного уточнялись в соответствии с новыми размерами и температурами звезд.
Дальнейший прогресс в получении наиболее точных параметров системы был достигнут с помощью наблюдений TESS, которым мы приписали полосу наблюдений близкую к Ic [8]. Этот массив был разбит на две неравные части. В первую и самую большую вошли наблюдения из первых двух циклов измерений TESS (см. предыдущий раздел). Хотя мы постулировали, что свет оптического спутника в данные измерения не попадает, мы все же оставили третий свет в качестве независимого параметра. Высокая точность наблюдений TESS позволила разделить все входящие в поиск связанные параметры и подтвердить отсутствие третьего света (см. второй столбец табл. 4). Из оставшихся наблюдений TESS было также получено решение, вклад третьего света оказался значительным (см. третий столбец табл. 4).
Так как наблюдения TESS равномерно распределены внутри интервалов наблюдений и охватывают период в 2.7 года, они были использованы для более подробного исследования пульсаций с помощью программы, предложенной в [32]. Было установлено, что период пульсаций на заданном интервале наблюдений оставался стабильным с сохранением начальной фазы. После добавления наших наблюдений в V , интервал наблюдений был увеличен до 4-х лет, а значение периода уточнено. Максимумы блеска пульсаций могут быть представлены формулой:
, (1)
где E — целое число; амплитуда изменений блеска между минимумами в полосе Ic (TESS) составляет ±0.009m. В результате полученные данные были включены в программу поиска решений кривых блеска в виде:
, (2)
где Tpuls — начальная эпоха, отнесенная к нулевому аргументу конкретной синусоиды, Ppuls — период пульсаций, Apuls — амплитуда. Были определены следующие, общие для всех кривых блеска, значения параметров пульсаций: Tpuls = 2458766.0335(5), Ppuls = 0.6642216(5). При этом Apuls = 0.02505(2) для наблюдений Ic (TESS) и 0.0181(2) при наблюдениях в полосе V. Для звезд типа β Цефея немного странный результат, амплитуда колебаний в более коротковолновом диапазоне должна была бы быть больше. Но здесь следует учесть тот факт, что при обработке наблюдений в полосе V мы должны были помимо пульсаций учитывать ночные поправки, вклад которых мог реально маскировать сами пульсации, особенно, при относительно коротких интервалах наблюдений в данную ночь.
Найденный период равен 1/3 орбитального периода, что является замечательным фактом и может быть использован в построении теории пульсаций звезд типа β Цефея. Можно предположить, что переменное, вследствие эллиптичности орбиты, гравитационное воздействие на внутренние области звезды играет роль балансира или маятника в часовом механизме.
Полученные в результате решения всех кривых блеска геометрические параметры были усреднены и окончательные данные представлены в восьмом столбце табл. 4. Мы вычисляли вес как , где σparam — формальное значение ошибки параметра, которое выдает программа дифференциальных поправок. Оно приведено в табл. 4 для каждого из параметров в скобках, σo – c — среднее квадратичное уклонение O – C для решения в конкретной фотометрической полосе (последняя строка в табл. 4), N — количество наблюдательных точек, использованных при решении в каждой конкретной полосе (предпоследняя строка табл. 4). Отметим, что вес значения угла наклона орбиты из решения кривых блеска TESS без третьего света было искусственно увеличен в 10 раз. Третий свет для решения в V принят из непосредственного измерения блеска оптического спутника. Поиск минимума уклонений O – C , включающий третий свет, привел к слишком малому значению как угла наклона орбиты, так и третьего света, соответственно 85.5° и L3 = 0.053. Это решение в табл. 4 не включено. Такое значение третьего света совершенно не удовлетворяет непосредственным измерениям. Ошибка решения V для этих значений меньше той, что приведена в табл. 4, всего на 0.0001m, т. е. дно минимума невязок имеет плоскую форму и допускает значительный разброс по углу наклона орбиты и третьему свету.
В среднее значение эксцентриситета вошло значение, которое мы получили из решения хода остатков уклонений моментов минимумов от линейной формулы, и которое приведено ниже в таблице 9 параметров апсидального движения, его вес был искусственно принят десятикратным от максимального веса значений эксцентриситета из табл. 4. Это значение, полученное совершенно независимым способом, равно e = 0.1267 (1). Тем удивительнее хорошее совпадение этой величины с теми, что получены нами из решения кривых блеска. Особенно близко оно совпало со значением из решения TESS без третьего света. Этот факт с одной стороны указывает на высокую достоверность полученных нами параметров, а с другой еще раз подчеркивает насколько значительной может оказаться ошибка в угле наклона орбиты при неправильном учете третьего света.
