Polarimetric monitoring of primitive asteroids near perihelion in order to detect their sublimation-dust activity
- Authors: Busarev V.V.1,2, Kiselev N.N.2, Shcherbina M.P.2,1, Karpov N.V.2, Gorshkov A.P.2
-
Affiliations:
- Lomonosov Moscow State University, Sternberg Astronomical Institute
- Institute of Astronomy of the Russian Academy of Sciences
- Issue: Vol 101, No 2 (2024)
- Pages: 183-194
- Section: Articles
- URL: https://bakhtiniada.ru/0004-6299/article/view/263976
- DOI: https://doi.org/10.31857/S0004629924020112
- EDN: https://elibrary.ru/KSFCXJ
- ID: 263976
Cite item
Full Text
Abstract
UBVR polarimetric observations of 12 main-belt mostly primitive asteroids located near perihelion heliocentric distances were carried out from December 2022 to April 2023 with Zeiss-2000 telescope at the Terskol Peak observatory. The purpose of the monitoring program wasto search for changes in the polarimetric parameters of the asteroids caused by possible sublimation-dust activity, as a result of which the formation of rarefied dust exospheres of asteroids is possible. The objects of the program were asteroids: (1) Ceres, (53) Kalypso, (117) Lomia, (164) Eva, (214) Ashera, (324) Bamberga, (419) Aurelia, (505) Cava, (554) Peraga, (654) Zelinda, (704) Interamnia, (1021) Flammario. Polarimetric observations of asteroids (117) Lomia, (164) Eva and (505) Kava were made for the first time, the remaining asteroids were observed earlier. Only for two asteroids (1) Ceres and (704) Interamnia, according to spectrophotometric observations, temporal spectrophotometric variability was noted earlier. Analysis of temporal changes in the degree of polarization of asteroids and comparison of the results of observations with the data available in the literature showed that the stability of the observed degree of polarization is comparable with measurement errors of ~(0.02–0.1)% for asteroids of different brightness. Thus, during the observation period, no noticeable polarization signs of temporary sublimation-dust activity of the observed asteroids were detected. Additionally, it is shown that the currently existing variants of the spectral taxonomy of asteroids, based on spectrophotometric data and albedo, demonstrate a significant scattering of the selected classes when compared with their polarimetric phase dependencies.The asteroid (554) Peraga has been confirmed to have a negative degree of polarization at angles less than the inversion angle. Measurements of the polarization of the asteroid (1) Ceres in a wide range of wavelengths did not confirm the previously suspected change in the angle of the polarization plane with the wavelength.
Keywords
Full Text
1. Введение
Спектральные наблюдения астероидов Главного пояса (АГП) примитивных типов (С, B, F, G, X) с вероятным содержанием в недрах водяного льда показывают, что у этих тел вблизи перигелийных гелиоцентрических расстояний и, соответственно, при максимальных подсолнечных температурах возможна временная сублимационно-пылевая активность (СПА), ведущая к образованию разреженной пылевой экзосферы (ПЭ) [1, 2, 3]. Моделирование спектров отражения таких астероидов, окруженных оптически тонкой ПЭ, состоящей из агрегатных частиц субмикронного размера и разного состава, это полностью подтверждает [4, 5]. Из перечисленных результатов также следует, что спектрофотометрия и широкополосная UBVRI-фотометрия являются эффективными методами обнаружения явления СПА у астероидов примитивных типов. В то же время для обнаружения и изучения данного явления было бы целесообразно также использовать поляриметрический метод, который во многих случаях служит независимым источником информации об оптических, химико-минералогических и структурных особенностях поверхностей безатмосферных небесных тел и пылевых частиц (см., напр., [6, 7] и ссылки там же).
В нашей статье обсуждаются результаты UBVR-поляриметрических наблюдений на интервале времени около четырех месяцев двенадцати АГП в основном примитивных типов, находившихся вблизи перигелия орбиты. Как известно, фазовые углы АГП не превышают ~30° и поэтому возможные изменения их поляриметрических характеристик и параметров невелики [7, 8], что затрудняет их использование для обнаружения изменений, вызванных появлением СПА и связанной с ней ПЭ. Для изучения возможностей использования поляриметрических параметров астероидов примитивных типов для обнаружения СПА было проведено численное моделирование (с использованием теории радиационного переноса излучения) этих параметров у условного астероида С-типа, окруженного оптически тонкой пылевой экзосферой (t < 0,5), состоящей из агрегатных частиц субмикронного размера и разного состава (лед Н2О, оливин, астрономические силикаты и органика типа толинов [9]). На основании этого моделирования был сделан вывод, что по данным поляриметрии на фазовых углах менее 30° невозможно утверждать, была ли у астероида какая-то экзосфера или нет во время наблюдений, и тем более оценить ее свойства, так как изменения, вносимые рассеянием света в ПЭ в значения степени поляризации на указанных фазовых углах, малы и слабо отличаются для экзосферных частиц с разными параметрами [9].
Тем не менее в качестве первоначального этапа мы провели поиск признаков СПА у вышеупомянутых астероидов примитивных типов, находившихся при максимальных подсолнечных температурах, с расчетом на то, что имеется вероятность обнаружения кратковременных вариаций поляриметрических параметров, связанная с наличием СПА и локальной неустойчивости ПЭ у некоторых из этих тел. Результаты этого небольшого обзора изложены ниже.
