A PLANET OR PRIMORDIAL BLACK HOLE IN THE OUTER REGION OF THE SOLAR SYSTEM AND THE DUST FLOW NEAR EARTH’S ORBIT
- Authors: Eroshenko Y.N.1, Popova E.A.1,2
-
Affiliations:
- Institute for Nuclear Research of the Russian Academy of Sciences
- Pulkovo Observatory of the Russian Academy of Sciences
- Issue: Vol 100, No 11 (2023)
- Pages: 1056-1068
- Section: Articles
- URL: https://bakhtiniada.ru/0004-6299/article/view/148097
- DOI: https://doi.org/10.31857/S0004629923110051
- EDN: https://elibrary.ru/YGHSEJ
- ID: 148097
Cite item
Full Text
Abstract
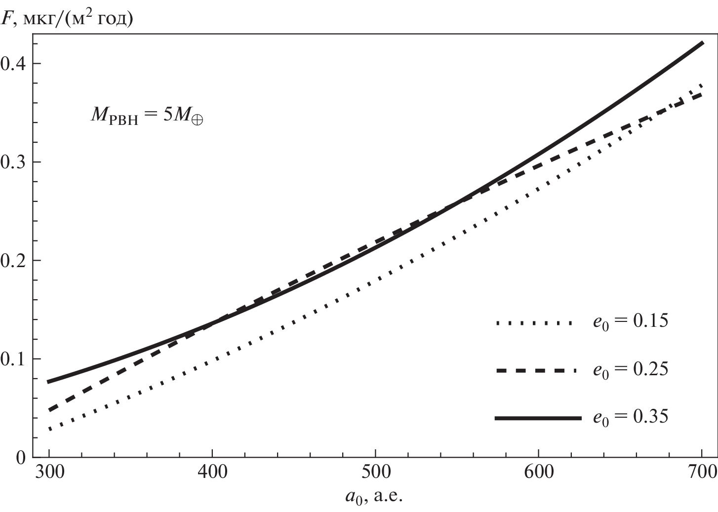
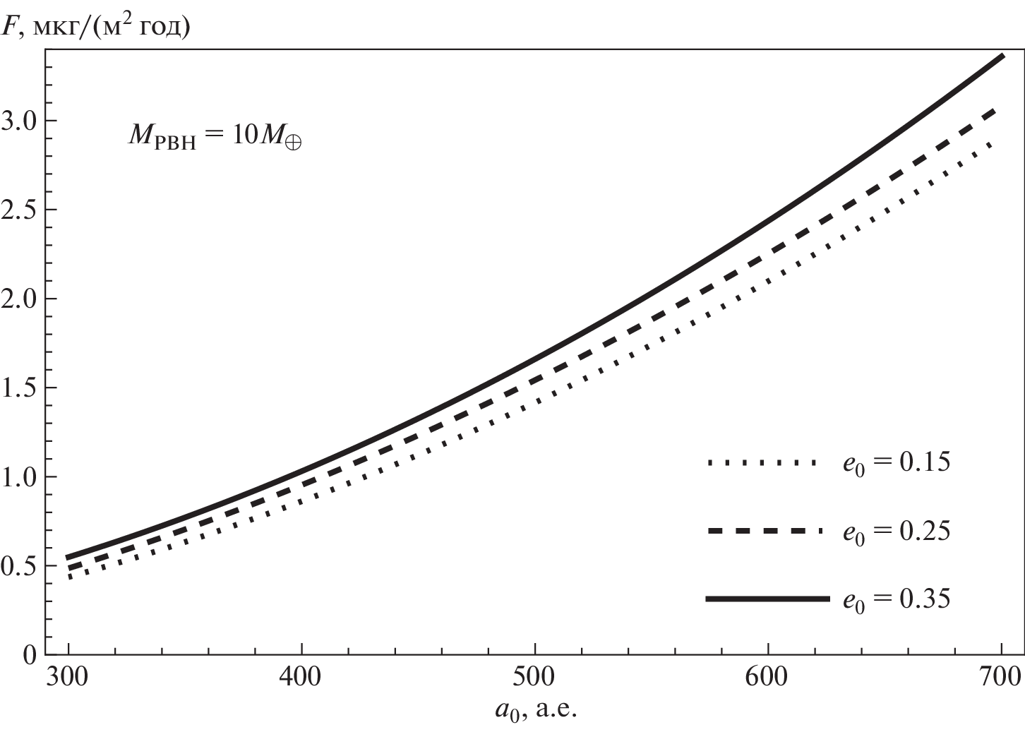
In recent years, evidence has been obtained that in the outer region of the Solar System (in the inner Oort cloud) at a distance of ~300–700 AU from the Sun, there may be a captured planet or a primordial black hole. In this paper, we show that the gravitational scattering on this object of dust particles located in the same region can transfer them to new elongated orbits reaching the Earth’s orbit. With the mass of the captured object of the order of 5–10 Earth masses, the calculated dust flow near the Earth is ~0.1–3 μg m–2 year–1 is comparable in order of magnitude with the observed flow. This effect gives a joint restriction on the parameters of the captured object and on the amount of dust in the Oort cloud.