Теперь обратимся к наблюдениям в других полосах оптического диапазона, полученным нами в ходе данного исследования, B, Rc, R. Они составляют значительную долю общего массива данных, хотя и не так хорошо заполняют кривую блеска в минимумах, как наблюдения V. Для каждой из трех этих кривых блеска были получены независимые решения тем же методом, что и для наблюдений V. Разумеется, данные о пульсациях отдельно получить невозможно, и мы воспользовались формулой (2). Значительно меньшее количество этих данных обусловило не столь высокую точность получаемых параметров. Поэтому было решено вследствие их недостаточного веса в усреднение не включать. Противоречий с полученными из более точных кривых блеска параметрами не наблюдается. Но совсем бесполезными эти данные назвать нельзя. Взяв за основу параметры из последнего столбца табл. 4 мы варьировали только относительные светимости всех компонентов системы и получили относительный вклад в общий блеск системы каждого из компонентов (см. табл. 5). Данные из этой таблицы позволили нам разделить блеск всех трех компонентов. За основу были взяты измерения блеска на плато и относительные светимости в полосах V, Ic и Rc. Вычисленные на основе этих данных показатели цвета V – Rc , V – Ic были с помощью стандартных диаграмм, приведенных в монографии Страйжиса [9], преобразованы в показатели цвета B – V. Нам пришлось так поступить, потому что в нашем распоряжении имеются наблюдения в полосе B только в три ночи. Поэтому полученные непосредственно из решения относительные светимости компонентов (см. табл. 5) имеют для этой полосы слишком большие ошибки и не позволяют непосредственно определить этот показатель цвета с нужной точностью. Полученные показатели B – V каждого из компонентов определили их положение на диаграмме U – B, B – V (см. рис. 1, табл. 2). Наш опыт показывает, что полученные таким косвенным методом данные, хоть и должны иметь несколько большие ошибки, чем полученные непосредственно из решений высокоточных кривых блеска, но вполне достоверны. Полученные индивидуальные показатели цвета компонентов были исправлены за межзвездное покраснение (см. рис. 1). Из этого рисунка видно, что если не учитывать блеск спутника, то значение межзвездного поглощения окажется завышенным, «отбеленные» показатели цвета компонентов практически не изменятся.
Tаблица 5. Относительные светимости компонентов при одинаковой геометрической модели для всех фотометрических полос
Параметр | TESS L3 = 0 | TESS L3 ≠ 0 | B | V | Rc | R |
L1 | 0.6794(6) | 0.5593(7) | 0.618(2) | 0.6217(10) | 0.5952(3) | 0.6163(20) |
L3 | 0.000(1) | 0.1816(9) | 0.1041(10) | 0.1057(9) | 0.1252(3) | 0.1120(5) |
J2 / J1 | 0.848(3) | 0.801(3) | 0.809(8) | 0.7934(3) | 0.8057(10) | 0.7528(30) |
Apuls | 0.0248(5) | 0.0210(5) | 0.024(1) | 0.025(5) | 0.0258(5) | 0.0350(5) |
0.0042 | 0.0031 | 0.0120 | 0.0072 | 0.0055 | 0.0044 |
Все полученные решения представлены на рис. 2 и 3. Заметно, что остаточные уклонения в главном минимуме выше, чем во вторичном, даже после учета пульсаций. Вероятно, амплитуда и форма пульсаций могут меняться, оставаясь стабильными только в среднем.
Рис. 2. Наблюдения в полосе V в главном минимуме, полученные в данной работе (верхняя панель). Ниже представлены уклонения O – C наблюдаемых точек от модельных кривых для всех фотометрических полос. Ic — решение для наблюдений TESS в отсутствии третьего света; непосредственно под ними эти же наблюдения, но решенные методом Вильсона–Девинея (Ic W – D; Ic L3 — наблюдения TESS, в которых третий свет присутствует. Масштаб по вертикали одинаков для всех полос наблюдений, что дает наглядное представление как о точности наблюдений, так и о соответствии их найденной модели
Рис. 3. Наблюдения во вторичном минимуме, обозначения те же, что и на рис. 2
ВЛИЯНИЕ ИСКАЖЕНИЙ ФОРМЫ КОМПОНЕНТОВ НА ГЕОМЕТРИЧЕСКИЕ ПАРАМЕТРЫ
До сих пор мы не учитывали тот факт, что относительные размеры компонентов системы оказались значительными, близкими к 0.2 от большой полуоси орбиты. Поэтому форма звезд должна отличаться от идеального шара, они должны быть немного вытянуты навстречу друг другу, что увеличивает блеск звезды в квадратурах. Для оценки эффекта наиболее подходят наблюдения TESS, так как они равномерно покрывают всю кривую блеска. Здесь нас в первую очередь будут интересовать наблюдения между минимумами. Свернутые с орбитальным периодом они представлены на верхней панели на рис. 4. Хорошо видны две волны, соответствующие двум первым интервалам наблюдений TESS, в которых отсутствовал третий свет. Утроенный период пульсаций почти на 6 минут длиннее орбитального, за прошедшие между этими двумя сериями 70 циклов обращения звезд по эллиптической орбите фаза пульсаций сместилась почти на половину периода пульсаций, и они оказались в противофазе, что отлично видно на рисунке. Кривая блеска, свернутая с орбитальным периодом после устранения из наблюдений TESS пульсаций, представлена на средней панели рис. 4. Здесь уже хорошо видны горбы на фазах 0.29 и 0.79, которые соответствуют максимальным видимым наблюдателю размерам компонентов. Мы предприняли попытку решить исправленную от влияний пульсаций кривую блеска с помощью программы PHOEBE, реализующей алгоритм Вильсона-Девинея [34]. Остаточные уклонения решения представлены на нижней панели рис. 4. Среднеквадратичное уклонение отдельной точки составило ±0.0034m.
