Linear polarization of the helium D3 line by accelerated protons in the solar chromosphere
- Authors: Shapochkin M.В.1, Bogachev S.A.2
-
Affiliations:
- Moscow Physical Society
- Space Research Institute of the Russian Academy of Sciences
- Issue: Vol 101, No 2 (2024)
- Pages: 174-182
- Section: Articles
- URL: https://bakhtiniada.ru/0004-6299/article/view/263974
- DOI: https://doi.org/10.31857/S0004629924020105
- EDN: https://elibrary.ru/KSMORJ
- ID: 263974
Cite item
Full Text
Abstract
In the article, we have studied the impact linear polarization of the helium D3 line that takes place in the solar chromosphere under the action of protons accelerated in solar flares. The dependence of the energy distribution of protons on the distance traveled inside the chromosphere is calculated. The ratio of the concentrations of nonthermal protons and thermal electrons at different depths is theoretically determined. From the calculation of the degree of linear polarization of the helium line D3 for different layers of the chromosphere, the region of probable formation of the line is determined.
Full Text
1. Введение
В настоящей работе мы исследуем вопрос о возможности формирования и величине ударной линейной поляризации в спектральной линии гелия D3 (587.73 нм) при воздействии на хромосферу Солнца энергичных протонов, ускоренных в солнечных вспышках. Так как линия D3 находится в видимой области спектра, существуют возможности для ее наблюдения с помощью наземных средств измерения. В то же время активно обсуждаются и космические эксперименты по регистрации соответствующего излучения. В частности, наблюдения Солнца в линии D3 будут возможны в ходе космического эксперимента Proba-3 с помощью коронографа ASPIICS (разрабатывается европейским космическим агентством [1]). Речь в данном случае идет, однако, только об измерении интенсивности излучения без измерения его поляризации. Также измерения солнечного излучения в линии D3 запланированы в рамках космического проекта Solar Orbiter [2]. Такие возможности предоставляет коронограф Metis, установленный на борту КА и проводящий, в числе прочего, наблюдения в канале видимого излучения 580–640 нм. В данный диапазон входит также линия D3. Прибор помимо интегрального излучения будет измерять и поляризацию [3].
Основным источником излучения в линии D3 является относительно холодная плотная плазма с температурой около 10 тыс. К, наблюдаемая на Солнце в хромосфере, а также присутствующая в короне в протуберанцах и ядрах корональных выбросов массы (КВМ). О наблюдательных признаках поляризации излучения в линии D3 сообщалось в работе [4], где было проанализировано несколько КВМ, наблюдавшихся прибором LASCO-C2 на борту космического аппарата SoHO. Возможности обнаружения поляризации в линии D3 по наблюдениям коронографа Metis были ранее также изучены в работе [5].
В работе [6] был проведен аналитический расчет степени линейной поляризации излучения линии D3 при ударном воздействии электронов на плазму солнечных протуберанцев. Авторами показано, что поляризация может иметь заметные значения, хотя и существенно зависит от характеристик спектра электронов, в особенности от его наклона. Вопрос об ударной поляризации протонами в работе не рассматривался.
В настоящей работе мы аналитически исследуем ударную поляризацию в линии D3, возникающую под воздействием ускоренных протонов. Мы рассматриваем хромосферу Солнца, в которой складываются наиболее благоприятные условия для формирования данного излучения. Известно, что хромосфера Солнца является толстой мишенью для ускоренных частиц и по этой причине существенно изменяет их распределение по энергиям. Поэтому спектр нетепловых протонов и электронов внутри хромосферы в области формирования линии D3 должен существенно отличаться от исходного распределения ускоренных во вспышке частиц. Это различие следует принимать во внимание. Ранее похожие расчеты были проведены в работе [7], где рассматривалась ударная поляризация протонами линии водорода Hα в хромосфере Солнца. Излучение в линии гелия D3 в работе не исследовалось. Мы в настоящей работе применяем схожий метод для расчета энергетического распределения протонов в области формирования линии D3, но используем иной метод для расчета поляризации, который совпадает с методом, применявшимся в работе [6].