Keywords
About the authors
Yu. N. Eroshenko
Institute for Nuclear Research of the Russian Academy of Sciences
Author for correspondence.
Email: eroshenko@inr.ac.ru
Russia, Moscow
E. A. Popova
Institute for Nuclear Research of the Russian Academy of Sciences; Pulkovo Observatory of the Russian Academy of Sciences
Author for correspondence.
Email: m02pea@gmail.com
Russia, Moscow; Russia, Saint Petersburg
References
- K. Batygin, F. C. Adams, M. E. Brown, and J. C. Becker, Phys. Rep. 805, 1 (2019).
- J. Scholtz and J. Unwin, Phys. Rev. Letters 125, id. 051103 (2020).
- K. J. Napier, D. W. Gerdes, H. W. Lin, S. J. Hamilton, et al., Planetary Sci. J. 2(2), id. 59 (2021).
- P. S. Lykawka and T. Ito, Astron. J. 166(3), id. 118 (2023).
- Я. Б. Зельдович, И. Д. Новиков, Астрон. журн. 43, 758 (1966).
- А. Д. Долгов, Успехи физ. наук 188, 121 (2018).
- B. Carr, K. Kohri, Y. Sendouda, and J. Yokoyama, Reports Progress Phys. 84(11), id. 116902 (2021).
- S. Blinnikov, A. Dolgov, N. K. Porayko, and K. Postnov, J. Cosmology and Astroparticle Phys. 11, id. 036 (2016).
- Dolgov and K. Postnov, J. Cosmology and Astroparticle Phys. 07, id. 063 (2020).
- S.-Y. Guo, M. Khlopov, X. Liu, L. Wu, Y. Wu, and B. Zhu, arXiv:2306.17022 [hep-ph] (2023).
- P. Ivanov, P. Naselsky, and I. Novikov, Phys. Rev. D. 50, 7173 (1994).
- B. Carr and F. Kühnel, Ann. Rev. Nuclear and Particle Sci. 70, 355 (2020).
- A. M. Green and B. J. Kavanagh, J. Physics G: Nuclear and Particle Phys. 48(4), id. 043001 (2021).
- J. Rojas, J. Duprat, C. Engrand, E. Dartois, et al., Earth and Planet. Sci. Lett. 560, id. 116794 (2021).
- K. Batygin and M. E. Brown, Astrophys. J. Letters 910, id. L20 (2021).
- A. Siraj and A. Loeb, arXiv:2103.04995 [astro-ph.CO] (2021).
- A. Siraj and A. Loeb, Res. Notes Amer. Astron. Soc. 5, 145 (2021).
- Y. Luo, S. Hanasoge, J. Tromp, and F. Pretorius, Astrophys. J. 751, id. 16 (2012).
- Л. В. Волкова, В. И. Докучаев, Письма в ЖЭТФ 60(7), 72 (1994).
- A. Siraj and A. Loeb, Astrophys. J. Letters 898, id. L4 (2020).
- A. Arbey and J. Auffinger, arXiv:2006.02944 [gr-qc] (2021).
- J. A. Burns, P. L. Lamy, and S. Soter, Icarus 40, 1 (1979).
- B. Gundlach, M. Fulle, and J. Blum, Monthly Not. Roy. Astron. Soc. 493, 3690 (2020).
- Б. М. Шустов, Р. В. Золотарёв, Астрон. журн. 99(2), 165 (2022).
- В. Г. Фесенков, Астрон. журн. 35, 327 (1958).
- N. Gorkavyi, L. Ozernoy, J. Mather, and T. Taidakova, ASP Conf. Ser. 207, 462 (1999); arXiv:astro-ph/9910551.
- D. E. Backman, A. Dasgupta, and R. E. Stencel, Astrophys. J. 450, L35 (1995).
- N. N. Gorkavyi, L. M. Ozernoy, T. Taidakova, and J. C. Mather, arXiv:astro-ph/0006435 (2000).
- G. D’Angelo and F. Marzari, Monthly Not. Roy. Astron. Soc. 509, 3181 (2022).
- А. В. Тутуков, М. Д. Сизова, С. В. Верещагин, Астрон. журн. 98(9), 780 (2021)
- М. Я. Маров, С. И. Ипатов, Успехи физ. наук 193, 2 (2023).
- N. A. Kaib and K. Volk, Chapter in press for the book Comets III, edited by K. Meech and M. Combi (University of Arizona Press, 2022); arXiv:2206.00010 [astro-ph.EP].
- D. Nesvorny, P. Jenniskens, H. F. Levison, W. F. Bottke, D. Vokrouhlicky, and M. Gounelle, Astrophys. J. 713, 816 (2010).
- О. В. Верходанов, Успехи физ. наук 186, 3 (2016).
- I. Mann, N. Meyer-Vernet, and A. Czechowski, Phys. Rep. 536, 1 (2014).
- Л. Д. Ландау, Е. М. Лифшиц, Механика (М.: Ф-ИЗМАТЛИТ, 2007).
- O. Y. Gnedin and J. P. Ostriker, Astrophys. J. 513, 626 (1999).
- M. Lingam and A. Loeb, Astron. J. 156, 193 (2018).
Supplementary files