Рис. 4. Наблюдения TESS, свернутые с орбитальным периодом. На верхней панели представлены необработанные данные, масштаб по оси ординат увеличен, видны синусоидальные колебания на плато. На средней панели представлены эти же наблюдения, но исправленные за пульсации вторичного компонента. Заметны эффекты близости. На нижней панели представлены остаточные уклонения наблюдений от теоретической модели, построенной методом Вильсона–Девинея, σ = 0.0034m
Так как пользоваться набором параметров, составляющих основу метода, достаточно неудобно, то, учитывая, что форма компонентов не слишком сильно уклоняется от сферы, мы не приводим здесь потенциалы, определяющие форму звезд в модели Роша, а просто указываем, что средние радиусы компонентов следует в сравнении с данными табл. 4 увеличить на 0.0005. Что и было сделано нами при дальнейших вычислениях физических параметров системы. Температуры звезд были заданы в соответствии с полученными нами ранее показателями цвета, линейные коэффициенты потемнения к краю тоже, коэффициенты гравитационного потемнения и альбедо стандартные. Результат нельзя считать полностью удовлетворительным, ошибки до конца минимизировать не удалось. Вероятно, данная система является идеальным случаем для использования алгоритма Этцеля [35], в котором звезды представляются трехосными эллипсоидами.
АБСОЛЮТНЫЕ ПАРАМЕТРЫ СИСТЕМЫ, СРАВНЕНИЕ РЕЗУЛЬТАТОВ НАБЛЮДЕНИЙ С ТЕОРИЕЙ
Для V957 Cep отсутствуют спектральные наблюдения высокого разрешения, которые позволили бы построить кривую лучевых скоростей и непосредственно определить массы компонентов, а форма компонентов недостаточно искажена эффектами близости, чтобы из общей кривой блеска было бы возможно оценить отношение масс. В работе [5] приведен спектр грубого разрешения, из которого авторами сделана оценка спектрального класса объекта B7 V–A3 V. При этом не совсем понятно, измерялся ли одновременно спектр оптического компонента или нет. Если измерялся, то, возможно, спектр A3 V относится именно к нему. Также для V957 Cep известен параллакс GAIA DR3 π = 0.00071(1)''. На данный момент это все независимые данные о V957 Cep, которые можно получить не из решений кривых блеска. Полученные нами из решения кривых блеска показатели цвета хорошо соответствуют указанным спектрам, но вот значение фотометрического параллакса оказалось на 15% больше. Возможно, на определение параллакса спутником GAIA сильно влияет наличие у V957 Cep близкого оптического спутника.
Увеличив в соответствии с решением методом Вильсона–Девинея относительные размеры компонентов, мы с помощью косвенного метода, описанного впервые в работе [36] и более подробно в статье [37], определили абсолютные характеристики звезд. Результаты приведены в табл. 6. За основу были взяты температуры, полученные в соответствии с калибровками Поппера [26]. Калибровка Флауэра [25] предполагает температуру главного компонента почти на одну тысячу градусов меньше. Если принять эту калибровку, то расстояние до системы окажется еще на 10% ближе в сравнении с GAIA. Этот факт не может служить окончательным аргументом в выборе той или иной калибровки, но вкупе с тем, что в наших предыдущих работах уже отмечалась большая пригодность калибровки Поппера для ранних звезд, мы останавливаем свой выбор на ней. Отметим, что на возраст звезд выбор той или иной калибровки в данном случае не влияет.
Таблица 6. Абсолютные параметры V957 Cep
Параметр | Главный компонент | Вторичный компонент |
Масса, | 4.0 ± 0.2 | 3.0 ± 0.15 |
Радиус, | 2.55 ± 0.05 | 1.93 ± 0.04 |
Светимость, lg L | 2.40 ± 0.05 | 1.88 ± 0.05 |
–0.139 ± 0.022 | –0.066 ± 0.022 | |
–0.530 ± 0.032 | –0.265 ± 0.032 | |
Эффективная температура, T eff , K | 14 550 ± 300 | 12 400 ± 250 |
Спектральный класс | B6 V | B8 V |
Гравитационное ускорение, lg ɡ , см/с 2 | 4.242 ± 0.008 | 4.352 ± 0.006 |
Болометрическая поправка, B.C., mag | –1.26 | –0.815 |
Абс. визуальные величины, Mυ, mag | –0.01 ± 0.06 | 0.84 ± 0.05 |
Межзвездное поглощение, E (B – V), mag | 0.42 ± 0.01 | |
Большая полуось, a, R• | 12.69 ± 0.06 | |
Расстояние до системы, пк | 1200 ± 50 | |
Фотометрический параллакс, π,ʺ | 0.00083 ± 0.00004 | |
Возраст системы, млн. лет | 0.0 ± 20 | |
Поместив полученные абсолютные данные о звездах на эволюционные графики lg g – lg T и lg L – lg T (см. рис. 5, 6), Рис. 5, 6 мы оценили возраст компонентов. Оказалось, что главный компонент уже успел разместиться на Начальной Главной Последовательности (НГП), а вторичный расположен вблизи нее, но немного ниже, возможно заканчивая свою контракционную фазу. При этом полученные нами значения масс говорят о том, что химический состав звезд должен быть близким солнечному. Оба графика построены именно для солнечного химического состава. Более точный анализ будет возможен только после получения кривой лучевых скоростей для обоих компонентов затменной двойной.
