Гравитационный захват как возможный сценарий происхождения Луны
- Авторы: Тутуков А.В.1, Дремова Г.Н.2, Дремов В.В.2
-
Учреждения:
- Институт астрономии Российской академии наук
- Российский федеральный ядерный центр
- Выпуск: Том 100, № 11 (2023)
- Страницы: 1103-1118
- Раздел: СТАТЬИ
- URL: https://bakhtiniada.ru/0004-6299/article/view/148100
- DOI: https://doi.org/10.31857/S0004629923110117
- EDN: https://elibrary.ru/FZCDAQ
- ID: 148100
Цитировать
Полный текст
Аннотация
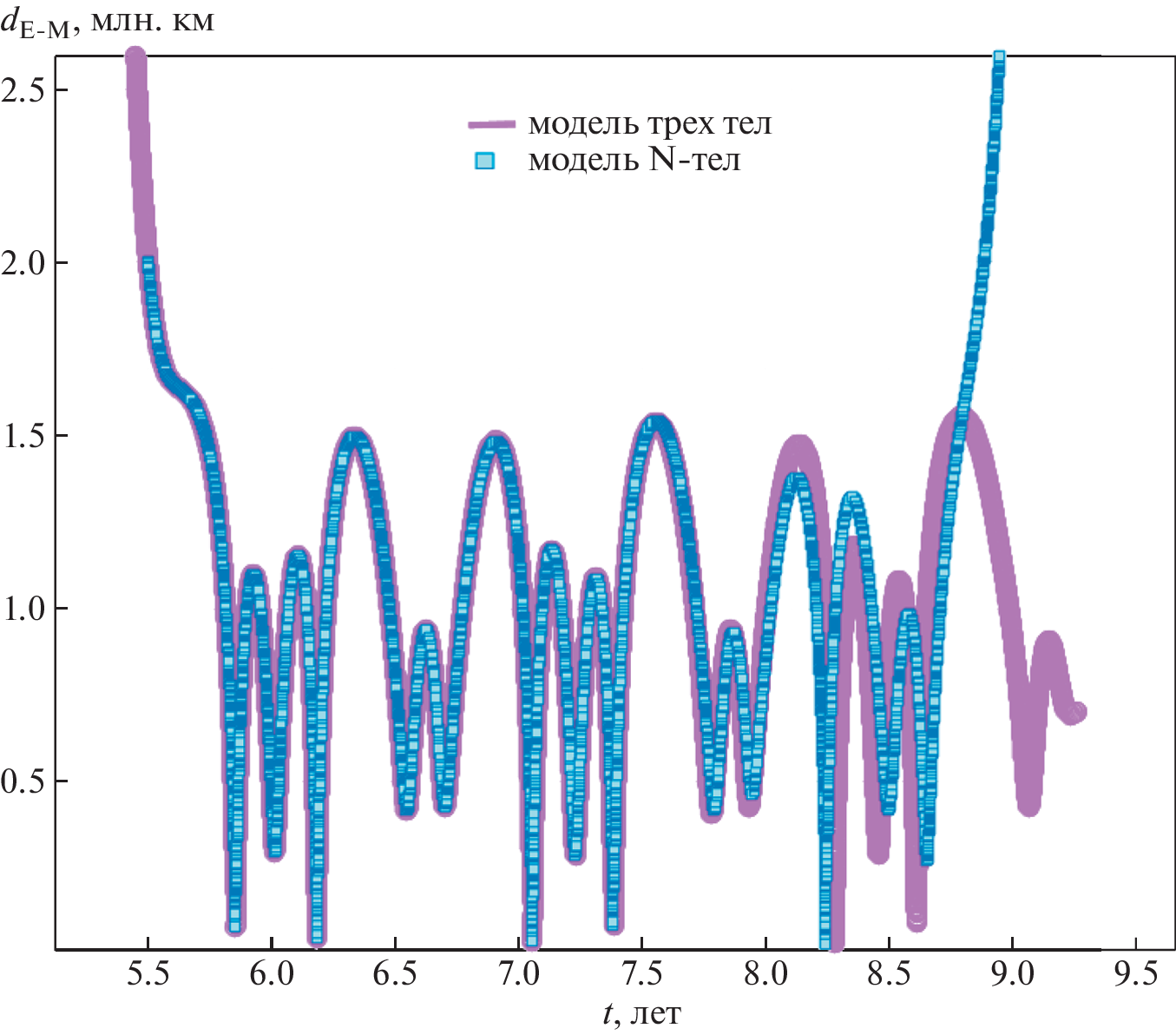
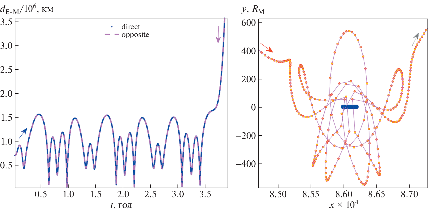
Статья посвящена проблеме происхождения Луны. Обсуждаются современные сценарии формирования системы Земля–Луна: одновременное образование Земли и Луны в околосолнечном газопылевом диске; ударное частичное разрушение Земли массивным астероидом; гравитационный захват Луны Землей; разрушение вначале двойной Луны при сближении с Землей с возможным последующим поглощением Землей компонента меньшей массы. Мы предлагаем двухстадийный сценарий гравитационного захвата Луны Землей на ранних стадиях Солнечной системы. На первой стадии, использующей гибридную численную модель в постановках задачи трех тел (Солнце, Земля и Луна) и \(N\)-тел, производится поиск и отбор врéменных орбит Луны вокруг Земли. Используя метод обратного интегрирования в постановке задачи \(N\)-тел, оценивается влияние приливных сил на перекачку орбитального момента Луны (\(P_{{{\text{orb}}}}^{M}\)) относительно Земли в ее собственный момент \(P_{s}^{M}\). Как показывает моделирование, действия одних приливных сил не достаточно для захвата Луны Землей в короткой шкале времени \( \sim 100\) лет (\(\Delta P_{s}^{M} \sim {{10}^{{ - 6}}}P_{{{\text{orb}}}}^{M}\)). На второй стадии учитывается фактор вязко-диссипативной среды, приводящей к дополнительному “притормаживанию” Луны, за счет, например, столкновений с астероидами и перехода приливной энергии в тепло, что помогает Луне избавиться от избытка кинетической энергии и обрести постоянную орбиту вокруг Земли.