Структура работы следующая. В разделе 2 мы обсуждаем общие особенности ударной поляризации протонами и основное ее отличие от поляризации электронами. В разделе 3 мы излагаем метод расчета спектров частиц и проводим соответствующий расчет. В разделе 4 мы проводим расчет поляризации. В последнем разделе мы представляем заключения и выводы.
2. Анализ сечений и скорости процессов возбуждения линии гелия при столкновении с электронами и протонами
Для оценки вклада механизмов ударного возбуждения электронами и протонами был выполнен расчет сечения возбуждения линии гелия 5876 Å, соответствующей переходу 3D33,2,1 — 2P32,1,0 электронным и протонным ударом из основного состояния атома с энергией возбуждения Δɛ = 23.07 эВ. Расчет сечений возбуждения атомов гелия электронным и протонным ударом, а также соответствующих скоростей процессов проводился в приближении Борна по программе ATOM, описанной в работе [8].
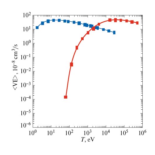
На рис. 1 показано, что сечения в широком диапазоне “приведенных” энергий ведут себя подобно. Для полноты сопоставления процессов возбуждения в равновесных условиях представляет интерес сравнение скоростей процессов возбуждения электронами и протонами в зависимости от температуры максвелловского распределения. Результат показан на рис. 2. “Квадратики” соответствуют возбуждению линии 5876 Å. Видно, что для температур меньше 1 кэВ превалирует возбуждение электронами. Для бо́льших энергий превалирует возбуждение протонами.
Рис. 1. Сечение возбуждения электронами (красная сплошная линия) и протонами (синяя штриховая линия) перехода 3D33,2,1 – 2P32,1,0 атома He I.
Рис. 2. Зависимость от температуры скорости процессов возбуждения перехода 3D33,2,1 – 2P32,1,0 атома He I электронами (красный цвет) и протонами (синий цвет).
Таким образом, в равновесной плазме, близкой к LTE состоянию, при температуре около 10 эВ возбуждение линии 5876 Å определяется столкновениями с электронами.
Если ввести термин “минимальная энергия степенно́го распределения” (low cut-off energy), то есть энергия, начиная с которой распределение приобретает степенну́ю форму, то при значении этой величины более 1 кэВ вклад протонов в возбуждение линии 5876 Å будет преимущественный. Для определения роли электронов и протонов в возбуждении и поляризации линий гелия необходимо знать не только параметры теплового распределения частиц, но и сделать расчет характеристик функции распределения нетепловых частиц.
3. Характеристики нетепловых протонов и тепловых электронов в области формирования линии D3
3.1. Спектр ускоренных протонов внутри хромосферы
В настоящем разделе представлены результаты расчета распределения по энергиям ускоренных протонов как функции расстояния пройденного потоком протонов в хромосфере. Также проводится расчет отношения концентраций нетепловых протонов и тепловых электронов в области формирования линии D3. Форма энергетического спектра протонов и отношение концентраций далее используются для расчета величины ударной поляризации протонами.
При расчете спектра протонов мы исходим из широко известной модели толстой мишени (см., напр., [9, 10]). Метод расчета, как уже упоминалось, взят из работы [7]. Исходные спектры протонов и электронов, ускоренных во время вспышек на Солнце, согласно наблюдениям, имеют степенну́ю форму (см., напр., [11]), то есть описываются формулой вида
(1)
где E0 > ɛ. Здесь E0 — начальная энергия частицы (протона) после ускорения во вспышке, φ — наклон спектра (индекс степенно́го распределения), а ɛ — минимальная энергия частиц (lower energy cut-off). Ограничение E0 > ɛ необходимо, поскольку, если ɛ = 0, то при φ > 0 полное число частиц в распределении (1) становится бесконечным.
