МГД-моделирование эволюции молекулярных волокон
- Авторы: Султанов И.М.1, Хайбрахманов С.А.2,1,3
-
Учреждения:
- Челябинский государственный университет
- Санкт-Петербургский государственный университет
- Уральский федеральный университет
- Выпуск: Том 101, № 1 (2024)
- Страницы: 34-41
- Раздел: СТАТЬИ
- URL: https://bakhtiniada.ru/0004-6299/article/view/261215
- DOI: https://doi.org/10.31857/S0004629924010044
- EDN: https://elibrary.ru/LFUCTV
- ID: 261215
Цитировать
Полный текст
Аннотация
В работе с помощью кода FLASH выполнено численное магнитогазодинамическое (МГД) моделирование гравитационного коллапса и фрагментации цилиндрического молекулярного облака. В расчетах без магнитного поля облако быстро сжимается вдоль радиуса, и фрагментации не происходит. В расчетах с продольным магнитным полем коллапс волокна вдоль радиуса останавливается градиентом магнитного давления. В процессе дальнейшей эволюции на концах волокна образуются ядра с повышенной плотностью. В случаях с начальной интенсивностью магнитного поля B = 1.9×10-4 и 6×10-4 Гс концентрации газа в ядрах составляют n ≈ 1.7×108 и 2×107 см⁻³соответственно. Ядра передвигаются к центру со сверхзвуковыми скоростями |vz| = 3.6 и 5.3 км/с, их размеры вдоль радиуса и оси волокна составляют соответственно dr = 0.0075 пк и dz = 0.025 пк, dr = 0.03 пк и dz = 0.025 пк. Масса ядер увеличивается в процессе эволюции волокна и лежит в диапазоне ≈(10-20)Me. Согласно полученным результатам, ядра, наблюдаемые на концах молекулярных волокон, могут быть естественным результатом эволюции волокон с продольным магнитным полем.
Полный текст
1. ВВЕДЕНИЕ
Современные наблюдения показывают, что межзвездные облака имеют волокнистую структуру, которая прослеживается от сверхоблаков H I до отдельных молекулярных облаков [1]. Под волокнами понимаются вытянутые структуры на картах излучения межзвездной среды. Подобные волокна могут представлять собой либо цилиндрические облака, либо плоские слои молекулярного газа, видимые с ребра [2]. Большинство протозвездных облаков, в которых происходит звездообразование, располагаются внутри волокнообразных молекулярных облаков [3]. Поэтому исследование структуры и эволюции молекулярных волокон имеет важное значение для построения теории образования звезд.
Наблюдения показывают, что характерная ширина молекулярных волокон составляет порядка 10⁻¹ пк, а длина варьируется от нескольких пк до сотен пк. Температура в волокнах лежит в диапазоне от 10 до 25 К, а плотность вещества — от 10⁴ до 10⁵ см⁻³[2].
Поляризационное картирование молекулярных облаков указывает на то, что они пронизаны крупномасштабным магнитным полем [4]. В разреженных облаках магнитное поле, как правило, направлено вдоль главной оси волокна, в плотных облаках — поперек. Согласно измерениям зеемановского расщепления линий OH и оценкам с помощью метода Чандрасекара—Ферми, установлено, что интенсивность магнитного поля волокон увеличивается с лучевой концентрацией N и лежит в диапазоне от 10–5 Гс для разреженных облаков с N = 10¹⁹ см⁻² до 10⁻³ Гс для наиболее плотных волокон с N = 10²³ см⁻².
Вопрос о природе волокнистой структуры межзвездной среды в настоящее время является открытым [5]. Предложено несколько механизмов формирования волокон на различных уровнях иерархии межзвездной среды: паркеровская и тепловая неустойчивости на масштабах спиральных рукавов Галактики, гравитационная неустойчивость протяженных слоев газа, столкновения межзвездных ударных волн в турбулентной среде, крупномасштабные анизотропные движения газа в межзвездной среде с магнитным полем. Эволюция волокон после их образования зависит от их начального состояния и внешних условий.