Ключевые слова
Об авторах
А. В. Тутуков
Институт астрономии Российской академии наук
Автор, ответственный за переписку.
Email: atutukov@inasan.rssi.ru
Россия, Москва
Г. Н. Дремова
Российский федеральный ядерный центр
Автор, ответственный за переписку.
Email: G.N.Dryomova@mail.ru
Россия, Челябинская область, Снежинск
В. В. Дремов
Российский федеральный ядерный центр
Автор, ответственный за переписку.
Email: V.V.Dryomov@vniitf.ru
Россия, Челябинская область, Снежинск
Список литературы
- A. V. Tutukov, Soviet Astron. 31, 663 (1987).
- М. Маров, Космос от солнечной системы вглубь Вселенной (М.: Физматлит, 2016).
- М. Я. Маров, И. И. Шевченко, Успехи физ. наук 190 (9), 897 (2020).
- M. Reggiani, M. R. Meyer, G. Chauvin, A. Vigan, et al., Astron. and Astrophys. 586, id. A147 (2016).
- C. Clanton and B. S. Gaudi, Astrophys. J. 834 (1), id. 46 (2017).
- A. В. Тутуков, Г. Н. Дремова, В. В. Дремов, Астрон. журн. 97 (11), 939 (2020).
- B. J. Fulton, L. J. Rosenthal, L. A. Hirsch, H. Isaacson, et al., Astrophys. J. Suppl. 255 (1), id. 14 (2021).
- E. Kruse, E. Agol, R. Luger, and D. Foreman-Mackey, Astrophys. J. Suppl. 244 (1), id. 11 (2019).
- M. G. MacDonald, R. I. Dawson, S. J. Morrison, E. J. Lee, and A. Khandelwal, Astrophys. J. 891 (1), id. 20 (2020).
- А. Масевич, А. Тутуков, Эволюция звезд: теория и наблюдения (М.: Наука, 1988).
- K. Baka and E. Schlawin, arXiv:2111.12688 [astro-ph.EP] (2021).
- T. Stolker, S. Y. Hafferts, A. Y. Kesseli, R. J. van Holstein, et al., Astron. J. 162 (6), id. 286 (2021).
- V. Dobos, S. Charnoz, A. Pal, A. Roque-Bernard, and G. M. Szabó, Publ. Astron. Soc. Pacific 133 (1027), id. 094401 (2021).
- А. В. Тутуков, А. В. Федорова, Астрон. журн. 88 (5), 419 (2011).
