DETERMINATION OF THE CLOSE BINARY SYSTEMS PARAMETERS BY SYNTHESIS METHODS: FROM WHITE DWARFS TO WOLF–RAYET STARS AND BLACK HOLES
- Authors: Antokhina E.A.1, Antokhin I.I.1
-
Affiliations:
- Sternberg Astronomical Institute, Lomonosov Moscow State University
- Issue: Vol 100, No 9 (2023)
- Pages: 772-784
- Section: Articles
- URL: https://bakhtiniada.ru/0004-6299/article/view/147873
- DOI: https://doi.org/10.31857/S0004629923090013
- EDN: https://elibrary.ru/XETYBU
- ID: 147873
Cite item
Full Text
Abstract
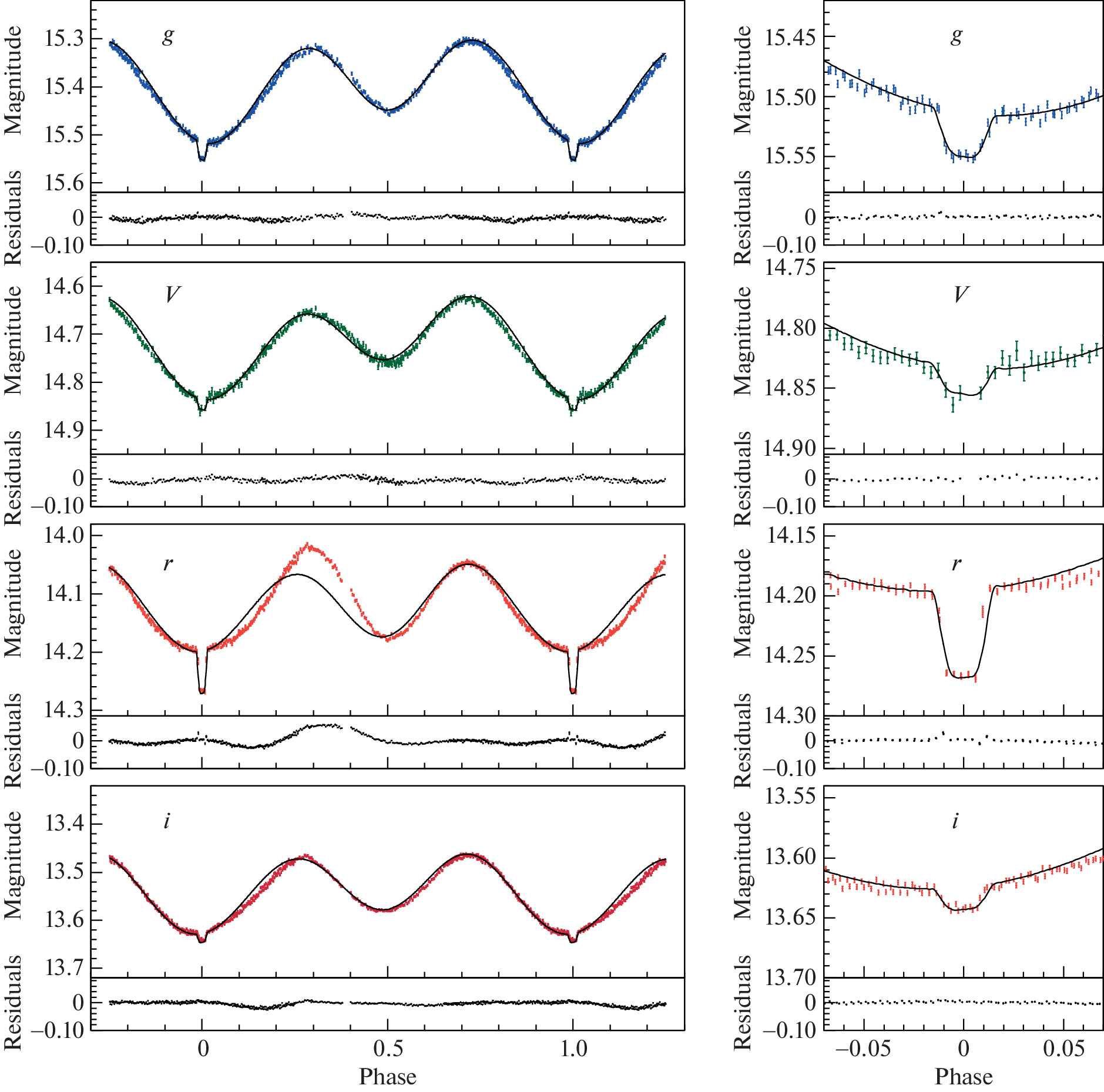
Synthesis methods for light and radial velocity curves are currently one of the main tools for studying close binary systems (CBS). The paper gives a brief overview of the history and development of the methods and their implementations at the SAI MSU, where a set of computer programs has been created to analyze observations of various types of CBS. As a demonstration, we present the results of the analysis by our algorithms of three interesting CBSs at different evolutionary stages. An analysis of the unusual light curves of the recently discovered pre-cataclysmic binary GPX-TF16E-48 was performed using the Roche model with spots on the normal star. The X-ray light curves of the microquasar SS433 were analyzed in a model with a precessing accretion disk. Thanks to the photometric data obtained from space, the highly elliptical Wolf–Rayet binary WR22 was studied in the Roche model accounting for the absorption in the powerful wind of the Wolf–Rayet star. As a result of this detailed analysis of the light curves and involving spectroscopic information, the parameters of the CBSs and their components were found. The paper is based on a talk presented at the astrophysical memorial seminar “Novelties in Understanding the Evolution of Binary Stars”, dedicated to the 90th anniversary of Professor M.A. Svechnikov.