При движении заряженной частицы через плазму с концентрацией N энергия частицы в результате кулоновских столкновений уменьшается по закону (см., напр., [12]):
(2)
Уменьшение энергии частицы как функция пройденного пути x, таким образом, описывается формулой
(3)
где z — переменная интегрирования.
В работе [7] вместо расстояния x было предложено использовать величину EN, определяемую по формуле
(4)
В этом случае формула (3) может быть преобразована к виду
(5)
Величина EN(x) равна минимальной энергии, которую должна иметь частица, чтобы пройти в хромосфере путь x. Таким образом, если глубина формирования спектральной линии равна некоторой величине x0, то частицы с начальной энергией E0 < EN(x0) не достигают области формирования линии и в формировании излучения не участвуют.
Для области формирования линии водорода Hα, исследованной в работе [7], для протонов была принята величина EN = 100 – 200 кэВ. Хотя температура ионизации атома гелия He I выше, чем у атома водорода H I, мы полагаем, что области формирования линий Hα и D3 в хромосфере примерно совпадают. По этой причине мы ниже при расчетах исследовали примерно такой же диапазон для величины EN.
Конкретное значение глубины x для конкретного значения EN, согласно формуле (4), зависит от распределения плотности внутри хромосферы. Пример соответствующего расчета приведен в приложении к работе.
Введем понятие начального потока протонов, то есть числа частиц на 1 см2 за 1 с на верхней границе хромосферы (при x = 0):
(6)
В этом случае формула (1) для исходного степенно́го распределения принимает вид:
(7)
Применяя к выражению (7) преобразование (5), получаем искомое распределение протонов по энергиям внутри хромосферы в зависимости от параметра EN:
(8)
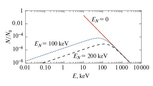
Примеры расчета по формуле (8) показаны на рис. 3.
Рис. 3. Распределение ускоренных протонов в атмосфере Солнца. Сплошная линия (красная) — исходное степенно́е распределение EN = 0 с наклоном φ = 3 и минимальной энергией ε = 10 кэВ. Пунктирная линия (синяя) — распределение частиц на глубине EN = = 100 кэВ (x ≈ 1600 км). Пунктирная линия (черная) — распределение частиц на глубине EN = 200 кэВ (x ≈ 1800 км).
Согласно расчетам, распределение ускоренных протонов в хромосфере не сохраняет степенну́ю форму. При больших энергиях (E >> EN) спектр примерно остается степенны́м с тем же наклоном φ: f (E) ~ E - φ. При малых энергиях (E << EN) распределение имеет форму f (E) ~ E. Точка перегиба приблизительно находится на энергии E ≈ EN.
3.2. Расчет эффективного спектра
Модель для расчета поляризации, использованная в работе [6], предполагает, что распределение ускоренных частиц в области формирования излучения является степенны́м. По этой причине мы далее будем заменять фактические спектры f (E), определяемые по формуле (8), на эквивалентные степенны́е спектры, fc(E), имеющие вид:
(9)
Эффективный спектр рассчитывается, исходя из условия, что в нем содержится такое же число частиц, как и в фактическом спектре на глубине EN:
(10)
Так как условия (10) недостаточно для однозначного расчета эффективного спектра, мы зафиксируем его минимальную энергию (low cut-off energy) ɛ1 = 20 кэВ, и наклон (спектральный индекс распределения) δ = 2.5. Из формул (8)–(10) получаем формулу для эффективного спектра:
(11)
Пример расчета по формуле (11) показан на рис. 4.
Рис. 4. Пример расчета эффективного степенно́го спектра (красная линия) по исходному спектру (синяя линия) внутри хромосферы.
Заметим, что солнечные вспышки обычно производят ускоренные частицы в очень широком диапазоне энергий, от единиц кэВ до десятков и сотен МэВ. При изучении некоторых эффектов, возникающих при взаимодействии ускоренных частиц с хромосферой, иногда исследуют и иные участки спектра, в том числе высокоэнергичные, с энергиями от сотен кэВ и, как правило, с иным наклоном спектра (см., напр., [13]). В данной работе мы использовали более обычные традиционные значения, в частности минимальную энергию в 10–20 кэВ, которая считается границей, отделяющей тепловую плазму от нетепловой в обычных солнечных вспышках. Наклон δ = 2.5 мы также рассматриваем как среднюю характерную величину в диапазоне δ = 2–3.