Рис. 5. Эволюционные треки, показывающие зависимость ускорения свободного падения от температуры звезды, построенные по данным [38] для избранных масс звезд. Сплошной жирной линией показано положение Начальной Главной Последовательности, ZAMS. Главный компонент обозначен заполненным квадратом, вторичный — кружком. Показаны ошибки определения параметров. Для оценки масштаба сплошными кривыми линиями показаны изохроны для двух возрастов, указанных на рисунке, в млн. лет. Все теоретические данные приведены для солнечного химического состава
Рис. 6. Зависимость светимости звезд в солнечных единицах от температуры для избранных масс [38]. Обозначения те же, что и на рис. 5
Вычитая из блеска V957 Cep на плато из табл. 2 блеск компонентов, тоже представленный в этой таблице, получим следующие показатели цвета для оптического спутника: B – V = 0.876 ± 0.03m, V – B = 0.260 ± 0.03m. Принимая, что оптический спутник реально гравитационно связан с системой (это вполне вероятно, исходя из его углового расстояния до V957 Cep), мы можем определить его непокрасненные звездные величины как (B – V)0 = 0.466 ± 0.03m, (U — B)0 = –0.03 ± 0.03. Данным показателям цвета из калибровки Флауэра [25] соответствует температура T3 = 6400 K и болометрическая поправка (B.C.)3 = –0.001. Воспользовавшись простым алгоритмом косвенного метода для третьего света, описанным в работе [37], получим: M3 = 1.4M•, R3 = 1.6R•, lg g3 = 4.17. Мы не приводим ошибки, так как это простая оценка параметров оптического спутника, которую мы собираемся уточнить в дальнейшем специальными наблюдениями. Данный набор параметров соответствует уже заметно проэволюционировавшей звезде спектрального класса F5 V. Показатели цвета оптического спутника, вычисленные на основе данных табл. 5, отягощены значительными ошибками. К тому же, в фотометрической полосе V наблюдается значительное превышение третьего света, получаемого из решения кривых блеска, над измеренным непосредственно. Это может указывать на присутствие в системе дополнительного, четвертого компонента позднего спектрального класса, что будет обсуждаться в разделе 8.
ВРАЩЕНИЕ ЛИНИИ АПСИД
Первое определение периода апсидального вращения V957 Cep было получено в работе Козыревой и др. [4]. Он был определен в 160 лет. По мере накопления наблюдательного материала это значение уточнялось [5], и в результате авторы пришли к значению в полтора раза большему, 245 лет [7]. Нами было получено дополнительно 29 моментов минимумов в современную эпоху и на основании всего доступного материала определено точное значение периода апсидального вращения, которое оказалось равным половине последнего измерения, Uaps = 123 года. Использовавшиеся для анализа моменты минимумов приведены в табл. 7, 8. К непосредственно полученным нами моментам минимумов были добавлены моменты минимумов, определенные с помощью найденной в данном исследовании модели двойной системы с пульсирующим компонентом из наблюдений TESS. Также были использованы все имеющиеся в литературе данные. Наблюдения ROTSE в анализ включены не были ввиду их малой точности. В первом столбце табл. 7, 8 указан момент минимума, во втором — остаточные уклонения моментов минимумов O – C от линейной формулы, в третьем — то же самое, но после учета апсидального вращения.