About the authors
E. A. Antokhina
Sternberg Astronomical Institute, Lomonosov Moscow State University
Author for correspondence.
Email: elant@sai.msu.ru
Russia, Moscow
I. I. Antokhin
Sternberg Astronomical Institute, Lomonosov Moscow State University
Author for correspondence.
Email: igor@sai.msu.ru
Russia, Moscow
References
- G. Hill and J. B. Hutchings, Astrophys. J. 162, 265 (1970).
- R. E. Wilson and E. J. Devinney, Astrophys. J. 166, 605 (1971).
- D. B. Wood, Astron. J. 76, 701 (1971).
- R. E. Wilson, Astrophys. J. 234, 1054 (1979).
- Н. Г. Бочкарев, Е. А. Карицкая, Н. И. Шакура, Астрон. журн. 56, 16 (1979).
- Н. И. Балог, А. В. Гончарский, А. М. Черепащук, Астрон. журн. 58, 67 (1981).
- N. I. Balog, A. V. Goncharskij, Z. Yu. Metlitskaya, and A. M. Cherepashchuk, Peremennye Zvezdy 21, 695 (1982).
- Т. С. Хрузина, Астрон. журн. 62, 94 (1985).
- Э. А. Антохина, Астрон. журн. 65, 1164 (1988).
- Э. А. Антохина, Астрон. журн. 73, 532 (1996).
- Э. А. Антохина, А. М. Черепащук, Астрон. журн. 64, 562 (1987).
- Э. А. Антохина, Е. В. Сейфина, А. М. Черепащук, Астрон. журн. 69, 282 (1992).
- Т. С. Хрузина и А. М. Черепащук, Астрон. журн. 72, 203 (1995).
- Т. С. Хрузина, Астрон. журн. 82, 881 (2005).
- Т. С. Хрузина, Астрон. журн. 88, 463 (2011).
- Э. А. Антохина, А. М. Черепащук, Астрон. журн. 71, 420 (1994).
- Э. А. Антохина, А. М. Черепащук, В. В. Шиманский, Астрон. журн. 82, 131 (2005).
- E. A. Antokhina, I. I. Antokhin, and A. M. Cherepa-shchuk, Astron. Astrophys. Trans. 28, 3 (2013).
- E. A. Antokhina, I. I. Antokhin, and A. M. Cherepa-shchuk, Bull. Crimean Astrophys. Observ. 109, 54 (2013).
- R. E. Wilson, Publ. Astron. Soc. Pacific 106, 921 (1994).