3.3. Расчет отношения концентраций нетепловых протонов и тепловых электронов
Так как при движении протонов через хромосферу часть их тормозится, поток протонов уменьшается с глубиной. Зависимость потока протонов от глубины x, Np(x) может быть найдена по формуле:
(12)
Подставляя сюда формулу (8), получаем:
(13)
отсюда
(14)
Для расчетов в работе мы использовали следующие значения параметров: начальная концентрация протонов Np0 = 108 см–3; концентрация тепловых электронов в области формирования линии (согласно расчетам в Приложении к работе соответствует глубине 1700 км) Ne = 1011 см–3.
Поясним, что хотя взаимодействие протонов с хромосферой происходит вдоль всего их пути движения, то есть в столбе x км, распределение плотности газа в этом столбе является барометрическим, то есть экспоненциально растет с глубиной. По этой причине основное энерговыделение и основное излучение в спектральной линии происходят в ограниченном диапазоне высот вблизи основания “столба”, где сосредоточена основная масса газа мишени. Соответствующий диапазон высот мы называем в работе областью формирования излучения.
Результаты расчета для разных значений EN и e приведены в табл. 1. Для удобства восприятия мы в таблице перешли от глубины x, более удобной для расчетов, к высоте h над нулевым уровнем фотосферы. Величины h и x, очевидно, связаны в нашей модели простой формулой: h = 2200 км – x (см. также Приложение).
Таблица 1. Степень поляризации излучения как функция параметров спектра протонов и высоты над нулевым уровнем фотосферы
Энергия ε, кэВ | Глубина EN(x) | n = Ne,t /Np,nt | Поляризация P % | ||
ε1 = 10 | ε1 = 15 | ε1 = 20 | |||
10 | 50 кэВ (x = 800 км) 100 кэВ (x = 610 км) 150 кэВ (x = 500 км) 200 кэВ (x = 420 км) | 2.50 × 104 1.00 × 105 2.25 × 105 4.00 × 105 | 55 14 07 04 | – 26 11 06 | – 60 18 10 |
15 | 50 кэВ (x = 800 км) 100 кэВ (x = 610 км) 150 кэВ (x = 500 км) 200 кэВ (x = 420 км) | 1.10 × 104 4.45 × 104 1.00 × 105 1.80 × 105 | – 30 14 08 | – 55 26 12 | – 40 22 – |
20 | 50 кэВ (x = 800 км) 100 кэВ (x = 610 км) 150 кэВ (x = 500 км) 200 кэВ (x = 420 км) | 6.25 × 103 2.50 × 104 5.60 × 104 1.00 × 105 | – 55 24 14 | – – 43 26 | – – 71 40 |
Примечание. Расчеты поляризации (три столбца справа) выполнены для значений ε1 = 10, 15 и 20 кэВ. Прочерки означают, что программа дает «нереально большое» значение поляризации. В столбце n = Ne,t /Np,nt приведены значения отношения концентрации тепловых электронов к концентрации нетепловых протонов для различных глубин.