2. Аппаратура, методики наблюдений и обработки
Поляриметрические наблюдения по программе поиска признаков сублимационно-пылевой активности астероидов были проведены в период с 22 декабря 2022 г. по 26 апреля 2023 г. на 2-м (F/8) телескопе “Цейсс-2000” системы Ричи-Кретьена-Куде обсерватории Пик Терскол (Северный Кавказ, Россия), оснащенного двухканальным апертурным поляриметром имени Н. М. Шаховского “POLSHAKH”. Оптический тракт поляриметра включает модулятор, представляющий собой быстро вращающуюся ахроматическую волновую пластину (~30 оборотов в секунду). Для работы использовалась полуволновая пластина (l/2), служащая для измерения линейной поляризации. После модулятора установлена призма Волластона, которая разделяет входящий свет на два ортогонально поляризованных луча. Эти лучи направляются зеркалами в два канала — синий и красный. Каждый из каналов имеет свой приемник излучения и набор спектральных фильтров, выделяющих необходимые фотометрические полосы: UBV в синем канале и UBVRI в красном канале. В качестве приемника излучения в синем канале стоит неохлаждаемый ФЭУ EMI 6556 B. В красном канале используется охлаждаемый приемник Hamamatsu R943-02. Наши наблюдения в основном проводились с центральными длинами волн и ширинами на полувысоте пропускания фильтров (FWHM) в полосах B (λ434/117 нм) и R (λ683/159 нм), а для некоторых объектов в U (λ360/74 нм), V (λ540/80 нм) и I (λ809/188 нм). Вращение фазовой пластины синхронизировано со временем накопления импульсов ФЭУ в каждом из 16 секторов положения фазовой пластины 0°–22.5°, 22.5°–45°, ..., 337.5°–360° одновременно для двух ортогонально поляризованных лучей. Интенсивность света, прошедшего через идеальную полуволновую фазовую пластинку с оптической осью под углом φ, за которой следует анализатор (Волластон) с главной плоскостью под углом Ψ = 0°, можно записать согласно [10]:
(1)
Этот метод обеспечивает квазиодновременное измерение параметров Стокса q и u приходящего излучения. Преимуществом этого метода является независимость измеряемых поляризационных параметров от изменений интенсивности, вызванных переменностью объекта и/или атмосферным поглощением. Измерения выполнялись по схеме: фон неба — астероид, астероид —, ..., — фон неба. Длительность мониторинга каждого объекта была около 1 часа. При обработке наблюдений отсчеты от фона неба интерполировались на средние моменты наблюдений программного объекта (астероида) и вычитались. После коррекции фона неба решение системы уравнений (1) для 16 положений полуволновой фазовой пластинки позволяет получать значения параметров Стокса астероида в инструментальной системе qobs и uobs для каждой экспозиции. Используя весь ряд экспозиций, были получены средние значения наблюдаемых параметров Стокса qobs и uobs и их среднеквадратические ошибки, определяемые как стандартные отклонения σqobs и σuobs.
Для определения инструментальной линейной поляризации наблюдались неполяризованные звезды с нулевой поляризацией (P < 0.01%) из списка [10]. В результате наблюдений нескольких стандартов были получены средние инструментальные параметры qins и uins и их среднеквадратические ошибки σq ins и σu ins для каждой полосы и каждого сезона наблюдений. Инструментальная степень поляризации телескопа во всех полосах была менее 0.04% и была исключена из измеренной степени поляризации астероидов согласно выражениям q = qobs – qins и u = uobs – uins. В результате для каждого астероида и каждой полосы были определены степень P = (q2 + u2)1/2 и позиционный угол плоскости линейной поляризации
в экваториальной системе координат, где ΔPA — поправки к нуль-пунктам инструментальных позиционных углов. Для определения поправок ΔPA проведены наблюдения звезд-стандартов с известной высокой степенью поляризации и известными углами поляризации в экваториальной системе координат, взятые из [11, 12]. Поправки за нуль-пункты инструментальных позиционных углов во всех фильтрах были постоянны в пределах ±3°. Более подробно поляриметр, методики наблюдений и обработки данных описаны в работе [13].
В дальнейшем, как это принято в планетной астрофизике, мы будем рассматривать параметры Стокса астероидов qr и ur по отношению к перпендикуляру к плоскости рассеяния φ, проходящей через Солнце, наблюдателя и объект изучения. Они связаны с величинами P и θ посредством выражений θ r= θ – (φ ± 90°), и ur= P sin(2qr). Знак в скобках выбирается «+», если (φ ± 90°) δ 180°, и «–», если (φ ± 90°) ≥ 180° [14]. Обычно, если нет физических причин, то с точностью до ошибок измерений положительная ветвь фазовой зависимости поляризации на фазовых углах α ≥ αinv характеризуется ортогональностью плоскости поляризации θ по отношению к плоскости рассеяния φ, то есть θr = 0°, qr = P и ur = 0. Угол ainv является углом инверсии, то есть фазовым углом, на котором меняется знак степени поляризации. На фазовых углах 0 ≤ α ≤ αinv наблюдается так называемая отрицательная ветвь фазовой кривой поляризации с параметрами: плоскость поляризации θ параллельна плоскости рассеяния φ, то есть θr = 90°, qr = –P и ur = 0.
Фазовые зависимости поляризации (ФЗП) безатмосферных космических тел (БКТ) Солнечной системы (астероиды, спутники планет), а также ансамблей частиц (например, кометы) являются одними из основных характеристик, морфология и параметры которых зависят от свойств частиц реголитовых поверхностей БКТ и частиц атмосфер комет. Для аппроксимации фазовых кривых используются различные выражения, например, тригонометрический полином [15], где b, c1, c2, αinv — свободные параметры:
(2)
3. Результаты наблюдений и дискуссия
В табл. 1 представлены данные о наблюдавшихся астероидах. Она содержит: имя астероида, фотометрические полосы, наличие/отсутствие данных в Aстероидной поляриметрической базе данных (APDB) [16], диапазон наблюдавшихся фазовых углов, эфемеридную звездную величину на момент наблюдений, спектральную классификацию согласно [17, 18] (столбец 1), [19] (столбец 2) и [20] (столбец 3) группы “Спектральный класс”.