В уединенных однородных изотермических волокнах гравитационная фокусировка приводит к образованию плотных ядер на концах волокна. Данный механизм иногда называется в литературе “коллапс с конца” (англ., end–dominated collapse [6]) или “фрагментация на концах” (edge fragmentation [5]). Примером такого облака является волокно S242, на концах которого наблюдаются ядра плотностью порядка 10⁵ см⁻³и размерами 1 пк [7].
Малые продольные возмущения волокон могут привести к развитию гравитационной неустойчивости [8, 9, 10]. В случае волокон без магнитного поля, неустойчивость развивается для волн, длина которых более чем в 4 раза превышает радиус однородной части волокна. Неустойчивость приводит к формированию гравитационных перетяжек и впоследствии — ядер, распределенных вдоль волокна с характерным расстоянием между ними порядка длины волны наиболее быстрорастущей моды неустойчивости. Форма ядер, образующихся в результате гравитационной фрагментации, близка к сферической [11]. Примером объекта, в котором наблюдаются признаки гравитационной фрагментации, является волокно NGC 2024S/Orion B. Ядра в этом волокне имеют размер порядка 10⁻² пк и массы ~1Me [12]. Профиль скорости вдоль волокна имеет периодический характер с длиной волны λ ~ 0.2 пк. Ядра смещены относительно максимумов скорости на λ/4, что явно указывает на гравитационную фрагментацию волокна. Другим примером подобного волокна является WB 673 [13].
С точки зрения интерпретации наблюдений особый интерес представляет моделирование фрагментации волокон с магнитным полем и определением условий их фрагментации. В работе Сейфрида и Уолш [14] с помощью численного кода FLASH выполнено моделирование эволюции волокон с учетом турбулентности и различных ориентаций магнитного поля. В зависимости от начальных условий, авторы выделили несколько режимов фрагментации волокна: фрагментация на концах, гравитационная фрагментация волокна с последующим образованием равномерно распределенных волокон, глобальный коллапс волокна по направлению к центру облака. Авторы показали, что градиент давления продольного магнитного поля поддерживает почти постоянную толщину волокна порядка 0.1 пк. Впоследствии этот вывод был подтвержден в МГД-расчетах Дудорова и Хайбрахманова [2].
В настоящей работе выполнено численное моделирование однородных молекулярных волокон с продольным магнитным полем и определены свойства ядер, образующихся в результате фрагментации на концах волокна. Основное внимание уделено влиянию магнитного поля на фрагментацию, а также на внутреннюю структуру, размеры и массы образующихся ядер.
В разделе 2 описана постановка задачи, основные уравнения и численный код FLASH, который используется для решения системы уравнений. В параграфе 3.1 приведены результаты расчетов эволюции волокна без магнитного поля и со слабым магнитным полем. Результаты расчетов с более сильным магнитным полем приведены в параграфе 3.2. В параграфе 3.3 описаны характеристики ядер, образующихся в расчетах с магнитным полем. В заключении суммированы результаты и сформированы выводы.
2. Модель
2.1. Постановка задачи
В работе моделируется гравитационный коллапс цилиндрического молекулярного облака (волокна) длиной H0 = 10 пк и радиусом r₀ = 0.2 пк. Молекулярный вес газа равен m = 2.31, температура T0 = 10 К, концентрация n0 = 10⁵ см⁻³. Линейная масса волокна M/L = 658M⊚ /пк превышает критическое значение (M/L)crit = 16.6M⊚ /пк [9, 10], т.е. волокно является гравитационно неустойчивым. Модели коллапса с учетом переноса излучения показывают, что в диапазоне концентраций n = [10⁵,10¹¹] см⁻³тепловая энергия сжимающегося газа эффективно высвечивается и температура газа остается примерно постоянной. На основе этого вывода в настоящей работе для простоты принимается, что газ характеризуется уравнением состояния с эффективным показателем адиабаты γ = 1.001, соответствующим изотермическому сжатию. Соответствующее отношение тепловой энергии к модулю гравитационной энергии εT = 0.003. Скорость звука в волокне равна cs = 0.19 км/с.