4. Методы расчета
В общем случае для спектральных линий, формирующихся в солнечной хромосфере, отсутствует локальное термодинамическое равновесие, в результате чего расчет конкретной спектральной линии требует учета полной структуры атома. При исследовании поляризации этим иногда пренебрегают, полагая, что основные зависимости (прежде всего, зависимость степени поляризации от характеристик частиц) могут быть выявлены в том числе в приближении “двухуровневого атома”. При проведении расчетов мы следовали этой упрощенной модели. В целом, мы полагаем, что такой подход допустим, в том числе поскольку формирование излучения при исследованных в работе энергиях протонов происходит на большой глубине в хромосфере, вблизи температурного минимума, где приближение локального равновесия хотя и не может быть признано полностью корректным, но все же более обосновано, чем в случае верхней хромосферы, имеющей более высокие температуры и, кроме того, активно взаимодействующей с магнитным полем Солнца. При расчетах, основанных на таком приближении, тем не менее учитывается, что среда, приближенно находящаяся в равновесии до воздействия на нее потоков частиц, тем не менее выходит из равновесия после такого воздействия. Такое приближение, где система находится в состоянии LTE, но отклоняется от него при взаимодействии с потоками частиц, в литературе иногда называется non-LTE. Мы далее будем следовать этой терминологии.
В качестве источника поляризации мы рассматриваем столкновение атомов гелия с изотропными электронами и анизотропными протонами. При таких столкновениях возбужденное состояние атомов гелия выстраивается в соответствии с состоянием частиц, имеющих анизотропное угловое распределение, что, в свою очередь, приводит к анизотропии (поляризации) излучения. Также считается, что величина и ориентация магнитного поля не влияют на выстраивание возбужденных состояний ударом [14].
Нас будет интересовать поляризация излучения в нормальном направлении к направлению анизотропного потока протонов.
Расчет степени линейной поляризации выполняется с использованием математического аппарата атомной матрицы плотности [14].
4.1. Функции распределения электронов и протонов
В качестве полного (энергетического и углового) распределения частиц, осуществляющих столкновительное воздействие на атомы гелия, мы используем функцию, которая учитывает максвелловские тепловые и степенны́е нетепловые электроны и протоны, что было предложено в работе [15]:
(15)
Такая функция распределения содержит следующие параметры: Nt — концентрация тепловых электронов или протонов, T0 — температура тепловых электронов или протонов, Nnt — концентрация нетепловых электронов или протонов, ɛ1 — «low cut-off energy» степенно́го распределения электронов или протонов, δ — спектральный индекс распределения электронов или протонов, θ — питч-угол, описываемый функцией Хэвисайда.
Для случая плазмы non-LTE, но близкой к LTE, когда концентрация нетепловых частиц много меньше концентрации тепловых частиц, мы будем считать, что концентрации и температуры электронов и протонов равны. Для области, в которой наблюдается поляризация линий гелия, нами сделан расчет концентрации нетепловых частиц.
Из расчета видно, что концентрация нетепловых протонов меняется по мере распространения в хромосфере. Столкновения с потоком нетепловых протонов необходимо учитывать.
4.2. Сечения и скорости процессов возбуждения линии гелия при столкновении с электронами и протонами
Сечение возбуждения линии гелия 5876 Å, соответствующей переходу 3D33,2,1–P32,1,0 электронным и протонным ударом из основного состояния атома с энергией возбуждения Δɛ = 23.07 эВ, описывается аналитическим выражением для полного сечения Q(ɛ) возбуждения линии Нe, полученным по методу Борна [16].
Для степени линейной поляризации P линии He при возбуждении электронным пучком из основного состояния атома [17] удобно использовать аналитическую формулу для степени линейной поляризации излучающих переходов [18], также основанную на методе Борна. Используем экспериментально найденные значения степени линейной поляризации в пороге возбуждения P0 = 10%, т.е. при минимальной энергии электронов, при которой возможно возбуждение перехода. В работе [17] приведена теоретическая оценка значения поляризации в пороге, равная 31.7%. Тогда
(16)
где ɛ0 — энергия, при которой поляризация меняет знак, выраженная в пороговых единицах Δɛ. Она равна 5.25. Погрешность описания поляризации около 6%. В силу подобия сечений для электронов и протонов (рис. 1) предположим, что зависимости степени линейной поляризации от энергии для электронов и протонов будут подобны.