Таблица 1. Обстоятельства наблюдений избранных астероидов
Название | Полосы | Поляриз. данные | Фазовые углы a, град | mv | Спектральный класс | |||
1 | 2 | 3 | ||||||
1 | Церера | UBVR | APDB | 12.2–20.8 | 7.9–7.3 | G | C | C |
53 | Калипсо | BR | APDB | 17.5–20.1 | 12.2–11.4 | Xc | Ch | |
117 | Ломия | BR | 7.7–14.7 | 12.6–13.1 | Xc | X | C | |
164 | Ева | BV R | 13.5–22.8 | 11.6–12.7 | CX | X | C | |
214 | Ашера | BV R | APDB | 5.1–8.7 | 12.8–12.5 | Xc | Ek | |
324 | Бамберга | BV R | APDB | 18.9–21.6 | 10.1–11.1 | CP | Ch | |
419 | Аврелия | V B | APDB | 12.9–13.7 | 13.7 | F | C | |
505 | Кава | BR | 6.2– 8.8 | 11.7–11.2 | FC | P | P | |
554 | Перага | V R | APDB | 6.7 | 13.2 | Fc | Ch | Ch |
654 | Зелинда | BR | APDB | 18.2–21.6 | 11.2–10.5 | C | Ch | Ch |
704 | Интерамния | BR | APDB | 16.3–20.3 | ~12 | F | B | Ch |
1021 | Фламмарио | BV R | APDB | 4.9–14.5 | 11.5–12.3 | F | B | C |
Отметим некоторые особенности фотометрического и поляриметрического поведения астероидов, по которым они были включены в нашу программу. Астероид (1) Церера был включен в программу наблюдений как объект, у которого [21] обнаружили эмиссию молекул радикала ОН (λ3080 Å), образующихся в результате фотодиссоциации молекул воды. Авторы заключили, что ОН-атмосфера Цереры несимметрична. Вероятно, что северная полярная шапка астероида состоит из замерзшей Н2О (возможно, в виде инея), которая в течение зимы аккумулируется, а летом сублимирует. Можно предположить, что в результате возможно изменение поляриметрических свойств отраженного света астероида, особенно если вре́менное образование несимметричной газовой оболочки сопровождается выносом пыли. Кроме того, у (1) Цереры подозревается монотонное возрастание позиционного угла плоскости отрицательной поляризации с длиной волны [22]. В связи с этим измерения поляризации астероида проведены в широком спектральном диапазоне, включающем фотометрические полосы UBVR.
В работе [23] была найдена большая положительная поляризация излучения астероида (554) Перага (Pr = 1%) на фазовых углах 8—10°. Зельнер и Градье [23] отметили этот уникальный случай среди большого числа объектов, которые они наблюдали. Они исключили ошибку в отождествлении объекта, так как он двигался в поле звезд в обе даты наблюдений в соответствии с эфемеридой. Так как на зависимости Pr (a) было всего две точки, можно было заподозрить, что переход ФЗП астероида от отрицательных значений Pr к положительным происходит на очень небольшом угле инверсии αinv < 8°. Как отмечалось выше, обычно в диапазоне фазовых углов 0 – αinv фазовая зависимость степени поляризации большинства астероидов имеет один минимум [24] и хорошо описывается тригонометрическим полиномом [25] или параболой. В настоящее время установлено, что минимальный угол инверсии составляет около 14° для астероидов F-типа, а максимальный угол инверсии равен около 28° для “Barbara-like” астероидов S-типа [26]. Отметим, что пока абсолютный минимум угла инверсии безатмосферных тел Солнечной системы принадлежит спутнику Юпитера Европа (αinv ≈ 6.1°, полоса V ) [13].
Для уточнения вида отрицательной ветви ФЗП Антонюк и Киселев [27] провели в 2006 г. измерения поляризации (554) Перага в диапазоне фазовых углов 3–16°, в том числе и на близком фазовом угле 10.7°, на котором проведены наблюдения Зельнера и Градье. Вопреки данным Зельнера и Градье, была установлена отрицательная степень поляризации астероида, Pr = –2.10 ± 0.17%. В ошибочность результатов наблюдений Зельнера и Градье трудно поверить, зная огромный опыт этих наблюдателей и то, что они сами обратили внимание на необычные данные для (554) Перага. Поэтому Антонюк и Киселев выдвинули предположение, что различия в поляризации реальны и вызваны различиями в свойствах областей поверхности астероида, которые были доступны для наблюдений Зельнеру и Градье в 1975 г. и Антонюку и Киселеву в 2006 г. Эклиптические координаты астероида в 1975 г. и 2006 г. составили (λ = 181.6°, β = –2.7°) и (α = 21.1°, β = 2.9°) соответственно. Если ось вращения астероида близка к плоскости эклиптики, то разница в эклиптических долготах 160° дает возможность наблюдать две разные части поверхности астероида (северную и южную приполярные области) в эти два периода наблюдений. Позже Гил-Хаттон и др. [28, 29] измерили поляризацию (554) Пераги в полосе V на фазовых углах 9.2° и 10.3°. Она оказалась отрицательной: Pr = –1.31% и –1.6% соответственно. Эклиптические координаты астероида составили λ = 286.5°, β = –0.5° и λ = 264.1°, β = –1.5°. Нельзя исключить также, что уникальные свойства поляризации (554) Пераги, полученные Зельнером и Градье в 1975 г., были вызваны вре́менной сублимационно-пылевой активностью, обнаруженной для ряда астероидов ([3] и ссылки там). Поэтому наблюдаемые особенности поляризации Пераги стали основанием включения этого астероида в программу поляриметрического мониторинга.
Астероид (704) Интерамния — единственный объект нашей программы, у которого ранее по спектрофотометрическим наблюдениям были обнаружены признаки сублимационно-пылевой активности [1, 30].