Для исследования роли магнитного поля в эволюции волокон проведены три расчета с разными значениями отношения магнитной энергии облака к его модулю гравитационной энергии: εm = 0 (расчет ГД), εm = 0.03 (расчет МГД-1), εm = 0.27 (расчет МГД-2). Соответствующие интенсивности магнитного поля равны: B = 0, 1.9×10⁻⁴, 6×10⁻⁴ Гс соответственно. В обоих случаях магнитное поле параллельно волокну. Волокно находится в равновесии по давлению с внешней средой с концентрацией и температурой n = 10⁴ см⁻³и T = 100 К. Характерное время свободного падения для выбранной плотности составляет tff ≈ 10⁵ лет.
Выясним, необходимо ли при исследовании начальных стадий сжатия волокна учитывать эффекты диффузии магнитного поля. Для этого оценим магнитное число Рейнольдса,
(1)
где v0 и l0 — характерные скорость газа и пространственный масштаб, η — коэффициент диффузии магнитного поля. В качестве l0 выберем радиус волокна r₀, в качестве характерной скорости — v0 = r₀/tff . Диссипация магнитного потока может быть обусловлена омической диффузией (ОД) или магнитной амбиполярной диффузией (МАД). Для оценок соответствующих коэффициентов используем формулы из статьи Дудорова и Хайбрахманова [15]:
(2)
где x — степень ионизации, T — температура газа, B — магнитная индукция, ρ — плотность газа, — коэффициент взаимодействия ионов массой mi = 30mH и нейтралов массой mn = μmH, где ⟨σv⟩in = 2×10⁻⁹ см³/с, mH — масса атома водорода. В рассматриваемом диапазоне плотностей степень ионизации можно оценить из баланса ионизацией космическими лучами со скоростью x и лучистыми рекомбинациями: , где ar = 6.21×10⁻¹¹T –½ см³/с — коэффициент лучистых рекомбинаций, n — концентрация газа [16].
Используя типичные параметры для межзвездной среды, получим для случая омической диффузии:
(3)
для амбиполярной диффузии:
(4)
Формулы (3) и (4) показывают, что при выбранных параметрах Rm≫1, то есть магнитное поле вморожено в газ.
2.2. Основные уравнения и методы решения
Исследуем эволюцию молекулярного волокна с помощью системы уравнений идеальной МГД:
, (5)
, (6)
(7)
(8)
(9)
(10)
где r, v и P — плотность, вектор скорости и давление газа, Ф — гравитационный потенциал, B — магнитная индукция, ε — внутренняя энергия газа, G — гравитационная постоянная, g — показатель адиабаты.
Для моделирования эволюции волокна используем численный код FLASH 4, в котором реализована технология адаптивно–встраиваемых сеток (AMR) [17]. В коде уравнения идеальной МГД (5)–(8) решаются с помощью схемы MUSCL годуновского типа [18]. Рассматривается трехмерная постановка задачи в декартовых координатах. Ось соответствует оси симметрии волокна. Размеры расчетной области в направлениях x × y × ɀ составляют 1.93 × 1.93 × 12.9 пк³, используется 7 уровней вложенности AMR-сетки. Размеры самой большой ячейки в направлениях x × y × ɀ равны 0.24 × 0.24 × 1.61 пк³, размеры самой малой — 0.0037 × 0.0037 × 0.025 пк³. Эффективное разрешение сетки на 7-м уровне вложенности составляет 512 × 512 × 512. Гравитационный потенциал находится с помощью древесного алгоритма Барнса—Хата [19].
3. Результаты расчетов
3.1. Общая картина эволюции волокна
Рис. 1. Распределение плотности волокна в плоскости x – ɀ в ГД-расчете в моменты времени t = 0 (а), 0.8tff (б), 1tff (в).