- G. H. Darwin, Philosoph. Transactions Roy. Soc. London. 171, 713 (1880).
- G. H. Darwin, Nature 34, 287 (1886).
- G. Birkhoff, D. P. MacDougall, E. M. Pugh, and G. Taylor, J. Appl. Phys. 19, 563 (1948).
- W. K. Hartmann and D. R. Davis, Icarus 24 (4), 504 (1975).
- W. Benz, W. L. Slattery, and A. G. W. Cameron, Icarus 66 (3), 515 (1986).
- R. M. Canup and E. Asphaug, Nature 412 (6848), 708 (2001).
- H. Alfvén and G. Arrhenius, Moon 5 (1–2), 210 (1972).
- R. M. Canup, in: 50th Lunar and Planetary Science Conference, held 18–22 March, 2019 at The Woodlands, Texas; LPI Contribution № 2132, id. 2044 (2019).
- E. M. Galimov and A. M. Krivtsov, Origin of the Moon. New Concept: Geochemistry and Dynamics (Berlin: De Gruyter, 2012).
- N. Dauphas, C. Burkhardt, P. Warren, and F.-Z. Teng, Philosoph. Transactions Roy. Soc. A372, id. 2013.0244 (2014).
- R. M. Canup, K. Righter, N. Dauphas, K. Pahlevan, et al., arXiv:2103.02045 [astro-ph.EP] (2021).
- Т. Си, Новые Идеи в Астрономии (непериод. изд‑е), Сб. 3, 19 (1914).
- M. uk and S. T. Stewart, Science 338 (6110), 1047 (2012).
- S. J. Lock, S. T. Stewart, M. I. Petaev, S. B. Jacobsen, in: 50th Lunar and Planetary Science Conference, held 18–22 March, 2019 at The Woodlands, Texas; LPI Contribution № 2132, id. 1784 (2019).
- K. Pahlevan and D. J. Stevenson, Earth and Planet. Sci. Lett. 262 (3–4), 438 (2007).
- S. J. Lock, S. T. Stewart, M. I. Petaev, Z. Leinhardt, M. T. Mace, S. B. Jacobsen, and M. M. uk, J. Geophys. Res. Planets 123 (4), 910 (2018).
- Е. Л. Рускол, Астрон. журн. 37, 690 (1960).
- О. Ю. Шмидт, Четыре лекции о теории происхождения Земли, 2-е изд-е (М.: Изд-во АН СССР, 1949).
- А. В. Витязев, Г. В. Печерникова, В. С. Сафронов, Планеты земной группы. Происхождение и ранняя эволюция (М.: Наука: Физматлит, 1990).
- V. V. Svetsov, G. V. Pechernikova, A. V. Vityazev, in: 43rd Lunar and Planetary Science Conference, held March 19–23, 2012 at The Woodlands, Texas; LPI Contribution № 1659, id. 1808 (2012).
- Г. В. Печерникова, Е. Л. Рускол, в сб.: Жизнь и Вселенная, под ред. В. Н. Обридко и М. В. Рагульской (М.: Изд-во ВВМ, 2017).
- V. S. Safronov, G. V. Pechernikova, E. L. Ruskol, and A. V. Vityazev, Protosatellite swarms, Satellites, edited by J. A. Burns and M. S. Matthews (Tuscon: Univ. of Arizona Press, 1986).
- A. A. Boyarchuk, E. L. Ruscol, V. S. Safronov, and A. M. Frid-man, Doklady Physics 43 (8), 505 (1998).
- R. Rufu, O. Aharonson, and H. B. Perets, Nature Geoscience 10 (2), 89 (2017)
- R. I. Citron, H. B. Perets, and O. Aharonson, Astrophys. J. 862 (1), id. 5 (2018).
- A. S. Murachev, D. V. Tsvetkov, E. M. Galimov, A. M. Kriv-tsov, in: Advances in Mechanics of Microstructured Media and Structures, edited by F. dell’Isola, V. Eremeyev, and A. Porubov, Part of the book series: Advanced Structured Materials (STRUCTMAT) 87, 251 (2018).
- S. I. Ipatov, in: Origins: From the Protosun to the First Steps of Life, Proc. of the IAU 345, 148 (2020).
- H. Jeffreys, Monthly Not. Roy. Astron. Soc. 78, 116 (1917).
- F. Adams and K. Napier, Astrobiology 22 (12), 1429 (2022).
- Sung-Ho Na, J. Korean Astron. Soc. 45 (2), 49 (2012).