Остальные астероиды были включены в программу, как объекты примитивных (низкотемпературных) спектральных классов, находившихся вблизи перигелия, где наиболее вероятно проявление сублимационно-пылевой активности. Результаты поляризационной мониторинговой программы астероидов приведены в табл. 2. В ней представлены: среднее время наблюдений (Y-M-D (UT)), фотометрическая полоса, фазовый угол (α), позиционный угол плоскости рассеяния (φ), измеренные степень линейной поляризации (P) и позиционный угол плоскости поляризации (θ) вместе с их среднеквадратическими ошибками (σ), позиционный угол плоскости поляризации (θr) и параметры Стокса qr и ur по отношению к перпендикуляру к плоскости рассеяния.
Таблица 2. Результаты поляриметрического мониторинга астероидов в 2022–2023 гг.
Г–М–Д | Полоса | α, град | φ, град | P ± σ, % | θ ± σ, град | θr, град | Pr = qr, % | ur, % |
(1)Церера | ||||||||
-01-20.060 | B | 20.82 | 287.91 | 0.718 ± 0.009 | 18.26 ± 0.36 | 0.36 | 0.718 | 0.009 |
2023-01-20.061 | R | 20.82 | 287.91 | 0.725 ± 0.031 | 18.45 ± 1.23 | 0.55 | 0.725 | 0.014 |
2023-01-22.010 | B | 20.54 | 287.33 | 0.625 ± 0.010 | 14.77 ± 0.46 | 177.44 | 0.623 | –0.056 |
2023-01-22.010 | R | 20.54 | 287.33 | 0.697 ± 0.032 | 16.78 ± 1.30 | 179.45 | 0.696 | –0.013 |
2023-01-23.012 | B | 20.38 | 287.02 | 0.580 ± 0.018 | 15.57 ± 0.91 | 178.55 | 0.579 | –0.029 |
2023-01-23.004 | R | 20.38 | 287.02 | 0.666 ± 0.033 | 14.32 ± 1.42 | 177.30 | 0.663 | –0.063 |
2023-01-24.995 | B | 20.06 | 286.38 | 0.492 ± 0.014 | 12.06 ± 0.81 | 175.68 | 0.486 | –0.074 |
2023-01-25.005 | R | 20.06 | 286.38 | 0.556 ± 0.031 | 12.92 ± 1.58 | 176.55 | 0.552 | –0.067 |
2023-02-25.003 | U | 12.20 | 267.37 | 1.018 ± 0.040 | 85.40 ± 1.12 | 88.03 | –1.016 | 0.070 |
2023-02-24.985 | B | 12.20 | 267.38 | 1.232 ± 0.023 | 87.28 ± 0.54 | 89.90 | –1.232 | 0.005 |
2023-02-24.985 | V | 12.20 | 267.39 | 1.226 ± 0.022 | 87.12 ± 0.51 | 89.73 | –1.226 | 0.012 |
2023-02-24.985 | R | 12.20 | 267.39 | 1.250 ± 0.030 | 85.86 ± 0.68 | 88.47 | –1.249 | 0.067 |
2023-02-24.999 | I | 12.20 | 267.37 | 1.241 ± 0.037 | 86.77 ± 0.85 | 89.39 | –1.240 | 0.026 |
(53)Калипсо | ||||||||
-12-24.076 | B | 20.14 | 291.08 | 0.261 ± 0.047 | 120.89 ± 5.19 | 99.81 | –0.246 | –0.088 |
2022-12-31.056 | B | 17.50 | 291.71 | 0.794 ± 0.059 | 108.54 ± 2.14 | 86.83 | –0.789 | 0.088 |
2022-12-31.056 | R | 17.50 | 291.71 | 0.820 ± 0.059 | 106.01 ± 2.05 | 84.30 | –0.804 | 0.162 |
2023-01-24.012 | B | 5.65 | 297.15 | 1.159 ± 0.043 | 115.67 ± 1.07 | 88.52 | –1.157 | 0.060 |
2023-01-24.011 | R | 5.65 | 297.15 | 1.194 ± 0.041 | 116.09 ± 0.99 | 88.94 | –1.194 | 0.044 |
(117)Ломия | ||||||||