На рис. 1 приведены срезы плотностей в плоскости x - ɀ для ГД-расчета в моменты времени t = 0, 0.8tff , 1tff . Расчеты показывают, что в случае без магнитного поля волокно свободно сжимается вдоль радиуса и к моменту времени t = 1tff плотность в центре волокна вырастает на 3 порядка, толщина волокна вдоль радиуса составляет 0.004 пк. Фрагментации волокна не происходит.
Рис. 2. Распределение плотности (цветовая заливка) и линий магнитного поля (черные линии со стрелками) волокна в плоскости x – ɀ в расчете МГД-1 в моменты времени t = 0 (а), 1tff (б), 1.28tff (в).
На рис. 2 приведены срезы плотностей в плоскости x - ɀ для расчета МГД-1 в моменты времени t = 0, 1tff , 1.28tff . В расчете МГД-1 к моменту времени t = 1tff волокно сжимается до радиуса r ≈ 0.1 пк и плотности n ≈ 1.77×10⁸ см⁻³. К этому моменту времени эффективный показатель адиабаты увеличивается от 1 до 2, сжатие вдоль r останавливается градиентом магнитного давления, и в дальнейшем облако осциллирует вдоль радиуса.
На концах облака к моменту времени t = 1.28tff выделяются ядра плотностью n = 1.7×10⁸ см⁻³. Свойства ядер обсуждаются далее в разделе “Характеристики образующихся ядер”.
3.2. Влияние магнитного поля на эволюцию магнитного поля
Рис. 3. Распределение плотности и линий магнитного поля волокна в плоскости x – ɀ в расчете МГД-2 в моменты времени t = 0 (а), 1tff (б), 1.28tff (в), 1.9tff (г).