Таблица 7. Индивидуальные моменты главных минимумов, использовавшиеся в работе
HJD (2 400 000+) | ɛ1, сутки | ɛ2, сутки | Примечание |
54 710.4925 (2) | –0.0760 | 0.0005 | [39] |
55 076.4176 (1) | –0.0776 | 0.0001 | [40] |
55 122.1578 | –0.0780 | –0.0002 | [5] |
55 806.2827 :: | –0.0773 | 0.0022 | [5] |
56 536.1511 :: | –0.0737 | 0.0067 | [5] |
57 558.3524 | –0.0808 | –0.0006 | [7] |
58 123.1541 | –0.0791 | 0.0003 | [7] |
58 125.1421 | –0.0798 | –0.0004 | [7] |
58 793.35851 (5) | –0.0775 | 0.0004 | TESS, данная работа |
58 986.26629 (5) | –0.0767 | 0.0006 | TESS, данная работа |
59 141.3869 | –0.0772 | –0.0004 | [7] |
59 732.04329 (5) | –0.0744 | 0.0003 | TESS, данная работа |
59 877.22079 | –0.0743 | –0.0003 | V, данная работа |
59 881.1974 (4) | –0.0752 | –0.0011 | R, данная работа |
59 883.1867 (3) | –0.0746 | –0.0006 | B, данная работа |
59 891.14197 | –0.0743 | –0.0003 | Rc, данная работа |
59 895.11937 | –0.0743 | –0.0004 | Rc, данная работа |
59 899.09708 | –0.0741 | –0.0001 | Rc, данная работа |
59 905.06328 | –0.0741 | –0.0002 | V, данная работа |
60 193.43095 | –0.0726 | 0.0000 | V, данная работа |
60 199.39669 | –0.0731 | –0.0005 | V , данная работа |
60 203.37406 | –0.0732 | –0.0006 | V, данная работа |
60 215.30730 | –0.0723 | 0.0002 | V, данная работа |
60 225.24989 | –0.0734 | –0.0009 | Rc, данная работа |
60 229.22841 | –0.0723 | 0.0001 | V, данная работа |
60 231.21612 | –0.0734 | –0.0009 | V, данная работа |
Примечание. В первом столбце указан момент минимума, ɛ1 — остаточные уклонения моментов минимумов O – C от линейной формулы, ɛ2 — то же самое, но после учета апсидального вращения.
Таблица 8. Индивидуальные моменты вторичных минимумов, использовавшиеся в работе
HJD (2 400 000+) | ɛ1, сутки | ɛ2, сутки | Примечание |
54 741.4657 (5) | 0.0719 | 0.0009 | [39] |
55 089.4949 (2) | 0.0729 | 0.0002 | [40] |
55 093.4725 (2) | 0.0731 | 0.0003 | [40] |
55 113.3595 | 0.0728 | –0.0001 | [7] |
55 121.3150 | 0.0733 | 0.0005 | [5] |
55 819.3656 :: | 0.0789 | 0.0031 | [5] |
56 533.3261 :: | 0.0844 | 0.0064 | [5] |
57 557.5182 | 0.0794 | –0.0007 | [7] |
58 649.3333 | 0.0804 | 0.0000 | [7] |
58 792.52311 (5) | 0.0815 | 0.0012 | TESS, данная работа |
58 842.2403 | 0.0804 | 0.0001 | [7] |
58 985.42955 (5) | 0.0809 | 0.0007 | TESS, данная работа |
59 733.19223 (5) | 0.0802 | 0.0013 | TESS, данная работа |
59 878.3678 (2) | 0.0783 | –0.0002 | R, данная работа |
59 882.34496 | 0.0780 | –0.0005 | Rc, данная работа |
59 890.2999 (2) | 0.0780 | –0.0005 | B, данная работа |
59 892.28932 | 0.0787 | 0.0002 | Rc, данная работа |
59 896.26691 | 0.0788 | 0.0003 | Rc, данная работа |
59 898.25525 | 0.0784 | –0.0001 | Rc, данная работа |
60 198.55356 | 0.0782 | 0.0005 | V, данная работа |
60 202.52956 | 0.0767 | –0.0010 | V, данная работа |
60 206.50823 | 0.0779 | 0.0003 | V, данная работа |
60 208.49611 | 0.0771 | –0.0006 | V, данная работа |
60 212.47368 | 0.0772 | –0.0005 | V, данная работа |
60 218.44018 | 0.0775 | –0.0001 | V, данная работа |
60 224.40600 | 0.0771 | –0.0005 | V, данная работа |
60 230.37251 | 0.0774 | –0.0002 | V, данная работа |
60 232.36202 | 0.0782 | 0.0006 | V, данная работа |
Примечание. В первом столбце указан момент минимума, ɛ1 — остаточные уклонения моментов минимумов от линейной формулы, ɛ2 — то же самое, но после учета апсидального вращения.