-12-23.772 | B | 7.69 | 153.35 | 0.955 ± 0.061 | 153.31 ± 1.84 | 89.96 | –0.955 | 0.001 |
2023-01-24.790 | B | 14.70 | 101.18 | 0.712 ± 0.089 | 96.85 ± 3.59 | 85.67 | –0.703 | 0.107 |
2023-01-24.790 | R | 14.70 | 101.18 | 0.751 ± 0.086 | 97.46 ± 3.26 | 86.29 | –0.744 | 0.097 |
(164)Ева | ||||||||
-12-23.662 | B | 13.49 | 75.84 | 1.186 ± 0.037 | 74.73 ± 0.89 | 88.89 | –1.185 | 0.046 |
2022-12-24.691 | B | 13.95 | 76.31 | 1.137 ± 0.039 | 75.02 ± 0.99 | 88.71 | –1.136 | 0.051 |
2022-12-25.740 | V | 14.42 | 76.74 | 1.077 ± 0.043 | 73.59 ± 1.14 | 86.85 | –1.070 | 0.118 |
2022-12-29.781 | B | 16.10 | 78.01 | 0.708 ± 0.045 | 75.96 ± 1.81 | 87.95 | –0.707 | 0.051 |
2023-01-22.785 | B | 22.83 | 80.09 | 0.788 ± 0.065 | 168.35 ± 2.35 | 178.26 | 0.786 | –0.048 |
2023-01-22.786 | R | 22.83 | 80.09 | 0.805 ± 0.055 | 163.34 ± 1.97 | 173.25 | 0.783 | –0.188 |
(214) Ашера | ||||||||
-12-23.816 | B | 8.74 | 269.66 | 0.260 ± 0.079 | 70.74 ± 8.69 | 71.09 | –0.205 | 0.160 |
2023-01-21.015 | V | 5.11 | 116.03 | 0.272 ± 0.153 | 172.62 ± 16.16 | 146.59 | 0.107 | –0.250 |
2023-01-21.013 | R | 5.11 | 116.03 | 0.478 ± 0.138 | 83.22 ± 8.30 | 57.19 | –0.197 | 0.435 |
(324) Бамберга | ||||||||
-12-22.792 | V | 18.36 | 97.09 | 0.318 ± 0.023 | 96.55 ± 2.07 | 89.46 | –0.318 | 0.006 |
2022-12-24.743 | B | 18.93 | 95.30 | 0.256 ± 0.018 | 98.39 ± 2.06 | 93.08 | –0.255 | –0.028 |
2022-12-27.884 | B | 19.83 | 92.76 | 0.068 ± 0.040 | 73.53 ± 17.00 | 70.77 | –0.053 | 0.042 |
2022-12-29.664 | B | 20.31 | 91.49 | 0.104 ± 0.019 | 92.46 ± 5.28 | 90.98 | –0.104 | –0.004 |
2022-12-30.973 | B | 20.65 | 90.61 | 0.225 ± 0.023 | 79.31 ± 2.98 | 78.69 | –0.207 | 0.086 |
2022-12-30.814 | B | 20.61 | 90.72 | 0.207 ± 0.033 | 1.56 ± 4.63 | 0.84 | 0.207 | 0.006 |
2023-01-03.723 | B | 21.58 | 88.40 | 0.501 ± 0.023 | 179.39 ± 1.29 | 0.99 | 0.501 | 0.017 |
2023-01-03.765 | R | 21.58 | 88.40 | 0.490 ± 0.037 | 175.03 ± 2.19 | 176.63 | 0.487 | –0.058 |
(419) Аврелия |
|
|
|
|
|
|
|
|
-12-23.719 | B | 12.88 | 72.65 | 0.886 ± 0.099 | 77.08 ± 3.20 | 94.43 | –0.876 | –0.136 |
2022-12-25.690 | V | 13.37 | 72.66 | 0.763 ± 0.110 | 77.46 ± 4.12 | 94.80 | –0.753 | –0.127 |
(505) Кава |
|
|
|
|
|
|
|
|
-12-29.821 | B | 8.79 | 266.07 | 1.262 ± 0.059 | 83.09 ± 1.35 | 87.02 | –1.255 | 0.131 |
2023-01-22.945 | B | 6.20 | 132.10 | 1.182 ± 0.028 | 132.59 ± 0.68 | 90.50 | –1.181 | –0.020 |
2023-01-22.945 | R | 6.20 | 132.10 | 1.088 ± 0.031 | 129.92 ± 0.81 | 87.82 | –1.085 | 0.083 |
(654) Зелинда |
|
|
|
|
|
|
|
|
-12-24.120 | B | 27.59 | 297.70 | 2.187 ± 0.041 | 26.77 ± 0.53 | 179.07 | 2.186 | –0.071 |
2023-01-21.929 | B | 18.20 | 326.75 | 0.575 ± 0.027 | 146.15 ± 1.33 | 89.40 | –0.575 | 0.012 |