4.3. Степень линейной поляризации излучения линии He в хромосфере
Расчет степени линейной поляризации проведен нами в общем виде с учетом известного выражения для квадрупольного момента функции распределения протонов f2+(2)(e). В этом случае выражение для степени поляризации принимает можно представить как:
(17)
где n = Nt /Nnt — отношение концентрации тепловых электронов Nt к концентрации нетепловых протонов Nnt. Величина I0 в знаменателе (17) определяется столкновениями с изотропными тепловыми электронами, а I1 в числителе (17) определяется столкновениями с анизотропными нетепловыми протонами:
(18)
(19)
Заметим, что структура выражений I0 и I1 в (18) и (19) аналогична структуре, приведенной в работе [5]. Для их расчета в явном виде подставим в формулы (18) и (19) следующие величины: выражение для полного сечения Q(ɛ) возбуждения линии Нe и степени линейной поляризации излучения P(ɛ) для угла наблюдения 90°; максвелловскую функцию распределения ft(ɛ) для тепловых электронов и функцию распределения fnt(ɛ) для нетепловых протонов. Величина a есть отношение a = /ε2, где ε2 — константы анизотропии протонов, — средняя энергия нетепловых протонов. Значение θ, питч-угла пучка протонов для различных значений параметра приведено в работе [15].
Результаты вычисления I0 и I1 определяются параметрами функции распределения электронов и протонов вспышки и атомной системы. При этом I0 зависит от двух параметров: Δε и T0. Величина I1 зависит от пяти параметров: Δε, P0, ε0, θ(ε2) и δ. Полученное аналитическое выражение для поляризации излучения хромосферы позволяет проанализировать поведение поляризации как функции параметров распределения тепловых электронов и нетепловых протонов.
Если характеристики атомной системы Δε, P0 и ε0 считать заданными, то выражение для поляризации содержит пять описывающих электроны и протоны параметров: n, T0, ε1, δ и θ (ε2).
4.4. Обсуждение результатов расчета степени линейной поляризации линии Не 5876 Å
Для проведения аналитических расчетов степени линейной поляризации излучения использовался пакет прикладных программ MATHCAD, позволяющий проводить численные расчеты и выполнять графические построения.
Положим следующие значения для параметров: температура электронов — 10 эВ (предполагалось, что плазма слабо анизотропная, т. е. n должно быть много больше единицы). По порядку величины оно, например, равно значению в хромосфере Солнца n = Nt /Nnt = 1.6 × 104 [19, 20]. Значения n приведены в табл. 1 для различных глубин. Для случая степенно́го распределения протонов: ε1 = 10, 15 и 20 кэВ; d = 2.5; θ = 37.5°. Все эти соображения учитывались при проведении расчетов.
В трех последних столбцах табл. 1 приведены результаты расчета значения поляризации излучения линии атома гелия 5876 Å. Расчеты выполнены для значений ε1, равных 10, 15 и 20 кэВ. В столбце n = Ne,t/Np,nt приведены значения отношения концентрации тепловых электронов к концентрации нетепловых протонов для различных глубин. Прочерки означают, что программа дает значение поляризации “нереально большое”.
Мы осознаем, что выбранные параметры функции распределения электронов и протонов могут при наблюдении отличаться от использованных при расчете, поэтому приводим графики зависимости степени линейной поляризации от ε1, q(ε2) и n.
Графики представлены для условий расчета: δ = 2.5, ε1 = 15 кэВ, θ = 37.5° и n = 105. На рис. 5 приведена зависимость степени линейной поляризации линии от параметра ε1 “low cut-off energy” нетепловых протонов. С увеличением энергии нетепловых протонов поляризация увеличивается. На рис. 6 показана зависимость степени линейной поляризации линии от питч-угла θ(ε2). С увеличением угла, т.е. с увеличением изотропизации распределения протонов, поляризация уменьшается. На рис. 7 показана зависимость степени линейной поляризации от n = Nt /Nnt. По мере увеличения отношения числа тепловых электронов Nt к числу нетепловых протонов Nnt увеличивается изотропизация распределения протонов и уменьшается поляризация. Приведенные зависимости степени линейной поляризации позволяют определить поляризацию при иных значениях параметров функции распределения протонов и электронов, чем те, для которых приведен приведенный выше расчет.