При поиске параметров апсидального движения использовалась минимизация остаточных уклонений O – C моментов минимумов, представленных с помощью формулы (27) из работы Гименеза и Гарсии-Пелайо [41]. В этой формуле учитываются пять первых членов разложения в ряд, что является даже некоторым избытком точности для имеющихся данных. Ввиду небольшого количества параметров и простоты вычислений поиск осуществлялся простым перебором. Ошибки полученного решения определяются ошибками исходных данных. Угол наклона орбиты к лучу зрения имеет малое влияние на конечный результат и был зафиксирован в соответствии с найденной моделью (см. последний столбец табл. 4). За начальную эпоху был принят момент, когда долгота периастра равнялась 90°, она также была включена в поиск. Другими параметрами были аномалистический период системы (однозначно связанный с периодом сидерическим), период апсидального вращения и эксцентриситет орбиты. На рис. 7 представлен ход невязок при поиске начальной эпохи. Видно, что минимум невязок определяется достаточно уверенно. На рис. 8 представлен ход уклонений моментов минимумов от линейной формулы под влиянием вращения линии апсид. Окончательно принятые параметры апсидального вращения и их ошибки представлены в табл. 9. Приведенное в этой таблице значение эксцентриситета очень точное и было использовано при построении модели двойной системы. Остаточные уклонения моментов минимумов от этой модели представлены во вторых столбцах табл. 7, 8. Странным оказался тот факт, что точность определения моментов главных минимумов, когда вклад переменного вторичного компонента в общий блеск системы максимален, лучше, чем для вторичных, соответственно ±0.0005 и ±0.0006 суток. Такое соотношение сохраняется и для имеющих наивысшую точность наблюдений TESS. С чем связан данный факт, пока неясно. Возможно, мы имеем дело с наличием на поверхности вторичного компонента медленно дрейфующих пятен достаточно большого размера, которые искажают форму именно вторичного минимума, приводя к увеличению ошибки определения момента.
Рис. 7. Ход остаточных уклонений O – C моментов минимумов в наилучшей модели апсидального вращения при разных значениях начальной эпохи, за которую принимается значение долготы периастра ω = 90°. Минимуму невязок соответствует дата JD 2 423 857
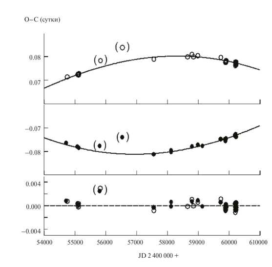
Рис. 8. Остаточные уклонения моментов минимумов от линейной формулы при P1 = P2 = Ps — сидерический период. Верхняя панель — вторичные минимумы, обозначены пустыми кружками. Средняя панель — главные минимумы (заполненные кружки). Сплошными линиями показан теоретический ход остатков O – C, построенный с параметрами из табл. 9. Ошибки определения моментов меньше размеров кружков. На нижней панели в более крупном масштабе показаны отклонения наблюдаемых точек от теоретических вычислений. Четыре точки из литературы, которые мы посчитали грубыми ошибками, взяты в скобки. На нижней панели одна пара этих точек ушла за верхний край рисунка
Таблица 9. Параметры апсидального движения V957 Cep
Параметр | Значение |
T0 (HJD), 2 400 000+ | 23 857 (50) |
Pan, сут | 1.988732604 (2) |
Ps, сут | 1.988644774 (2) |
| e | 0.12673(6) |
, °/год | 2.92 (2) |
| ω0, ° | 90 |
Uaps, годы | 123.3 (2) |
Примечание. Pan — аномалистический период системы, Ps — сидерический период; Uaps — период апсидального движения.
Теперь обратимся к теории. Найденные нами абсолютные параметры системы позволяют на основании теоретических расчетов Кларета [42], определить константы концентрации вещества к центру звезд: k2,1 = 0.0074, k2,2 = 0.0063. Тогда по формулам из работы Шакуры [43] ожидаемая скорость апсидального вращения за счет вращательного и приливного искажения формы звезд-компонентов в условиях синхронизма вращательного и орбитального моментов в периастре составит /год. Оценка масс компонентов и точное значение эксцентриситета позволяет с помощью формул [44] получить релятивистский вклад во вращение линии апсид: /год. Все вместе это дает теоретически ожидаемую скорость вращения линии апсид: /год. Сравним это значение с полученным нами из наблюдений: /год, что соответствует Uaps = 123 ± 0.8 года. Совпадение оказалось абсолютным. Данный факт может указывать на то, что в системе, несмотря на ее молодость, уже наступила синхронизация. Но если в V957 Cep будет реально обнаружен дополнительный невидимый компонент, то при вычислении теоретического значения скорости апсидального вращения будет необходимо учесть его вклад. Тогда теоретическое значение может сильно отклониться от наблюдаемого, и о синхронизации в системе речи идти уже не будет.
ГИПОТЕЗА ДОПОЛНИТЕЛЬНОГО КОМПОНЕНТА В СИСТЕМЕ
В работе [7] было предположено наличие в ходе остатков моментов минимумов O – C светового уравнения, что могло говорить о наличии в системе дополнительного спутника, физически связанного с V957 Cep. Полученное в данной работе значение третьего света превышает блеск оптического спутника (см. табл. 4 и 5), что свидетельствует в пользу дополнительного компонента — четвертого света. Точность измерения третьего света из решения даже очень точных кривых блеска, все же, недостаточна, чтобы делать определенные выводы. Кроме того, наличие светового уравнения было предположено авторами [7], в том числе на основании четырех сильно отклонившихся моментов минимумов и не совсем верным учетом апсидального вращения, ведь полученная ими величина скорости почти в два раза меньше истинного значения. Также авторы [7] не указывают какой именно компонент пульсирует, и как ими учитывались пульсации при определении точных моментов минимумов. Проверка, предпринятая нами на основании наших собственных данных, показала, что неучет пульсаций может приводить к ошибке в определении момента минимума до ±0.0009 суток.