На рис. 3 приведены срезы плотностей в плоскости x – ɀ для расчета МГД-2 в моменты времени t = 0.1tff , 1.28tff , 1.9tff . В расчете МГД-2 картина коллапса качественно похожа на результаты для варианта МГД-1. Волокно сжимается до радиуса r ≈ 0.3 пк и концентрации n ≈ 2×10⁵ см⁻³к моменту времени 1tff , после чего сжатие останавливается и начинаются осцилляции волокна вдоль радиуса. Плотность образующихся на торцах волокна ядер к моменту времени 1.9tff составляет n ≈ 2×10⁷ см⁻³.
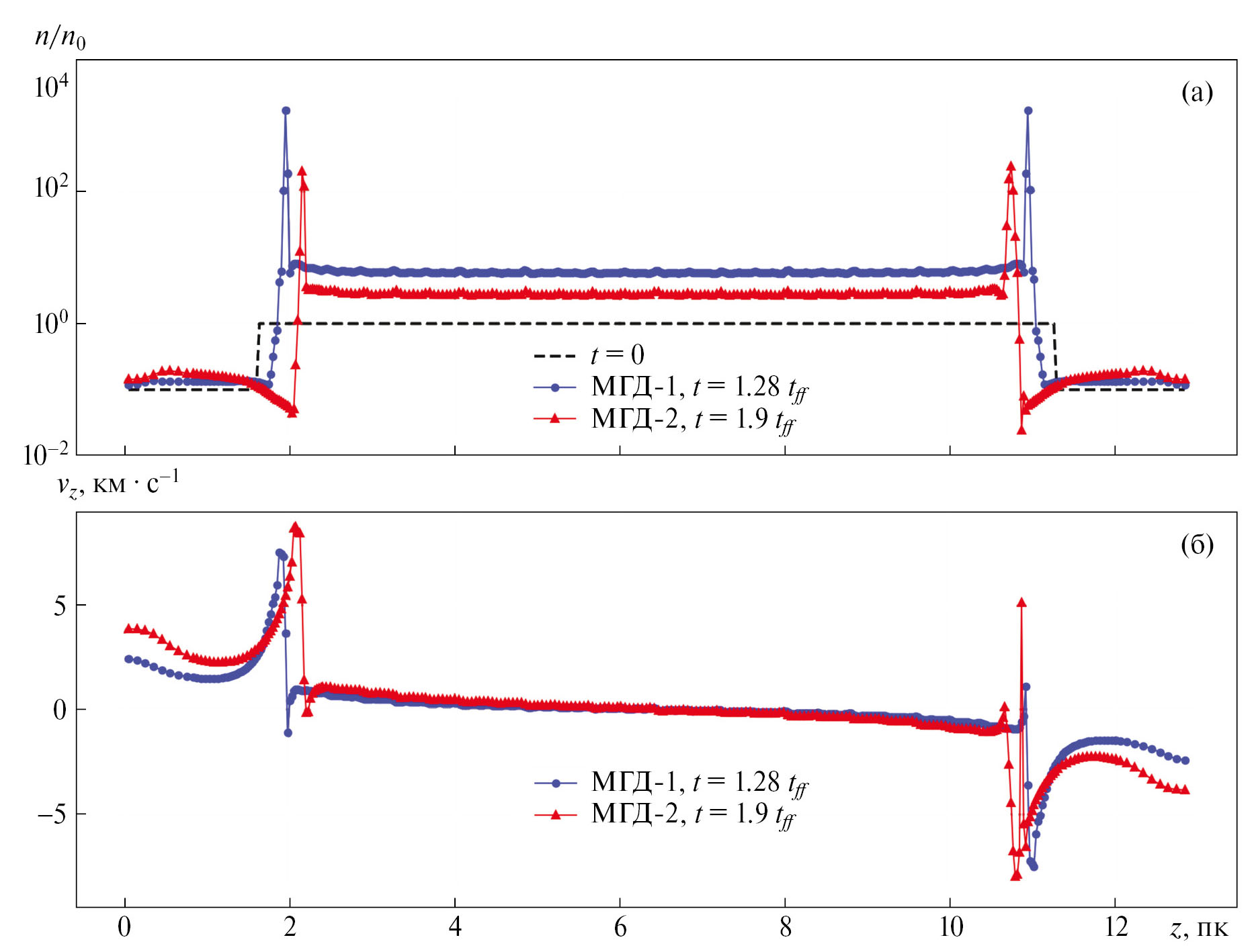
Рис. 4. Панель (а): профили плотности волокна вдоль оси ɀ для МГД-расчетов в моменты времени t = 0, 1.28tff и 1.9tff . Панель (б): профили скорости vɀ вдоль оси ɀ для МГД-расчетов в моменты времени t = 1.28tff и t = 1.9tff .
На рис. 4 показана эволюция профилей плотности и скорости вдоль волокна в МГД-расчетах. Расположение торцов волокна в момент времени t = 0 соответствует координатам ɀL = 1.6 пк и ɀR = 11.3 пк. В расчете МГД-1 к моменту времени t = 1.28tff на концах волокна (ɀL = 1.9 пк и ɀR = 11 пк) наблюдаются пики плотностей n = 1.7×10⁸ см⁻³и скоростей vɀ = 3.6 км/с. Пики соответствует ядрам, образующимся на концах волокна. Скорость левого ядра положительна, правого — отрицательна. Для данных значений скоростей число Маха составляет M = 6, то есть ядра двигаются со сверхзвуковыми скоростями навстречу друг к другу.
Рис. 5. Распределение плотности (цветовая заливка), поля скоростей (зеленые стрелки) и линий магнитного поля (черные линии со стрелками) в области формирования ядер в расчете МГД-1 в моменты времени t = 1tff (а) и 1.28tff (б).
В расчете МГД-2 плотности и скорости ядер, расположенных в момент времени t = 1.9tff на координатах ɀL = 2.15 пк и ɀR = 10.75 пк, равны соответственно n = 2×10⁸ см⁻³и | vɀ | = 5 км/с, а соответствующее число Маха равно M = 8.3.