Рис. 5. Зависимость степени линейной поляризации ионизованного газа от параметра ε1 для δ = 2.5 и θ = 37.5°.
Рис. 6. Зависимость степени линейной поляризации ионизованного газа от величины питч-угла θ при δ = 2.5, ε1 = 15 кэВ.
Рис. 7. Зависимость степени линейной поляризации ионизованного газа от параметра n для d = 2.5, ε1 = 15 кэВ и θ = 37,5°.
5. Заключение и выводы
Вопрос о механизме формирования и степени поляризации излучения, регистрируемого при наблюдении линий излучения в хромосфере и короне Солнца, представляет как теоретический интерес, так и практическое значение, как способ диагностики характеристик плазмы в области излучения, а также (в случае ударного механизма) как способ диагностики характеристик ускоренных частиц.
С теоретической точки зрения расчет поляризации представляет собой непростую многопараметрическую задачу, требующую знания характеристик излучающей плазмы, а также информации об энергетическом распределении частиц.
Хотя при рассмотрении поляризации излучения ударным механизмом часто рассматривают пучки электронов, при исследовании хромосферных линий большое значение может иметь также поляризация протонами. В отношении линии гелия D3, исследованной в работе, анализ сечений соответствующих ударных процессов показывает, что при энергиях частицы выше 10 кэВ эффективность поляризации протонами становится выше, чем эффективность поляризации электронами.
В настоящей работе мы провели соответствующий расчет для типовой модели солнечной хромосферы. Важной особенностью расчета является то, что мы провели моделирование энергетических распределений протонов внутри хромосферы, а также получили простое аналитическое выражение для определения отношений концентраций нетепловых протонов и тепловых электронов в области формирования излучения. Это позволяет сократить число неизвестных параметров при расчете степени поляризации плазмы.
Результаты расчетов показывают, что модель приводит к непротиворечивым результатам при использованных исходных предположениях о форме спектра ускоренных протонов и начальной концентрации частиц в короне. Расчеты показывают, что степень поляризации излучения в линии D3 особенно существенно зависит от глубины формирования линии, так как глубина x влияет на форму спектра и концентрацию нетепловых протонов.
Наиболее интенсивная поляризация излучения происходит в области глубин x = 1600–1800 км, то есть в нижней хромосфере.
Мы рассчитываем, что полученные результаты будут полезны, в том числе при интерпретации новых экспериментальных данных космических миссий Proba-3 и Solar Orbiter.
Финансирование
Исследование выполнено при поддержке гранта Российского научного фонда № 23-72-300021.
Авторы благодарят В. П. Шевелько (ФИАН) за представленные результаты расчета сечения и скорости возбуждения линии гелия при столкновении с электронами и протонами.
Приложение А. Расчет зависимости энергии EN от глубины x в хромосфере солнца
В разделе представлен пример расчета зависимости энергии EN, использующейся в работе, от глубины x в хромосфере Солнца. Согласно формуле (4), для определения зависимости EN(x) необходимо знать зависимость концентрации хромосферной плазмы N(x) от высоты. Для целей данной работы это распределение можно считать экспоненциальным (барометрическим):
(20)
Для расчетов использованы следующие значения: (1) концентрация плазмы на верхней границе хромосферы N(x = 0) = 109 см–3; (2) высота однородной хромосферы H = 136 км; (3) толщина хромосферы h = 2200 км. При таких параметрах расчетное значение концентрации хромосферы на нижней границе, N(x = h), составляет 1016 см–3, т.е. совпадает с концентрацией верхней фотосферы. Подставляя формулу (20) в (4), получаем
(21)
отсюда
(22)
Вместо глубины x удобно использовать высоту h над нулевым уровнем фотосферы (x + h = 1200 км).