- C. de la Fuente Marcos and R. de la Fuente Marcos, Monthly Not. Roy. Astron. Soc. 494, 1089 (2020).
- M.-T. Hui, P. A. Weigert, D. J. Tholen, and D. Fohring, Astrophys. J. Letters 922 (2), id. L25 (2021).
- G. Fedorets, M. Micheli, R. Jedicke, S. Naidu, et al., Astron. J. 160 (6), id. 277 (2020).
- E. Schmutzer, Astron. Nachricht. 326 (8), 760 (2005).
- M. Krizek, V. G. Gueorguiev, A. Maeder, Gravitation and Cosmology 28 (2), 122 (2022).
- E. C. Ostriker, Astrophys. J. 513 (1), 252 (1999).
- J. B. Pollack, O. Hubickyj, P. Bodenheimer, J. J. Lissauer, M. Podolak, and Y. Greenzweig, Icarus 124 (1), 62 (1996).
- I. Kant, Allgemeine Naturgeschichte und Theorie des Himmels (1755).
- P. S. Laplace, Exposition du Systéme du Monde (1796).
- H. Alfvén, Physical Studies of Minor Planets, Proc. of IAU Colloq. 12, held in Tucson, AZ, March, 1971; edited by T. Gehrels; National Aeronautics and Space Administration SP 267, 1971, p. 315.
- N. Gorkavyi and T. Taidakova, Astron. Letters 21 (6), 846 (1995).
- S. Ida, R. M. Canup, and G. R. Steward, Nature 389 (6649), 353 (1997).
- E. Kokubo, S. Ida, and J. Makino, Icarus 148 (2), 419 (2000).
- R. Hyodo, K. Ohtsuki, and T. Takeda, Astrophys. J. 799 (1), id. 40 (2015).
- H. B. Perets, Astrophys. J. Letters 727 (1), id. L3 (2011).
- C. A. Giuppone, A. Rodriguez, T. A. Michtchenko, A. A. de Almeida, Astron. and Astrophys. 658, id. A99 (2022).
- D. Kipping, S. Bryson, C. Burke, J. Christiansen, et al., Bull. Amer. Astron. Soc. 54 (5), e-id. 2022n5i504p04 (2022).
- H. Ochiai, M. Nagasawa, and S. Ida, Astrophys. J. 790 (2), id. 92 (2014).
- V. van Eylen, S. Albrecht, X. Huang, M. G. MacDonald, et al., Astron. J. 157 (2), id. 61 (2019).
- Y. Chachan, P. A. Dalba, H. A. Knutson, B. J. Fulton, et al., Astrophys. J. 926 (1), id. 62 (2022).
- E. Knudstrup and S. H. Albrecht, Astron. and Astrophys. 660, id. A99, (2022).
- S. Albrecht, J. N. Winn, R. P. Butler, J. D. Crane, S. A. Shectman, I. B. Thompson, T. Hirano, and R. A. Wit-tenmyer, Astrophys. J. 744 (2), id. 189 (2012).
- N. Miret-Roig, H. Bouy, S. N. Raymond, M. Tamura, et al., Nature Astron. 6, 89 (2022).
- A. Siraj and A. Loeb, Monthly Not. Roy. Astron. Soc. 507 (1), L16 (2021).
- K. Napier, F. Adams, and K. Batygin, Planetary Sci. J. 2 (2), id. 53 (2021).
- J. A. Kegerreis, S. Ruiz-Bonilla, V. R. Eke, R. J. Massey, T. D. Sandnes, L. F. A. Teodoro, Astrophys. J. Letters 937 (2), id. L40 (2022).
- Г. Н. Дремова, В. В. Дремов, А. В. Тутуков, Физика космоса, Препринты 50-й Международной студенческой научной конференции (Екатеринбург, 30 января–3 февраля 2023 г.), стр. 523 (2023); https://astro.insma.urfu.ru/sites/default/files/school/y2023/preprint_v2sm.pdf
- L. Verlet and J.-J. Weis, Phys. Rev. A 5, 939 (1972).
- А. В. Тутуков, В. В. Дремов, Г. Н. Дремова, Астрон. журн. 84 (6), 487 (2007).
- M. Marov and S. Ipatov, Geochemistry International 59 (11), 1010 (2021).
- H. Poincare, Bull. Astronomique (Serie I) 28, 251 (1911).
- T. J. J. See, Astron. Nachricht. 181 (23), 365 (1909).
Дополнительные файлы