3.3 Характеристики образующихся ядер
На рис. 5 приведено распределение плотности, линий магнитного поля и поля скоростей для расчета МГД-1 в области формирования ядер в моменты времени t = 1 и 1.28tff в плоскости x – ɀ. В силу симметрии, для примера показаны только ядра, находящиеся на “левом” торце волокна. На рис. 6 приведено аналогичное распределение для расчета МГД-2 в моменты времени t = 1.28tff и 1.9tff в плоскости x – ɀ.
Таблица 1. Характеристики ядер в МГД-расчетах
Расчет | Время, tff | dr , пк | dɀ, пк | n, см⁻³ | M, M⊚ | vɀ, км/с |
МГД-1 | 1.28 | 0.0075 | 0.025 | 1.7×10⁸ | 12.5 | 3.6 |
МГД-2 | 1.28 | 0.06 | 0.025 | 5.3×10⁵ | 2.5 | 2.7 |
1.9 | 0.03 | 0.025 | 2×10⁷ | 23.6 | 5.3 |
Рис. 6. Распределение плотности (цветовая заливка), поля скоростей (зеленые стрелки) и линий магнитного поля (голубые изолинии) в области формирования ядер в МГД-2 расчете в моменты времени t = 1tff (а), 1.28tff (б), 1.9tff (в).
В табл. 1 приведены следующие характеристики ядер в МГД-расчетах: размеры вдоль радиуса волокна r и оси ɀ (столбцы 3 и 4), концентрация n (столбец 5), масса M (столбец 6) и скорость vɀ (столбец 7). Таблица показывает, что в расчете с большей начальной интенсивностью магнитного поля образуются ядра большего радиуса dr и меньшей плотности. Это связано с тем, что в случае большей начальной интенсивности магнитного поля усиливается влияние градиента магнитного давления на динамику волокна. Размеры ядер вдоль оси ɀ не зависят от интенсивности начального магнитного поля, так как продольное магнитное поле не препятствует сжатию вдоль волокна. Масса ядер растет в процессе их движения и достигает 12.5M⊚ в расчете МГД-1 и 23M⊚ в расчете МГД-2.
4. Заключение
В работе исследовано влияние магнитного поля на эволюцию молекулярных волокон и на характеристики ядер, формирующихся в волокнах в результате фрагментации на концах. Для этого проведено численное МГД-моделирование гравитационного коллапса цилиндрического молекулярного волокна с различными значениями продольного магнитного поля.
Расчеты подтверждают выводы ранних работ о том, что волокно без магнитного поля свободно коллапсирует вдоль своего радиуса. Фрагментации волокна и образования ядер за время коллапса не происходит, поскольку коллапс вдоль радиуса происходит на меньшей шкале времени.
В МГД-расчетах градиент магнитного давления препятствует коллапсу и приводит к затухающим колебаниям волокна вдоль радиуса. В ходе эволюции на концах волокна образуются плотные сгустки (ядра), которые передвигаются к центру облака со сверхзвуковыми скоростями в диапазоне от 3 до 5 км/с. В облаках с большей начальной интенсивностью образуются ядра больших размеров и меньшей плотности, поскольку с увеличением интенсивности увеличивается влияние градиента давления магнитного поля вдоль радиуса. Масса ядер увеличивается в процессе эволюции волокна и лежит в диапазоне » H(10–20)Me.
Проведенные расчеты указывают, что коллапс с конца является естественным результатом эволюции волокна с продольным магнитным полем. Можно предположить, что волокна, в которых уплотнения наблюдаются только на концах (пр., [7]), поддерживаются от гравитационной фрагментации продольным магнитным полем. Дополнительную поддержку против гравитации может оказывать турбулентность в волокне [14, 20].
Дальнейшее развитие представленной модели предполагает моделирование эволюции волокон с учетом их неоднородности, а также вращения и/или внутренней турбулентности. Особый интерес представляет исследование гравитационной фрагментации волокна с продольным магнитным полем в рамках механизма гравитационных перетяжек Чандрасекара—Ферми [8].