Соответствие между EN, x и h для некоторых дискретных значений EN приведены в табл. 2. Можно заметить, что потери энергии заряженной частицы в хромосфере зависят от количества (или толщи) вещества в столбе вдоль направления движения частицы, но не зависят от распределения этого вещества внутри столба. По этой причине результаты расчета умеренно чувствительны к выбору конкретной модели хромосферы, поскольку количество вещества в единичном столбе солнечной хромосферы является более-менее постоянной величиной во всех моделях.
Таблица 2. Соответствие между EN и x в солнечной хромосфере
Энергия EN, кэВ | Глубина x, км | Высота h, км |
50 | 1400 | 800 |
100 | 1590 | 610 |
150 | 1700 | 500 |
200 | 1780 | 420 |
1 https://rscf.ru/project/23-72-30002/
About the authors
M. В. Shapochkin
Moscow Physical Society
Author for correspondence.
Email: labex@yandex.ru
Russian Federation, Moscow
S. A. Bogachev
Space Research Institute of the Russian Academy of Sciences
Email: labex@yandex.ru
Russian Federation, Moscow
References
- S.V. Shestov, A.N. Zhukov, B. Inhester, L. Dolla, and M. Mierla, Astron. and Astrophys. 652, id. A4 (2021).
- D. Müller, O.C. St. Cyr, I. Zouganelis, H.R. Gilbert, et al., Astron. and Astrophys. 642, id. A1 (2020), arXiv:2009.00861 [astro-ph.SR].
- E. Antonucci, S. Fineschi, G. Naletto, M. Romoli, et al., in Space Telescopes and Instrumentation 2012: Ultraviolet to Gamma Ray, Proc. of SPIE Conf. Ser. 8443, id. 844309 (2012).
- O. Floyd and P. Lamy, Solar Phys. 294, 168 (2019).
- P. Heinzel, J. Štěpán, A. Bemporad, S. Fineschi, S. Jejčič, N. Labrosse, and R. Susino, 900, id. 8 (2020), arXiv:2007.08940 [astro-ph.SR].
- S.A. Bogachev and M.B. Shapochkin, Astron. Rep. 66, 1329 (2022).
- J. Štěpán, P. Heinzel, and S. Sahal-Bréchot, Astron. and Astrophys. 465, 621 (2007), arXiv:astro-ph/0701617.
- V.P. Shevelko and L.A. Vainshtein, Atomic physics for hot plasmas (Bristol, Philadelphia: Institute of Physics Pub., 1993).
- J.C. Brown, Solar Phys. 18, 489 (1971).
- S. I. Syrovatskii and O. P. Shmeleva, Soviet Astron. 16, 273 (1972).
- S.A. Bogachev and B.V. Somov, Astron. Letters 33, 54 (2007).
- Б.В. Сомов, С.И. Сыроватский, Успехи физ. наук 120(10), 217 (1976).
- G.S. Kerr, J.C. Allred, A.F. Kowalski, R.O. Milligan, H.S. Hudson, N. Zambrana Prado, T. A. Kucera, and J. W. Brosius, 945(2), id. 118 (2023), arXiv:2302.02017 [astro-ph.SR].
- S.A. Kazantsev and J.-C. Henoux, Polarization spectroscopy of ionized gases, Astrophys. Space Sci. Library 200 (Dordrecht; Boston: Kluwer Academic Publishers, 1995).
- E. Haug, Solar Phys. 71, 77 (1981).
- Л.А. Вайнштейн, И.И. Собельман, Е.А. Юков, Возбуждение атомов и уширение спектральных линий (М.: Наука, 1979).
- R.H. McFarland and E.A. Soltysik, Phys. Rev. 127(6), 2090 (1962).
- M.B. Shapochkin, Physica Scripta 60(4), 335 (1999).
- J.C. Hénoux, D. Heristchi, G. Chambe, B. Woodgate, R. Shine, J. Beckers, and M. Machado, Astron. and Astrophys. 119, 233 (1983).
- J.C. Hénoux and M. Karlický, Astron. and Astrophys. 341, 896 (1999).
Supplementary files