2023-01-21.928 | B | 18.20 | 326.75 | 0.530 ± 0.035 | 147.07 ± 1.91 | 90.32 | –0.530 | –0.006 |
(704) Интерамния |
|
|
|
|
|
|
|
|
-12-22.724 | B | 20.27 | 61.66 | 1.474 ± 0.084 | 153.74 ± 1.64 | 2.08 | 1.470 | 0.107 |
2023-01-22.683 | B | 16.40 | 53.67 | 0.194 ± 0.050 | 150.98 ± 7.46 | 7.30 | 0.187 | 0.049 |
2023-01-22.682 | B | 16.40 | 53.67 | 0.303 ± 0.042 | 155.25 ± 3.98 | 11.58 | 0.278 | 0.119 |
2023-01-23.674 | B | 16.25 | 53.40 | 0.173 ± 0.049 | 151.69 ± 8.17 | 8.29 | 0.166 | 0.049 |
2023-01-23.671 | R | 16.25 | 53.40 | 0.355 ± 0.036 | 142.26 ± 2.88 | 178.86 | 0.355 | –0.014 |
(1021) Фламмарио |
|
|
|
|
|
|
|
|
-12-25.791 | V | 4.89 | 348.72 | 1.022 ± 0.037 | 168.26 ± 1.04 | 89.53 | –1.022 | 0.017 |
2023-01-24.817 | B | 14.49 | 82.60 | 0.441 ± 0.088 | 76.02 ± 5.73 | 83.42 | –0.430 | 0.101 |
2023-01-24.817 | R | 14.49 | 82.60 | 0.329 ± 0.070 | 89.60 ± 6.11 | 97.00 | –0.319 | –0.080 |
(554) Перага |
|
|
|
|
|
|
|
|
-04-25.996 | V | 6.66 | 298.18 | 1.493 ± 0.081 | 117.79 ± 1.55 | 89.61 | –1.493 | 0.021 |
2023-04-25.996 | R | 6.66 | 298.18 | 1.244 ± 0.055 | 115.70 ± 1.27 | 87.52 | –1.239 | 0.108 |
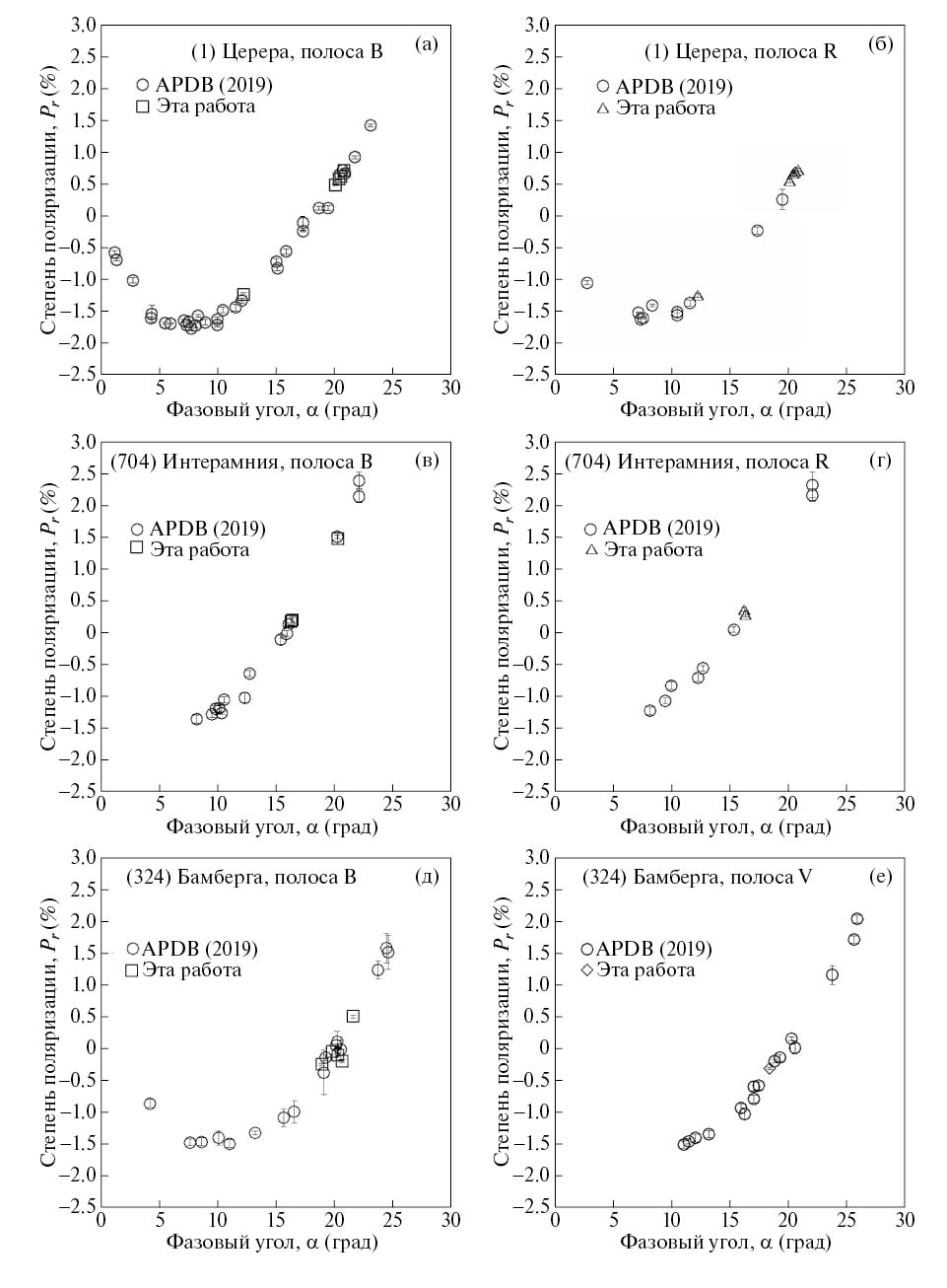
На рис. 1(а)–(е) показаны результаты наших измерений степени поляризации астероидов в полосах B, V и R вместе с данными разных авторов, взятых из каталога APDB [16].
Рис. 1. Фазовые зависимости степени поляризации астероидов (1) Церера, (704) Интерамния, (324) Бамберга, (1021) Фламмарио, (214) Ашера, (419) Аврелия, (554) Перага в полосах B (открытые квадраты), V (открытые ромбы) и R (открытые треугольники) вместе с данными разных авторов (открытые кружочки, закрытые кружочки, закрытые ромбы) из каталога APDB [16].
Рис. 1 (продолжение).
Рис. 1 (окончание).
Из табл. 2 и рис. 1 видно, что с точностью до ошибок измерений ~(0.01–0.1)%, в зависимости от блеска астероида, данные новых измерений дополняют прежде полученные фазовые зависимости поляризации. Следовательно, можно заключить, что в период наших наблюдений отсутствовали значимые изменения степени поляризации выбранных астероидов. Отсутствие признаков СПА у Интерамнии по поляриметрическим данным не ставит под сомнение обнаруженные ранее эффекты по спектрофотометрическим наблюдениям. Во-первых, как уже отмечалось выше, поляриметрическое проявление СПА может быть слабее по сравнению с эффектами, выявленными по спектрофотометрии при фазовых углах менее 30 градусов. Во-вторых, отсутствие СПА в наш период наблюдений (очень близко до и после перигелийного расстояния) может быть вызвано тем, что проявление сублимационно-пылевой активности Интерамнии обусловлено некоторой тепловой инерцией, зависящей от времени прогревания поверхностного слоя вещества астероида над залежами льда Н2О.