ФИНАНСИРОВАНИЕ
Работа выполнена при финансовой поддержке Фонда перспективных научных исследований ЧелГУ (проект 2023/7). Расчеты проводились на вычислительном кластере Челябинского государственного университета. С. А. Хайбрахманов выражает благодарность за финансирование в рамках гос. задания по проекту FEUz-2020-0038.
КОНФЛИКТ ИНТЕРЕСОВ
Авторы данной работы заявляют, что у них нет конфликта интересов.
Об авторах
И. М. Султанов
Челябинский государственный университет
Автор, ответственный за переписку.
Email: syltahof@yandex.ru
Россия, Челябинск
С. А. Хайбрахманов
Санкт-Петербургский государственный университет; Челябинский государственный университет; Уральский федеральный университет
Email: syltahof@yandex.ru
Россия, Санкт-Петербург; Челябинск; Екатеринбург
Список литературы
- P. André, J. Di Francesco, D. Ward-Thompson, S.-I. Inutsuka, R. E. Pudritz, and J. E. Pineda, Protostars and Planets VI, edited by H. Beuther, R. S. Klessen, C. P. Dullemond, and T. Henning, (Tucson: University of Arizona Press, 2014), p.27.
- A. E. Dudorov and S. A. Khaibrakhmanov, Open Astronomy 26(1), 285 (2017).
- V. Konyves, P. André, A. Men’shchikov, P. Palmeirim, et al., Astron. and Astrophys. 584, id. A91 (2015).
- D. Ward-Thompson, K. Pattle, P. Bastien, R. S. Furuya, et al., Astrophys J. 842(1), id. 66 (2017).
- A. Hacar, S. E. Clark, F. Heitsch, J. Kainulainen, G. V. Panopoulou, D. Seifried, and R. Smith, Protostars and Planets VII, ASP Conf. Ser. 534, Proc. of a conference held 10–15 April 2023 at Kyoto, Japan; edited by Shu-ichiro Inutsuka, Y. Aikawa, T. Muto, K. Tomida, and M. Tamura (San Francisco: Astron. Soc. Pacific, 2023), p. 153.
- P. Bastien, Astron. and Astrophys. 119(1), 109 (1983).
- L.K. Dewangan, L.E. Pirogov, O.L. Ryabukhina, D. K. Ojha, and I. Zinchenko, Astrophys. J. 877(1), id. 1 (2019).
- S. Chandrasekhar and E. Fermi, Astrophys. J. 118, 116 (1953).
- J. S. Stodolkiewicz, Acta Astronomica 13, 30 (1963).
- J. Ostriker, 140, 10⁵6 (1964).
- Shu-ichiro Inutsuka and S. M. Miyama, 480, Astrophys. J. 681 (1997).
- Y. Shimajiri, P. André, N. Peretto, D. Arzoumanian, E. Ntormousi, and V. Konyves, Astron. and Astrophys. 672, id. A133 (2023).
- O.L. Ryabukhina, M. S. Kirsanova, C. Henkel, and D. S. Wiebe, Monthly Not. Roy. Astron. Soc. 517(4), 4669 (2022).
- D. Seifried and S. Walch, Monthly Not. Roy. Astron. Soc. 452(3), 2410 (2015).
- A.E. Dudorov and S. A. Khaibrakhmanov, Astrophys. Space Sci. 352(1), 103 (2014).
- A. E. Dudorov and Yu. V. Sazonov, Nauchnye Informatsii 63, 68 (1987).
- B. Fryxell, K. Olson, P. Ricker, F. X. Timmes, et. al., Astrophys. J. Suppl. 131, 273 (2000).
- B. van Leer, J. Comput. Phys. 32(1), 101 (1979).
- J. Barnes and P. Hut, Nature 324(6096), 446 (1986).
- C. Federrath, R.S. Klessen, L. Iapichino, and J.R. Beattie, Nature Astron. 5, 365 (2021).
Дополнительные файлы