Большое количество новых измерений, полученных в данной работе, такого разброса как в [7] не показывает (см. рис. 8). Но полностью исключить наличие светового уравнения небольшой амплитуды на уровне ошибок наблюдений мы все же не можем, т. к. остатки O – C моментов минимумов после вычета апсидального вращения равны ±0.00056 суток. Это значительно больше, чем предельная точность определения момента минимума, достигаемая в наших исследованиях, ±0.00012 суток [45].
Для окончательного разрешения вопроса о наличии в системе невидимого спутника необходимо, во-первых, измерить с хорошей точностью блеск оптического компонента, играющего роль помехи, во-вторых, получить спектры высокого разрешения V957 Cep, исключив из измерений оптический спутник и, наконец, продолжить фотометрические наблюдения с целью выявления возможной периодичности в ходе остатков O – C . Отметим, что параметры апсидального вращения значительно улучшить не удастся, нами зафиксированы дуги, аппроксимирующие ход остатков O – C под воздействием апсидального вращения продолжительностью в 16 лет. Достигнута точность лучше одного процента, надежность данных подтверждается отличным совпадением значений эксцентриситетов, полученных из решения кривых блеска и из моментов минимумов. Это не значит, что следует отказаться от дальнейших наблюдений моментов минимумов. Хотя апсидальное вращение зафиксировано очень хорошо, в ходе остатков O – C остается небольшая неопределенность, которая может реально привести к обнаружению дополнительного компонента в системе V957 Cep. Тогда теоретическое значение скорости апсидального вращения V957 Cep придется пересмотреть и условие синхронизма вращательных и орбитального моментов нарушится.
ЗАКЛЮЧЕНИЕ
Анализ фотоэлектрических наблюдений V957 Cep позволил определить надежные геометрические и физические параметры. Впервые с высокой точностью измерена скорость апсидального движения, которая оказалась равна теоретической при условии синхронизма осевых и орбитальных вращательных моментов и отсутствия дополнительного ускорения вращения линии апсид за счет третьего тела. Вторичный компонент системы оказался переменной звездой типа β Цефея, пульсирующей с постоянными на протяжении уже 4-х лет частотой и начальной фазой. В ходе остатков уклонений моментов минимумов после учета апсидального вращения наблюдается разброс, несколько превышающий обычное для звезд данного типа значение, причиной которого, возможно, является невидимый спутник, а также наличие пятен на поверхности компонентов. Необходимы дальнейшие регулярные наблюдения системы.
Авторы статьи благодарят сотрудников Уссурийской обсерватории Института прикладной математики РАН и Центра коллективного пользования «Терскольская обсерватория» ИНАСАН за проведенные наблюдения. В работе использовались база данных SIMBAD Страсбургского центра астрономических данных (Франция) и служба библиографических ссылок ADS (NASA, США).
Выражаем особую благодарность анонимному рецензенту, который тщательным анализом нашей статьи помог устранить допущенные нами небольшие, но досадные неточности.
1 https://cdsarc.cds.unistra.fr/viz-bin/cat/J/AZh/101
Об авторах
И. М. Волков
Московский государственный университет им. М. В. Ломоносова
Автор, ответственный за переписку.
Email: hwp@yandex.ru
Россия, Москва
С. А. Нароенков
Институт астрономии Российской академии наук
Email: snaroenkov@inasan.ru
Россия, Москва
А. С. Кравцова
Московский государственный университет им. М. В. Ломоносова
Email: kravts@yandex.ru
Россия, Москва
Список литературы
- S. A. Otero, P. Wils, G. Hoogeveen, and P. A. Dubovsky, Inform. Bull. Var. Stars № 5681, 1 (2006).
- P. R. Woźniak, W. T. Vestrand, C. W. Akerlof, R. Balsano, et al., Astron. J. 127(4), 2436 (2004).
- И. М. Волков, Н. С. Волкова, Астрон. журн. 86(2), 158 (2009).
- V. S. Kozyreva, A. V. Kusakin, and J. Menke, Inform. Bull. Var. Stars № 6020, 1 (2012).
- V. S. Kozyreva and A. V. Kusakin, Astrophysics 57(2), 221 (2014).
- В. С. Козырева, А. В. Кусакин, Т. Крайчи, А. И. Богомазов, Астрофиз. бюлл. 74(4), 454 (2019).
- V. S. Kozyreva, A. V. Kusakin, A. Bogomazov, C. Omarov, and A. Krylov, Peremennye Zvezdy 42(4), 17 (2022).
- K. G. Stassun, R. J. Oelkers, M. Paegert, G. Torres, et al., Astron. J. 158(4), id. 138 (2019), arXiv:1905.10694 [astro-ph.SR].
- V. Straižys, Multicolor stellar photometry (Tucson: Pachart Pub. House, 1992).
- J. C. Mermilliod, M. Mermilliod, and B. Hauck, Astron. and Astrophys. Suppl. Ser. 124, 349 (1997).
