Подтверждение нового эволюционного статуса UU Cas
- Авторы: Горда С.Ю.1
-
Учреждения:
- Коуровская астрономическая обсерватория, Уральский федеральный университет
- Выпуск: Том 100, № 9 (2023)
- Страницы: 785-791
- Раздел: СТАТЬИ
- URL: https://bakhtiniada.ru/0004-6299/article/view/147874
- DOI: https://doi.org/10.31857/S0004629923090050
- EDN: https://elibrary.ru/AQEYVV
- ID: 147874
Цитировать
Полный текст
Аннотация
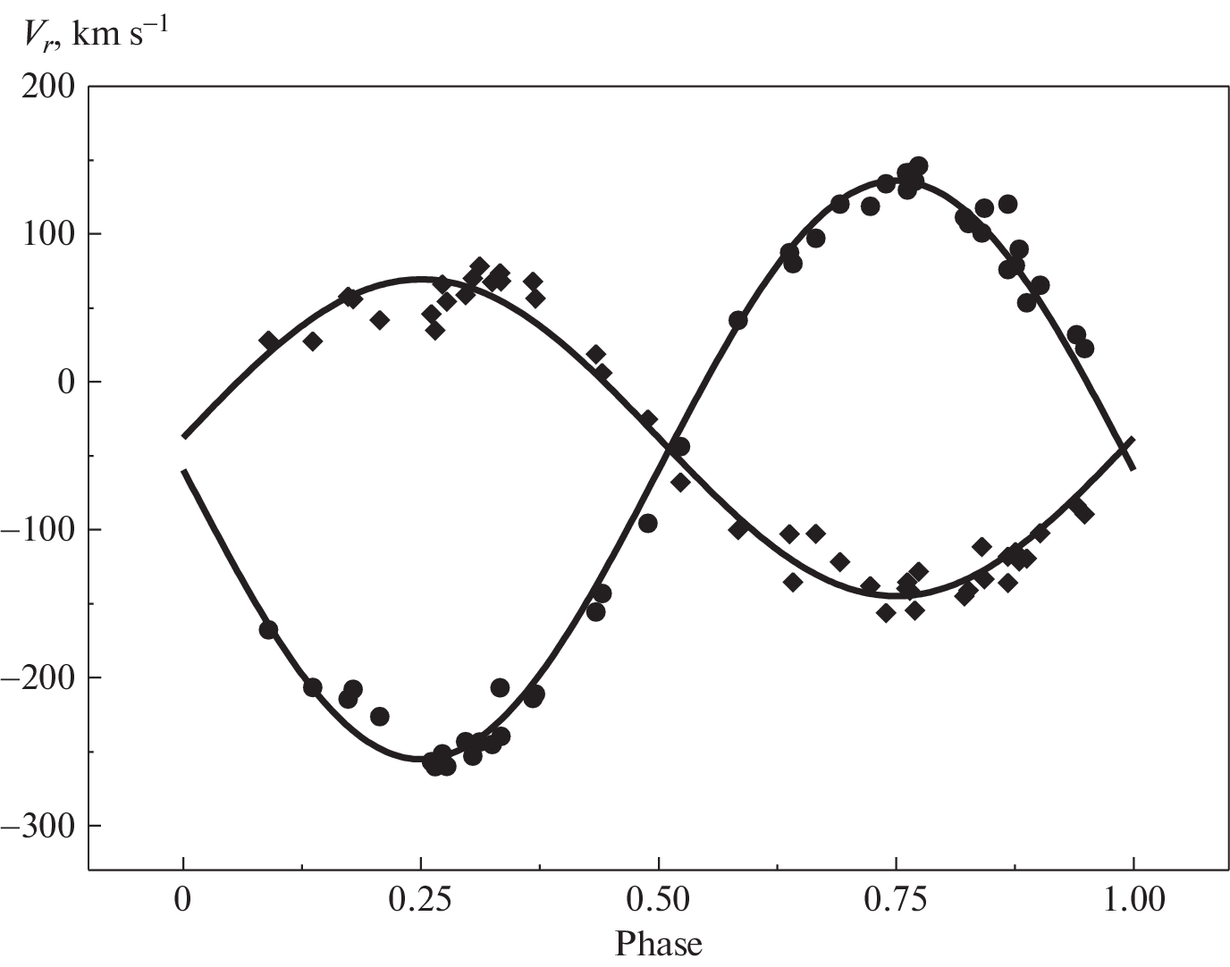
Приведены результаты нового спектрального исследования тесной двойной системы (ТДС) с массивными компонентами UU Cas, выполненного на основе спектров, полученных на эшелле-спектрометре 1.2-м телескопа Коуровской астрономической обсерватории УрФУ с 2017 по 2022 г. Результаты данного исследования подтверждают новый эволюционный статус UU Cas, ранее определенный автором на основе спектрофотометрии этой системы в 2017 г. и подтвержденный в ряде работ других исследователей, согласно которому система находится в заключительной стадии процесса обмена масс, а не в его начале, как считалось ранее. Ее компоненты не являются очень массивными, а значение отношения их масс является обратным тому, что было определено ранее по результатам фотометрии. Полученные на значительно более обширном наблюдательном материале значения полуамплитуд лучевых скоростей \({{K}_{1}} = 195.6\) км/с, \({{K}_{2}} = 106.5\) км/с и масс обоих компонентов \({{M}_{1}} = 9.6\;{{M}_{ \odot }}\), \({{M}_{2}} = 17.6\;{{M}_{ \odot }}\) для угла наклона орбиты i = 74.5°, приведенного недавно в литературе, а также радиуса орбиты \(A = 54\;{{R}_{ \odot }}\) этой ТДС сравнимы с найденными ранее автором значениями. Статья основана на докладе, сделанном на астрофизическом мемориальном семинаре “Новое в понимании эволюции двойных звезд”, приуроченном к 90-летию профессора М.А. Свечникова.