Так как в программу наблюдений были включены примитивные астероиды разных спектральных классов (табл. 1), то представляет интерес рассмотрение того, как измеренная степень поляризации соответствует их спектральной классификации. В настоящее время существуют несколько вариантов спектральной классификации астероидов. Чаще всего используют классификацию Толена [18, 17] и Баса и Бинзела [19]. Классификация Толена основана на узкополосных измерениях спектра в диапазоне от 0.31 мкм до 1.06 мкм, полученных в ходе восьмицветной фотометрии астероидов в 1980-х годах, и данных альбедо. В классификации Баса и Бинзела используются спектральные ПЗС данные более высокого разрешения, полученные по программе SMASSII, но не учитывается альбедо астероидов. Недавняя таксономия [20] основана на спектрофотометрии в видимом и ближнем инфракрасном диапазонах, а также альбедо астероидов. Принадлежность наблюдавшихся нами астероидов к классам трех спектральных классификаций приведена в табл. 1. Как видно, один и тот же астероид может относиться к разным спектральным классам, поскольку использованы различные критерии для установления разных вариантов таксономии. Поэтому интересно проанализировать, имеется ли связь между спектральными классами и параметрами поляризации. На рис. 2a, б показаны значения степени поляризации Pr в полосах B и R астероидов таксономических классов С и Сh по классификации [20].
Рис. 2. Фазовые кривые поляризации исследуемых астероидов в полосах B и R для таксономических классов С, Ch и P согласно [20]. Числа на графиках соответствуют номерам астероидов.
Из рис. 2 видно, что степень поляризации астероидов (53) Калипсо, (324) Бамберга, (554) Перага и (654) Зелинда, относящихся к таксономическому классу Ch (согласно [20], см. также табл. 1), можно аппроксимировать едиными фазовыми кривыми поляризации в синей и красной полосах. Вместе с тем кривая поляризации астероида (704) Интерамнии того же спектрального класса Ch заметно отличается от этих кривых. Степень поляризации астероидов (1) Цереры, (117) Ломии, (164) Евы, (419) Аврелии и (1021) Фламмарио, относящихся к С-типу, систематически выше по сравнению с ФЗП астероидов Ch-типа и имеет большее рассеяние данных. Это, а также пример с астероидом (704) Интерамнией, указывает на необходимость привлекать к таксономии астероидов, кроме данных по спектрофотометрии и альбедо, данные по поляризации.
На рис. 3 представлена спектральная зависимость позиционного угла θr и степени поляризации qr астероида (1) Церера, измеренные 24 февраля 2023 г.
Рис. 3. Спектральная зависимость позиционного угла плоскости поляризации θr (кружки) и степени поляризации qr (ромбы) астероида (1) Церера 24 февраля 2023 г. Прямая линия соответствует среднему значению угла θr = 89.1° ± 0.7°.
Очевидно, что с точностью до 1σ случайных ошибок наблюдений спектральная зависимость позиционного угла плоскости поляризации θr плоская. Среднее значение угла θr = 89.1° ± 0.81° также в пределах 1σ отличается от ортогонального значения, которое обычно наблюдается для безатмосферных тел Солнечной системы при стандартных условиях наблюдений, когда падающий луч, нормаль к поверхности объекта и отраженный луч лежат в одной плоскости. Таким образом, наши измерения не подтвердили систематическое увеличение угла плоскости поляризации астероида (1) Цереры, отмеченное в работе [22].
Что касается возможности наличия у Цереры СПА, имеются многолетние наблюдательные данные [31], свидетельствующие о корреляции вариаций спектров отражения Цереры с солнечной активностью. Такой вариант активности может быть преобладающим у астероидов с малым эксцентриситетом орбиты и малым наклоном оси вращения (или спиновой оси) относительно нормали к плоскости орбиты. Как известно по уточненным данным космического аппарата Dawn (НАСА), у Цереры эти параметры составляют соответственно 0.0789125318 [32] и 4° [33].
4. Заключение
- С декабря 2022 г. по апрель 2023 г. на телескопе “Цейсс–2000” обсерватории Пик Терскол проведен UBVR-поляриметрический мониторинг 12 астероидов, в основном примитивных типов Главного пояса, находившихся на расстояниях вблизи перигелия, с целью поиска изменений поляризации, вызванных возможной сублимационно-пылевой активностью.
- Показано, что в период наблюдений значимые изменения степени поляризации выбранных астероидов отсутствовали.
- В настоящее время астероид (554) Перага является единственным, у которого наблюдались значимые вре́менные изменения степени поляризации.
- Показано, что существующие в настоящее время спектральные классификации астероидов, основанные на спектрофотометрических данных и альбедо, демонстрируют значительный разброс при сопоставлении спектральных классов с фазовыми зависимостями поляризации астероидов. Поэтому для надежного выделения таксономических классов надо привлекать данные по поляризации астероидов.
- Наши измерения не подтвердили систематическое увеличение угла плоскости поляризации астероида (1) Цереры, отмеченное в работе [22].
- С целью повышения вероятности обнаружения признаков СПА у АГП примитивных типов в форме вариаций поляриметрических данных целесообразно уменьшить интервалы времени между последовательными измерениями и проводить не менее двух последовательных измерений в используемых фотометрических полосах.
Финансирование
Авторы (В. В. Бусарев и М. П. Щербина) выражают благодарность Российскому научному фонду за финансовую поддержку работы (грант РНФ 22-12-00115).
Результаты получены на Уникальной научной установке “Цейсс-2000” Центра коллективного пользования “Терскольская обсерватория” Института астрономии РАН.
About the authors
V. V. Busarev
Lomonosov Moscow State University, Sternberg Astronomical Institute; Institute of Astronomy of the Russian Academy of Sciences
Author for correspondence.
Email: busarev@sai.msu.ru
Russian Federation, Moscow; Moscow
N. N. Kiselev
Institute of Astronomy of the Russian Academy of Sciences
Email: busarev@sai.msu.ru
Russian Federation, Moscow
M. P. Shcherbina
Institute of Astronomy of the Russian Academy of Sciences; Lomonosov Moscow State University, Sternberg Astronomical Institute
Email: busarev@sai.msu.ru
Russian Federation, Moscow; Moscow
N. V. Karpov
Institute of Astronomy of the Russian Academy of Sciences
Email: busarev@sai.msu.ru
Russian Federation, Moscow
A. P. Gorshkov
Institute of Astronomy of the Russian Academy of Sciences
Email: busarev@sai.msu.ru
Russian Federation, Moscow
References
- V.V. Busarev, S.I. Barabanov, V.S. Rusakov, V.B. Puzin, and V.V. Kravtsov, Icarus 262, 44 (2015).