- J. Kallrath and E. F. Milone, Eclipsing Binary Stars: Modeling and Analysis (New York: Springer-Verlag, 2009).
- A. Prsa and T. Zwitter, Astrophys. J. 628, 426 (2005).
- A. Prsa, K. E. Conroy, M. Horvat, H. Pablo, et al., Astrophys. J. Suppl. 227, id. 29 (2016).
- V. Krushinsky, P. Benni, A. Burdanov, I. Antokhin, et al., Monthly Not. Roy. Astron. Soc. 493, 5208 (2020).
- C. Tappert, B. T. Gansicke, L. Schmidtobreick, A. Aungwerojwit, R. E. Mennickent, and D. Koester, Astron. and Astrophys. 474, 205 (2007).
- S. G. Parsons, C. A. Hill, T. R. Marsh, B. T. Gansicke, et al., Monthly Not. Roy. Astron. Soc. 458, 2793 (2016).
- E. A. Antokhina, A. F. J. Moffat, I. I. Antokhin, J.-F. Bertrand, and R. Lamontagne, Astrophys. J. 529, 463 (2000).
- T. S. Boyajian, K. von Braun, G. van Belle, H. A. McAlister, et al., Astrophys. J. 757, id. 112, (2012).
- P. Hakala, S. G. Parsons, T. R. Marsh, B. T. Gansicke, G. Ramsay, A. Schwope, and J. J. Hermes, Monthly Not. Roy. Astron. Soc. 513, 3858 (2022).
- Э. А. Антохина, А. М. Черепащук, Письма в Астрон. журн. 11, 10 (1985).
- A. M. Cherepashchuk, R. A. Sunyaev, E. V. Seifina, I. E. Pan-chenko, S. V. Molkov, and K. A. Postnov, Astron. and Astrophys. 411, L441 (2003).
- A. M. Cherepashchuk, R. A. Sunyaev, S. N. Fabrika, K. A. Postnov, et al., Astron. and Astrophys. 437, 561 (2005).
- A. M. Cherepashchuk, R. A. Sunyaev, K. A. Postnov, E. A. Antokhina, and S. V. Molkov, Monthly Not. Roy. Astron. Soc. 397, 479 (2009).
- A. M. Cherepashchuk, R. A. Sunyaev, S. V. Molkov, E. A. Antokhina, K. A. Postnov, and A. I. Bogomazov, Monthly Not. Roy. Astron. Soc. 436, 2004 (2013).
- K. Pavlovskii, N. Ivanova, K. Belczynski, and K. X. Van, Monthly Not. Roy. Astron. Soc. 465, 2092 (2017).
- E. P. J. van den Heuvel, S. F. Portegies Zwart, and S. E. de Mink, Monthly Not. Roy. Astron. Soc. 471, 4256 (2017).
- A. M. Cherepashchuk, K. Postnov, S. Molkov, E. Antokhina, and A. Belinski, New Astronomy Rev. 89, id. 101542 (2020).
- A. M. Cherepashchuk, A. A. Belinski, A. V. Dodin, and K. A. Postnov, Monthly Not. Roy. Astron. Soc. 507, L19 (2021).
- G. Lenoir-Craig, I. I. Antokhin, E. A. Antokhina, N. St-Louis, and A. F. J. Moffat, Monthly Not. Roy. Astron. Soc. 510, 246 (2022).
- W. -R. Hamann, G. Grafener, A. Liermann, R. Hainich, et al., Astron. and Astrophys. 625, id. A57 (2019).
- G. Rauw, J.-M. Vreux, E. Gosset, D. Hutsemekers, P. Magain, and K. Rochowicz, Astron. and Astrophys. 306, 771 (1996).
- J. Schweickhardt, W. Schmutz, O. Stahl, Th. Szeifert, and B. Wolf, Astron. and Astrophys. 347, 127 (1999).
- W. W. Weiss, S. M. Rucinski, A. F. J. Moffat, A. Schwarzenberg-Czerny, et al., Publ. Astron. Soc. Pacific 126, 573 (2014).
- F. Martins, D. Schaerer, and D. J. Hillier, Astron. and Astrophys. 436, 1049 (2005).
Supplementary files