Ключевые слова
Об авторах
С. Ю. Горда
Коуровская астрономическая обсерватория, Уральский федеральный университет
Автор, ответственный за переписку.
Email: stanislav.gorda@urfu.ru
Россия, Екатеринбург
Список литературы
- R. F. Sanford, Astrophys. J. 79, 84 (1934).
- P. P. Parenago and B. V. Kukarkin, Peremennye Zvezdy 5, 287 (1940).
- M. I. Kumsiashvili and K. B. Chargeishvili, arXiv:0907.1047 [astro-ph.SR] (2009).
- T. S. Polushina, Astron. Rep. 46, 900 (2002).
- E. A. Antokhina and M. I. Kumsiashvili, Soviet Astron. 36, 25 (1992).
- H. Markov, I. Vince, N. Markova, and G. Djurašević, Publ. Astron. Observ. Belgrade 90, 159 (2010).
- H. Markov, N. Markova, I. Vince, and G. Djurašević, Bulgarian Astron. J. 15, 87 (2011).
- G. R. Djurašević, I. Vince, and O. Atanacković, ASP Conf. Ser. 435, 301 (2010).
- S. Y. Gorda, P. E. Zakharova, V. V. Krushinskii, and E. D. Kuznetsov, in 40th Student Sci. Conf. on Physics of Space, held in Ural Federal University, Ekaterinburg, 2011, p. 110.
- S. Y. Gorda, Astrophys. Bull. 72, 321 (2017).
- D. A. Kononov, S. Yu. Gorda, and S. Yu. Parfenov, Astrophys. J. 883, id. 186 (2019).
- R. E. Mennickent, G. Djurašević, I. Vince, J. Garcés, et al., Astron. and Astrophys. 642, id. A211 (2020).
- P. Hadrava, M. Cabezas, G. Djurašević, J. Garcés, et al., Astron. and Astrophys. 663, id. A8 (2022).
- P. Hadrava, Astron. and Astrophys. Suppl. Ser. 114, 393 (1995).
- V. E. Panchuk, M. V. Yushkin, and M. V. Yakopov, Astrophys. Bull. 66, 355 (2011).
- V. V. Krushinsky, A. A. Popov, and A. F. Punanova, As-trophys. Bull. 69, 497 (2014).
Дополнительные файлы