- V.V. Busarev, A.B. Makalkin, F. Vilas, S.I. Barabanov, and M.P. Scherbina, Icarus 304, 83 (2018).
- V.V. Busarev, E.V. Petrova, M.P. Shcherbina, S.Y. Kuznetsov, M.A. Burlak, N.P. Ikonnikova, A.A. Savelova, and A.A. Belinskii, Solar System Res. 57, 439 (2023).
- V.V. Busarev, E.V. Petrova, T.R. Irsmambetova, M.P. Shcherbina, and S.I. Barabanov, Icarus 369, id. 114634 (2021).
- E. Petrova and V. Busarev, Solar System Res. 57(2), 161 (2023).
- C.R. Chapman, D. Morrison, and B. Zellner, Icarus 25, 104 (1975).
- A. Dollfus, M. Wolff, J. Geake, D. Lupishko, and L. Dougherty, in Asteroids II. Proc.of the Conference, Tucson, AZ, Mar. 8–11, 1988 (A90-27001 10-91) (Tucson, AZ: University of Arizona Press, 1989), p. 594.
- I. Belskaya, A. Cellino, R. Gil-Hutton, K. Muinonen, Y. Shkuratov, in Asteroids IV, edited by P. Michel, F.E. DeMeo, and W. F. Bottke (Tucson: University of Arizona Press, 2015), p.151.
- E.V. Petrova. Solar System Research 58, 196 (2024).
- K. Serkowski, in Planets, Stars, and Nebulae: Studied with Photopolarimetry, Proc. of IAU Colloq. 23, held in Tucson, AZ, November, 1972; edited by T. Gehrels (Tucson, AZ: University of Arizona Press, 1974), p.135.
- J.-C. Hsu and M. Breger, 262, 732 (1982).
- G. D. Schmidt, R. Elston, and O. L. Lupie, Astron. J. 104(4), 1563 (1992).
- N. Kiselev, V. Rosenbush, K. Muinonen, L. Kolokolova, A. Savushkin, and N. Karpov, Planetary Sci. J. 3(6), id. 134 (2022).
- G. Chernova, D. Lupishko, and V. Shevchenko, Kinematika Fiz. Nebesn. Tel. 10(2), 45 (1994).
- K. Lumme and K. Muinonen, Abstracts for the IAU Symp. 160 Asteroids, Comets, Meteors 1993, held June 14–18, 1993, in Belgirate, Italy (Houston: Lunar and Planetary Institute, 1993), p.194.
- D. Lupishko, NASA Planetary Data System, p. 1 (2019), https://sbn.psi.edu/pds/resource/doi/apd_1.0.html .
- D. Tholen, in Asteroids II. Proc. of the Conference, held in Tucson, AZ, Mar. 8–11, 1988 (A90-27001 10-91), edited by R. P. Binzel, T. Gehrels, and M. S. Matthews (Tucson, AZ: University of Arizona Press, 1989), p. 1139.
- D.J. Tholen, Asteroid taxonomy from cluster analysis of photometry, PhD thesis, University of Arizona (1984), 150 p.
- S.J. Bus and R.P. Binzel, Icarus 158(1), 146 (2002).
- M. Mahlke, B. Carry, and P.-A. Mattei, Astron. and Astrophys. 665, id. A26 (2022).
- M.F. A’Hearn and P.D. Feldman, Icarus 98(1), 54 (1992).
- Д. Лупишко, Фотометрия и поляриметрия астероидов: результаты наблюдений и анализ данных, Дисс. докт. физ.-мат. наук, Харьков, гос.университет (1998), 259 с.
- B. Zellner and J. Gradie, Astron. J. 81, 262 (1976).
- A. Cellino, S. Bagnulo, R. Gil-Hutton, P. Tanga, M. Cañada-Assandri, and E. Tedesco, Monthly Not. Roy. Astron. Soc. 451, 3473 (2015).
- A. Penttilä, K. Lumme, E. Hadamcik, and A.-C. Levasseur-Regourd, Astron. and Astrophys. 432, 1081 (2005).
- R. Gil-Hutton, V. Mesa, A. Cellino, P. Bendjoya, L. Penaloza, and F. Lovos, Astron. and Astrophys. 482, 309 (2008).
- K. Antonyuk and N. Kiselev, Solar System Res. 46, 54 (2012).
- R. Gil-Hutton and M. Cañada-Assandri, Astron. and Astrophys. 539, id. A115 (2012).
- R. Gil-Hutton and E. Garca-Migani, Astron. and Astrophys. 607, id. A103 (2017).
- V. Busarev, S. Barabanov, and V. Puzin, Solar System Res. 50, 281 (2016).
- V. Busarev, L. Golubeva, E. Petrova, and D. Shestopalov, in The Eleventh Moscow Solar System Symposium (11M-S3), held in Moscow 5—9 October 2020 (Moscow: Space Research Institute of the Russian Academy of Sciences Press, 2020), Book of Abstracts 11MS3-SB-09, p. 275.
- J.P. Laboratory, Small-Body Database Lookup Tool, https://ssd.jpl.nasa.gov/tools/sbdb_lookup.html#/?sstr=1
- N. Schorghofer, E. Mazarico, T. Platz, F. Preusker, S.E. Schröder, C.A. Raymond, and C.T. Russell, Geophys. Res. Letters 43, 6783 (2016).
Supplementary files