- И. М. Волков, Н. С. Волкова, Д. Хохол, Астрон. журн. 87(5), 462 (2010).
- И. М. Волков, Н. С. Волкова, И. В. Николенко, Д. Хохол, Астрон. журн. 88(9), 894 (2011).
- И. М. Волков, Д. Хохол, А. С. Кравцова, Астрон. журн. 94(5), 436 (2017).
- И. М. Волков, А. С. Кравцова, Астрон. журн. 97(3), 190 (2020).
- M. A. Burlak, I. M. Volkov, and N. P. Ikonnikova, Contrib. Astron. Observ. Skalnate Pleso 48(4), 536 (2018), arXiv:1809.00884 [astro-ph.SR].
- V. G. Kornilov, I. M. Volkov, A. I. Zakharov, L. N. Kozyreva, L. N. Kornilova, and et al., Trudy Gosud. Astron. Sternberga 63, 4 (1991).
- И. М. Волков, А. С. Кравцова, Астрон. журн. 99(6), 470 (2022).
- T. J. Moffett and T. G. Barnes, III, Astron. J. 84, 627 (1979).
- B. J. Taylor, Astrophys. J. Suppl. 60, 577 (1986).
- G. M. Green, E. F. Schlafly, D. P. Finkbeiner, H.-W. Rix, et al., 810(1), id. 25 (2015).
- И. М. Волков, Х. Ф. Халиуллин, Астрон. журн. 79(9), 1 (2002).
- I. M. Volkov, L. A. Bagaev, and D. Chochol, in Living Together: Planets, Host Stars and Binaries, Proc. of a conference held 8–12 September 2014 in Litomysl, Czech Republic; edited by S. M. Rucinski, G. Torres, and M. Zejda. ASP Conf. Ser. 496 (San Francisco: Astron. Soc. Pacific, 2015), p. 266 (2015).
- I. M. Volkov, L. A. Bagaev, and D. Chochol, in The ESO Workshop on the Impact of Binaries on Stellar Evolution, edited by G. Beccari and H. M. J. Boffin, ESO Garching, July 3–7, 2017 (Cambridge: Cambridge Univ.Press, 2017).
- I. M. Volkov, L. A. Bagaev, A. S. Kravtsova, and D. Chochol, Contrib. Astron. Observ. Skalnate Pleso 49(2), 434 (2019).
- P. J. Flower, 469, 355 (1996).
- D. M. Popper, Ann. Rev. Astron. Astrophys. 18, 115 (1980).
- I. M. Volkov and A. S. Kravtsova, Astron. J. 164(5), id. 194 (2022), arXiv:2109.03925 [astro-ph.SR].
- Н. Н. Самусь, Е. В. Казаровец, О. В. Дурлевич, Н. Н. Киреева, Е. Н. Пастухова, Астрон. журн. 94(1), 87 (2017).
- P. De Cat, Radial and Nonradial Pulsations as Probes of Stellar Physics, edited by C. Aerts, T. R. Bedding, and J. Christensen-Dalsgaard (San Francisco: Astron. Soc. Pacific, 2002), ASP Conf. Proc. 259, p. 196 (2002).
- И. М. Волков, Астрон. журн. 100(4), 319 (2023).
- А. И. Халиуллина, Х. Ф. Халиуллин, Астрон. журн. 61, 393 (1984).
- I. M. Volkov, Peremennye Zvezdy 42(1), 1 (2022).
- R. A. Wade and S. M. Rucinski, Astron. and Astrophys. Suppl. Ser. 60, 471 (1985).
- A. Prša and T. Zwitter, 628(1), 426 (2005).
- D. M. Popper and P. B. Etzel, Astron. J. 86, 102 (1981).
- K. F. Khaliullin, 299, 668 (1985).
- I. M. Volkov, D. Chochol, J. Grygar, M. Mašek, and J. Juryšek, Contrib. Astron. Observ. Skalnate Pleso 47(1), 29 (2017).
- L. Girardi, A. Bressan, G. Bertelli, and C. Chiosi, Astron. and Astrophys. Suppl. Ser. 141, 371 (2000).
- L. Brát, L. Šmelcer, H. Kuèáková, R. Ehrenberger, et al., Open European J. Var. Stars 0094(1), 1 (2008).
- L. Brát, J. Trnka, L. Šmelcer, M. Lehky, et al., Open European J. Var. Stars 137, 1 (2011).
- A. Gimenez and J. M. Garcia-Pelayo, Astrophys. Space Sci. 92(1), 203 (1983).
- A. Claret, Astron. and Astrophys. 424, 919 (2004).
- Н. И. Шакура, Письма в Астрон. журн. 11, 536 (1985).
- T. Levi-Civita, American J. Mathematics 59(2), 225 (1937).
- Л. А. Багаев, И. М. Волков, И. В. Николенко, Астрон. журн. 95(10), 702 (2018).
Дополнительные файлы











